基本概念
网站的组成
1.网站应用程序主要分为两大部分:客户端和服务器端。
2.客户端:在浏览器中运行的部分,就是用户看到并与之交互的界面程序。使用HTML、CSS、JavaScript构建。
3.服务器端:在服务器中运行的部分,负责存储数据和处理应用逻辑。

讯享网
Node网站服务器
1.能够提供网站访问服务的机器就是网站服务器,它能够接收客户端的请求,能够对请求做出响应。

ip地址
1.互联网中设备的唯一标识。
IP是Internet Protocol Address的简写,代表互联网协议地址。

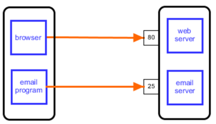
端口
1.端口是计算机与外界通讯交流的出口,用来区分服务器电脑中提供的不同的服务。

URL
1.统一资源定位符,URL(Uniform Resource Locator),是为internet网上资源位置而设的一种编址模式。网页地址。
2.组成:传输协议://服务器IP或域名:端口/资源所在位置标识。
开发过程中客户端和服务端说明
开发阶段,服务端和客户端使用同一台电脑。
本机域名:localhost
本机IP:127.0.0.1
创建web服务器

1.
//用于创建网站的模块 const http = require('http'); //app对象就是网站服务器对象 const app = http.createServer(); //当客户端有请求来的时候 app.on('request',(require,response) => {
res.end('<h2>hello user</h2>'); }); app.listen(3000); console.log('网站服务器启动成功');
讯享网
2.在终端输入nodemon app.js
3.网页地址栏localhost:3000
HTTP协议
1.超文本传输协议(Hype Text Transfer Protocol)规定了如何从网站服务器传输超文本到本地服务器,它是基于客户端服务器架构工作,是客户端和服务器端请求和应答的标准。

报文
在HTTP请求和响应过程中传递的数据块就是报文,包括要传送的数据和一些附加信息,并且遵守规定好的格式。

请求报文
1.请求方式(Request Method)
GET 请求数据
POST 发送数据
2.请求地址
req.headers 获取请求报文
req.url 获取请求地址
req.method 获取请求方法

响应报文
1.HTTP状态码
200 请求成功
400 请求资源没有被找到
500 服务器端错误
400 客户端请求有语法错误
2.内容类型
text/html
text/css
application/javascript
image/jpg
application/json

讯享网//用于创建网站的模块 const http = require('http'); //app对象就是网站服务器对象 const app = http.createServer(); //当客户端有请求来的时候 app.on('request',(req,res) => {
res.writeHead(200,{
'content-type': 'text/html' }); res.end('<h2>hello user</h2>'); }); app.listen(3000); console.log('网站服务器启动成功');

HTTP的请求与处理
请求参数
客户端向服务端发送请求时,有时会携带一些客户信息,客户信息需要通过请求参数的形式传递到服务器,比如登录操作

GET请求参数
参数被放置在浏览器地址栏中

req.url获取
url.parse处理
const url = require('url'); console.log(url.parse(req.url));

加上true以后
讯享网console.log(req.url); //参数1是要解析的url //参数2是解析成对象形式 console.log(url.parse(req.url,true));

获取到数据
let params = url.parse(req.url,true).query; console.log(params.name); console.log(params.age);

POST请求参数
1.参数被放置在请求体中进行传输
2.获取POST参数需要使用data事件和end事件
3.使用querystring系统模块将参数转换成对象格式

实例演示:
创建post.js文件,用来开启服务器等待客户端请求
讯享网// 用于创建网站服务器的模块 const http = require('http'); // app对象就是网站服务器对象 const app = http.createServer(); // 处理请求参数模块 const querystring = require('querystring'); // 当客户端有请求来的时候 app.on('request', (req, res) => {
// post参数是通过事件的方式接受的 // data 当请求参数传递的时候触发data事件 // end 当参数传递完成的时候触发end事件 let postParams = ''; req.on('data', params => {
postParams += params; }); req.on('end', () => {
console.log(postParams); }); res.end('ok'); }); // 监听端口 app.listen(3000); console.log('网站服务器启动成功');
let postParams = ''; 设置变量名称接受传递的数据
此时在命令行输入 nodemon post.js打开服务端
然后运行form.html
<!DOCTYPE html> <html lang="en"> <head> <meta charset="UTF-8"> <title>Document</title> </head> <body> <!-- method: 指定当前表单提交的方式 action: 指定当前表单提交的地址 --> <form method="post" action="http://localhost:3000"> <input type="text" name="username"> <input type="password" name="password"> <input type="submit"> </form> </body> </html>
输入数据后命令行中打印出

代表post请求参数成功
querystring处理post请求中返回的对象
讯享网const querystring = require('querystring');
req.on('end', () => {
console.log(querystring.parse(postParams)); });
返回结果如下:

路由
1.路由是指客户端请求地址与服务器端程序代码的对应关系。
简单的说,就是请求什么响应什么。

核心代码:

代码举例:
讯享网// 1.引入系统模块http // 2.创建网站服务器 // 3.为网站服务器对象添加请求事件 // 4.实现路由功能 // 1.获取客户端的请求方式 // 2.获取客户端的请求地址 const http = require('http'); const url = require('url'); const app = http.createServer(); app.on('request', (req, res) => {
// 获取请求方式 const method = req.method.toLowerCase(); // 获取请求地址 const pathname = url.parse(req.url).pathname; res.writeHead(200, {
'content-type': 'text/html;charset=utf8' }); if (method == 'get') {
if (pathname == '/' || pathname == '/index') {
res.end('欢迎来到首页') }else if (pathname == '/list') {
res.end('欢迎来到列表页') }else {
res.end('您访问的页面不存在') } }else if (method == 'post') {
} }); app.listen(3000); console.log('服务器启动成功')
静态资源
const http = require('http'); const url = require('url'); const path = require('path'); const fs = require('fs'); const mime = require('mime'); const app = http.createServer(); app.on('request', (req, res) => {
// 获取用户的请求路径 let pathname = url.parse(req.url).pathname; pathname = pathname == '/' ? '/default.html' : pathname; // 将用户的请求路径转换为实际的服务器硬盘路径 let realPath = path.join(__dirname, 'public' + pathname); let type = mime.getType(realPath) // 读取文件 fs.readFile(realPath, (error, result) => {
// 如果文件读取失败 if (error != null) {
res.writeHead(404, {
'content-type': 'text/html;charset=utf8' }) res.end('文件读取失败'); return; } res.writeHead(200, {
'content-type': type }) res.end(result); }); }); app.listen(3000); console.log('服务器启动成功')
代码解释
1.let pathname = url.parse(req.url).pathname; 获取用户请求的路径
2.let realPath = path.join(__dirname, 'public' + pathname); 通过path模块中方法找到硬盘路径(找到资源文件)
3.let type = mime.getType(realPath) 使用mime模块来自动判断返回文档类型
4.pathname = pathname == '/' ? '/default.html' : pathname; 让本地localhost也能访问到资源
注:default.html是我本身电脑的文件,例子举例而已。
动态资源
2.相同的请求地址不同的响应资源,这种资源就是动态资源。
版权声明:本文内容由互联网用户自发贡献,该文观点仅代表作者本人。本站仅提供信息存储空间服务,不拥有所有权,不承担相关法律责任。如发现本站有涉嫌侵权/违法违规的内容,请联系我们,一经查实,本站将立刻删除。
如需转载请保留出处:https://51itzy.com/kjqy/41378.html