基频估计算法 F0 estimate methods
基音频率,简称基音或基频,是语音信号最重要的韵律特征参数之一,基频的复杂之处在于不同的人说同一个字词,发出的语音基频可能不同,同一个人在不同的时间说相同的字词时基频也可能不同。通常,基频与发音人声带的长短、薄厚、韧性、劲度和发音习惯等有关系,在很大程度上代表了个人的特征。此外,基频还随着人的性别、年龄不同而有所不同。基频也受说话人情绪,习惯,环境等的影响。
一般来说,男性说话者的基音频率较低,而女性说话者和小孩的基音频率相对较高。可见,基频是随发音人、发音内容、发音时间等因素动态变化的。在汉语语音中,基频的变化主要包含了声调信息,声调具有辅助辨义的作用。另外,普通话中存在着变调和协同发音现象,同一个字在不同的语流中具有不同的声调。因此准确可靠地进行基频检测对汉语语音信号的处理显得尤为重要。
从上世纪末到现在,基频提取方法一共出现了几十乃至上百种。但目前为止,尚未找到一个完善的基频检测方法可以对各类人群(男女老少),不同语种,各类应用领域和各种环境条件都能通用的检测算法。
估计F0的方法可以分为两大类,传统信号处理方法和机器学习方法。传统信号处理方法又可分为:基于时域、基于频域、基于倒频域,或混合方法。但是如何评估比较这些算法还没有一个客观公正的标准。根据大量的应用实例的需求,对一个基频检测与提取算法的评价主要包括如下几个方面:
- 稳定性:无论在高信噪比还是低信噪比的情况下,算法都能检测和提取到语音信号的基频。
- 精准性:检测和提取到的语音信号的基频比较精准。
- 实时性:时延小,算法能够几乎实时进行处理。
- 复杂性:算法容易在不同的计算平台上实现,特别是在计算能力较弱的移动平台和嵌入式系统上。另外,算法中应该尽量少的包含各种变换和逆变换。
考虑到基频并不是每一帧都会有,在提取基频之前、之后或同时,往往要判断一下基频的有无,这称为清浊音判别(unvoiced / voiced decision,简称 U/V decision)。逐帧提取的基频常常含有错误,其中最常见的错误是「倍频错误」和「半频错误」,即提取出的基频是真实基频的两倍或者一半。为了纠正这些错误,通常会再对结果进行平滑(smoothing)处理,得到光滑的基音轨迹(pitch contour)。
基于规则的方法(rule-based)
也就是纯信号处理的方法。
既可以在频域上实现,也可以在时域上实现,还有倒谱域等。频域上的算法一般稳定性较好,但精准性较差(一般误差在10%左右);时域算法与频域算法正好相反。
算法都包含如下三个主要步骤:
1.预处理:滤波,加窗分帧等
2.搜寻:可能的基频值F0(候选值)
3.跟踪:选择最可能的F0轨迹(这很重要,因为每个时刻我们都有几个候选轨迹)
基于时域
时域法以声音的波形为输入,其基本原理是寻找波形的最小正周期。当然,实际信号的周期性只能是近似的。以时域的自相关函数(ACF)法和平均幅度差函数(AMDF)法最为经典。
在应用时域方法之前,对信号进行滤波以只留下低频。设置阈值:最小频率和最大频率,例如75 ~ 500hz。F0估计仅对谐波。那些有停顿或噪声斑点的部分不仅没有观察意义,还可能改变相邻帧,并在应用插值或平滑时导致错误。所选帧的长度使其至少包含三个基频周期。
1. 自相关(auto-correlation function, ACF)
主要的算法就是自相关,随后又出现了一系列在此基础上的改进算法。自相关方法非常简单:计算自相关函数,然后定义它的第一个最大值,该最大值将反映信号中最显著的频率成分。那么,在使用自相关的问题是什么,为什么第一个最大值不能总是对应所需的频率?即使在高质量录音的近乎完美的条件下,由于信号的复杂结构,算法也容易出现错误。在接近真实的情况下,错误的数量急剧增加。此外,在最初质量较差和有噪声的录音中,我们可能会面临缺乏所期望的峰值等问题。

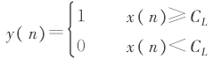
计算自相关函数前,为了有效地去除共振峰结构对短时自相关函数具体形状的影响,我们使用两个预处理过程。首先,使用60-90Hz的低通滤波器BPF,其截止频率在1700Hz,其次,在经过两个非线性处理单元NL1和NL2(可以相同或不同),这里用的是电平削波函数。

CL是削波的域值,通过滤波和削波可以有效消除共振峰和一些能量较小噪声的影响,使得自相关波形的峰值更加的突出。这样在进行峰值搜索的时候,误差可以减少很多。
最后计算自相关函数‚确定自相管函数的最大峰位置,得到基音频率:

