所谓楼梯悖论,如图所示,
要在一段长度为4,高度为3的斜坡(蓝色三角形)上建造楼梯(橘色折线)。直观上很容易知道,楼梯作为一条折线,其总长总是等于斜坡长度和高度的总和,也就是
![]()
无论这个楼梯的折线折成多少段,每一段的长度和高度是多少,总之水平方向上的长度之和总是等于4,竖直方向上的长度之和,总是等于3。现在,让我们考虑极限的情况,也就是说,其折段的次数无限增加,那么最终,这个楼梯就会显得像是斜坡本身,而我们知道,根据勾股定理,这时候斜坡的斜边长度为,
![]()
明明是一条长度无论如何都是7的折线,为什么对其无限折段之后,长度会变成5呢?7怎么能等于5呢?而这个问题就是所谓的楼梯悖论。
让我们看看楼梯悖论到底要说明的是什么。
我们知道,世上并没有维数,而只有复数。也就是说,一个数量被观察者观察,观察者的周期性导致了数量体现出特定单位的重复以及余量。而重复和余量二者就构成了相继两个维数上的坐标。比如数量17被观察能力数量为5的观察者观察,则可以得到
![]()
也就是说,数量17被数量5观察,就可以为其建立一个复平面(不严格的说,平面直角坐标系)。其中,若令x(实轴)方向上的一个单位为1,同时y(虚轴)方向上的一个单位相当于x方向上一个单位的5倍(当然这个长度也是y方向上的单位1),那么我们就可以在这个平面上找到一个点,它的坐标为
,或者说它也可以被认为是一个从原点指向
方向上的向量。这里隐含了y方向单位长度为x方向单位长度的5倍这样一个事实。其实,如果我们颠倒x和y两个方向,或者说让x方向的单位长度为y方向单位长度的5倍,情况也是一样的,至多我们要把这个坐标写成
。事实上我们总是很难分清到底谁是谁的5倍。但是我们知道,两个坐标总是可以调换,只要把倍数从5调换为
即可,进一步说,就是观察者观察能力是其单位观察能力的倍数以及这个倍数的倒数同时成立,就是两个坐标轴可以互相颠倒的本质。
现在,让我们以
![]()
的方式来定义虚数单位。不难看出,如果我们认为
就是那个倍数(观察者观察能力和其单位观察能力的比率),那么它和它的倒数在此被定义为相反数,也就是说,两个方向配置相互颠倒的时候,度量的结果互为正负。这样有什么好处呢?显然互相颠倒的观察能力可以互相抵消。也就是说,如果一个观察者的观察能力为某个标准能力的5倍,另一个观察者的观察能力为这个标准能力的
,则两者对同一个事物的观察结果,可以相互抵消,换句话说,就是我们有能力实现无偏观察。
现在,我们再来看楼梯悖论。
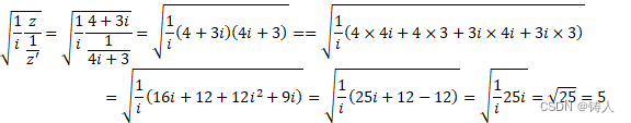
在复平面上,假定水平方向上为实数轴,竖直方向上为虚数轴,则我们可以写出这个斜坡所对应的复数,
![]()
需要再次特别指出的是,它是一个复数,所以它就是一个数,而不是两个数的组合。因为这里面的i
就相当于前面说到的观察者5,这里隐去了观察者的观察能力5,用虚数单位来代替这种能力。所以它就是一个数,而不是两个数。
不仅如此,事实上我们还可以把这个数用它的“倒数”来表示,也就是说,用
作为单位这就相当于x轴和y轴互换,这时候可以写出,
![]()
我们知道,用倒数单位度量的同一个数其实也是原来数量的倒数。所以实际上
是
的某种倒数形式。既然如此,我们就得到了一种认识,一个数,它用一种单位度量,其大小为
![]()
而用单位的倒数作为单位来度量,其大小为
![]()

那么这个数到底是多少呢?这时候我们可以考虑,一个数除以它的倒数,就等于它的平方,然后求其平方根即可得到这个数。
这里你不禁会问,难道我们不知道这个数吗?难道它不就是它吗?为什么还要用它和它的倒数相除,再开平方根呢?这是因为观察者存在,也就是先前说到的观察者5。只有除去这个观察者的影响,才能得到这个数本身(无偏结果)。换句话说,我们不知道i到底是多大,但是我们知道
![]()
若要去掉
的影响,我们就得计算
![]()
而这个数量也等于,
![]()
其中
![]()
因为-1本身就消去了偏差(它也是一种单位),我们再把这个数值乘以
(也可以乘以
,但结果仍为虚数)然后再开平方根即可得到那个和观察者无关的数量本身。对于我们这个楼梯的例子来说,就是,

你看,这就是勾股定理的由来。若考虑张量理论,则“
”的表达式中,分子1就是逆变张量单位,分母
就是协变张量单位,或者反过来说也行。而这种
的形式,则相当于度规张量,显然就是所谓的长度(或者称为长度单位的倍数)。
回到楼梯悖论,为啥能出现7=5呢?或者说,这到底是要说明什么?
首先说明的是,复平面和平面直角坐标系是不同的。复平面有“方向性”,也就是说,x轴和y轴,不是等价的,y轴的一个单位是x轴一个单位大小的
倍。而平面直角坐标系的两个轴是被认为是可以互换的,若x轴的一个单位是y轴一个单位的i倍,则y轴的一个单位也可以是x轴的一个单位的
倍。
那么空间到底是什么呢?是复平面还是平面直角坐标系呢?如果是复平面,那么极限情况下楼梯的长度就是3+4=7。而如果是平面直角坐标系,那么极限情况下楼梯的长度就是![]()
这句话的意思是:相互垂直的两个方向上,若选定一个方向为标准,则垂直它的另一个方向,单位的大小同时可以是标准方向的i
倍,或者标准方向的
。这里的所谓垂直它的另一个方向,是单独一个方向,而不是相反的两个方向。我是说,如果x正半轴为正向,那么y轴正半轴上同时存在两种度量单位,单位的大小同时具有标准方向的单位大小的
倍以及
。这才是几何意义上的二维空间。所以说,一个平面直角坐标系,可以被认为是两个复平面的叠加。四个正交的方向其实各自都和其相反的方向复合。

上图中橘色和蓝色,各自代表了相反的方向构成的复平面坐标系,而两者的复合就是平面直角坐标系。
从上面的讨论不难看出,我们最终得到的5,就是不管i是多少,都一样的结果。所以它具有一定的“本征性”。也就是说,一个数量,横着看是
,竖着看是
,不管观察者的观察能力如何,它的大小可以被认为就是5。
那么这个5就真的是它的大小吗?其实也不一定,但它若要有一个大小,在这个前提下就可以是这个大小。具体来说,就是5或者
(因为也可以在这个前提下横着看或者竖着看)。而如果有另一个坐标系,如果另一个坐标系的两个轴并不是正交的,或者具有不同的正交程度(比如另一个数值的虚数单位),那么它也可能具有不同的数值。这里面我们假定了虚数单位是无限的,而实际上它可能只是比较大而已。只有虚数单位无限的前提下,才有真正的正交,所以事实上,应该说是没有真正正交的复平面或者直角坐标系的。这就是黎曼几何要表达的概念。
那么,能否用一句话来说明7是怎么变成5的吗?
7假定了两个相继维数之间是绝对无关的,换句话说,就是可以真正正交的,这就意味着虚数单位是无限大的,它的倒数是无限小的。但这不是真的。真实的情况是,虚数单位的大小有限,只是特别的大。虽然我们可以用特殊的方法(除以自己的倒数)来消去它的影响,但是它的影响的存在性毋庸置疑。事实上若是虚数单位可以无限大,那么我们也就不用什么方法去消去它了,这有点循环论证的味道。既然虚数单位有限,也就是说,折断的次数是有限的,那么再多折一次呢?多折一次造成的长度呢?显然只能小于基本长度单位。换句话说,若虚数单位有限大,则折断次数是有限的,而长度单位存在最小值,小于这个最小值的长度,就不再是长度了。所以不难想象,虽然虚数单位的数值可以任取,但是不能大于某个上限(上限必须存在),长度的单位也不能小于某个下限,那么最终构成楼梯的两个点之间的斜线,就是观察者“脑补”的结果。那个最微小的三角形,当然也是两边之和大于第三边的,所以脑补的第三边的长度终究要小于两边之和,其累计的结果也是一样的,这就是本来应该是7,但却只能得到5的原因了。那么物理实相支持7还是5呢?显然支持的是5。也就是说,物理实相中,虚数单位是有限大的,即长度的单位存在最小值(不管它有多小,一定存在)。可见,勾股定理从数学角度提供了世界量子性的一个有力的证据。用一句话说明7是如何变成5的?答曰,无限细分无法做到,最终两点之间的折断未能实现,两点之间只能直连,而且连接也不是真的,只是想象的结果(只有想象出来的斜边,而没有对应的两条直角边),于是最终结果总是小于预期的数值。
。

版权声明:本文内容由互联网用户自发贡献,该文观点仅代表作者本人。本站仅提供信息存储空间服务,不拥有所有权,不承担相关法律责任。如发现本站有涉嫌侵权/违法违规的内容,请联系我们,一经查实,本站将立刻删除。
如需转载请保留出处:https://51itzy.com/kjqy/37835.html