2. 短时平均幅度差(average magnitude difference function, AMDF)
即把平移后的信号与原信号相减。对于相减的结果,可以求绝对值再积分。

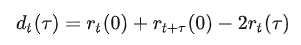
3. YIN算法
以上两种方法的改进。求平方再积分,YIN 的论文把这样做的结果简称为差函数(difference function):

差函数的谷值对应的平移量τ,可以代表信号在t处的周期。
YIN 的论文指出,做减法优于做乘法。这是因为,如果信号幅度在逐渐增大,那么把信号往后平移得越多,与原信号相乘再积分的结果就会越大。这将造成估计出的周期过大,基频过低,产生「半频错误」。做减法则没有这个问题。
YIN这个名字本身指的是自相关的便利和不准确之间的平衡:YIN这个名字来自东方哲学的阴YIN和阳YANG,暗指它所涉及的自相关和抵消之间的相互作用。它表明算法的核心思想是在差函数上寻找「谷值」。之所以想到用「阴阳相生」来形容差函数与自相关函数的关系,是因为差函数可以用自相关函数表示出来:

下图:一段周期约 150 个采样点的语音信号(上)及其差函数(中)与 CMNDF(下),取自 YIN 论文中的图 1、3

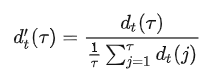
一个典型信号的差函数如图 3(中)所示,我们要找的是它尽量靠左,又比较深的谷。然而,差函数在原点(平移量为 0)时会取得最小值 0,这个谷会产生干扰,应该避开它。一种方法是设定周期的最小允许值,只在这个阈值右边寻找谷。然而问题是,原点处的谷的宽度并不固定,导致阈值难以设置。YIN 提出的解决办法是,在差函数的基础上,定义一种累积均值归一化差函数(cumulative mean normalized difference function, CMNDF):

这相当于说,把差函数在τ处的值,用差函数在τ左边的平均值去归一化。CMNDF有两个好处:
- 上图可以看到,CMNDF 去除了差函数在原点处的谷,避免了它的干扰;
- CMNDF 的纵坐标是归一化的,不再依赖于信号本身的幅度。
若在 CMNDF 上直接求最小值,容易产生一个问题:由于信号的周期性并不理想,最小值可能并不是最左边的深谷,而是第二个甚至第三个。这会导致「半频错误」。YIN 的解决办法是,设置一个谷深阈值(如 0.1,图(下)里的虚线),取比此阈值更深的第一个谷的位置作为周期。CMNDF 「归一化」的特点使得选取谷深阈值成为可能。谷深阈值的选取带有任意性,不过 YIN 的作者用实验表明,YIN 的性能对此阈值并不敏感。若没有比阈值更深的谷,则选择最深的谷的位置作为基频,也可以认为这一帧没有基频。
以上就是 YIN 的核心方法。在此基础上还有一些非核心的改进,比如在 CMNDF 的每个谷处进行二次插值,以确定谷底的精确位置。
代码实现:
我们可以通过使用python中的librosa库的yin函数来进行YIN算法提取音频。关于yin函数详细信息可见:https://librosa.org/doc/latest/generated/librosa.yin.html?highlight=yin
import matplotlib.pyplot as plt import librosa import numpy as np for i in range(1, 11): filename = "Flowtron_sigma1.0/times" + str(i) + "_sid0_sigma1.0.wav" y, sr = librosa.load(filename, sr=None) f0 = librosa.yin(y, fmin=80, fmax=400) f0[np.isnan(f0)] = 0 times = librosa.times_like(f0) plt.plot(times, f0, "_", linewidth=1) plt.xlabel("Time(s)") plt.ylabel("F0")
讯享网

基于频域
频域法则会先对信号做傅里叶变换,得到频谱(仅取幅度谱,舍弃相位谱)。频谱上在基频的整数倍处会有尖峰,频域法的基本原理就是要求出这些尖峰频率的最大公约数。
当我们谈到频域时,最突出的方面似乎是信号的谐波结构。换句话说,谱峰的频率可以被F0整除。在倒谱分析的帮助下,可以将这种周期性模式转换为一个明显的峰值。倒谱是估计功率谱对数的傅里叶变换(FFT)。倒谱峰对应于频谱中最具周期性的分量。
1. SWIPE算法
用频域法提取基频的一般原理为:对每一个候选频率 f,设计一个函数来表达 f 是基频的可能性,称为显著度函数(salience function);使得显著度函数取得最大值的频率 f 就当作基频。
考虑到信号的幅度谱|x(f)|在基频 f 的整数倍处会有峰值,于是可以用幅度谱在 f 的各个倍数处的值的总和来代表 f 的显著度:

这称为谐波相加法(harmonic summation),它构成了大部分频域法的骨架。在具体的算法中,求和可能只取固定的项数,也可能一直取到信号所能表示的频率上限(即采样率的一半,称为奈奎斯特频率);求和的各项也可能乘以不同的权重wk ,一般k越小,权重越大。
- 半频错误:若采用不加权的谐波相加法,并在求和时取到频率上限,就容易产生半频错误:这是因为f0的整数倍,也都是f0/2的整数倍,这会使得f0/2取得更大的显著度。
- 倍频错误:若是在求和时施加随k递减的权重,则又容易产生倍频错误,因为f0的 k 次谐波对于2f0来说也是k/2次谐波,权重更大,这会使得2f0取得更大的显著度。
SWIPE 的论文提出了如下核心论点:一个频率 f 若是好的基频候选值,那么幅度谱不仅要在 f 的整数倍处取得峰值,还要在 f 的半整数倍处取得谷值。SWIPE 用如下的函数衡量幅度谱在 f 处的峰值相对于紧邻它的两个谷值有多显著,称为峰谷距(peak-to-valley distance,PVD):
中间峰值,减去两边谷值,则该式值最大

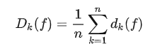
各次谐波的平均峰谷距(average PVD, APVD),就可以代表 f 的显著度:

平均峰谷距还可以表达成幅度谱与一个核函数的内积,这个核函数在 f 的整数倍处有向上的冲激,在 f 的半整数倍处有向下的冲激,如下图所示。为了表达「平均」峰谷距而不是「总」峰谷距,核函数需要经过某种归一化。

信号的幅度谱(虚线)与核函数(实线)做内积,取自 SWIPE 论文中的图 1:

平均峰谷距对于对抗倍频错误有奇效:当候选基频 f 等于真实基频 f0 的两倍时,f0 的奇次谐波将与核函数中向下的冲激对齐,这会减小显著度。它也能对抗半频错误:如果 f=f0/2 ,那么核函数中第奇数个向上的冲激将无法对应到频谱上的峰值,从而被「浪费」掉,这也会减小显著度。
SWIPE 算法在平均峰谷距的基础上,考虑了许多细节,让算法的性能精益求精。这些细节包括:

在典型信号中,锯齿波(sawtooth wave)的幅度谱与元音一样,都呈现 1/k 的衰减规律,这正是 SWIPE 算法全名(sawtooth wave inspired pitch estimator)的来源。不过,与其说是受到了「锯齿波」的启发,不如说算法是针对「语音中的元音」而设计的。
考虑了上述 6 条细节的 SWIPE 算法,可以表示成下面图 5 中的幅度谱与核函数的内积:
SWIPE 算法中实际使用的、经过弯折的幅度谱(虚线)与核函数(实线),取自 SWIPE 论文的图 7。

为了进一步减少「半频错误」,SWIPE 算法的作者又提出了这样一条改进(原文 II.I 节):在计算平均峰谷距中的求和时,只考虑候选频率及其素数倍频率。改进后的算法称为 SWIPE’,撇号在英语中读作 prime,正是「素数」的意思。SWIPE’ 算法相当于把核函数改成了下面图的样子。这样,如果候选频率 是真实基频的整数分之一,那么幅度谱上的各次谐波的峰(基波除外)都将位于 的合数倍处,与核函数的峰完美错开,只能得到很小的显著度。
SWIPE算法的核函数(实线),只保留了第一个和第素数个峰。取自 SWIPE 论文中的图 9

混合法
有一个相当有说服力的名字YAAPT Yet Another algorithm of Pitch Tracking。它被归类为混合,因为它同时使用时间和频率数据。

YAAPT包括几个阶段,首先预处理开始。在这一阶段,初始信号的值被平方。这一步与YIN中的累积平均归一化差函数的目标相同:放大和恢复自相关的阻塞峰值。两个版本的信号都经过滤波,通常在50-1500 Hz或50- 900 Hz的频谱范围内。
然后,根据变换后信号的频谱,计算出F0的基本轨迹。利用谱谐波相关函数(Spectral Harmonics Correlation,SHC)确定F0的候选值。

其中S(t,f)是第t帧和频率f的幅度频谱,WL是窗口的长度,单位为Hz, NH是谐波的数量(本文作者建议使用前三个谐波)。
基于功率谱对有音-无音帧进行了定义。然后,考虑音高加倍/音高减半的可能性,寻找最优轨迹。
然后,对于初始信号和转换信号,用归一化交叉相关(Normalized Cross Correlation,NCCF)来确定F0的候选信号,而不是自相关。

下一步是评估所有可能的候选值并计算他们的权重。候选的权重不仅取决于NCCF的振幅峰值,还取决于它们与F0轨迹的接近程度,这也是由频谱决定的。因此,频域被认为是相当稳定的。
对于所有剩余的候选值对,转移成本矩阵计算转移成本,以找到**的可能轨迹。
例子
我们选取了几段男女声音的片段,既有中性的声音,也有带有情感色彩的声音,并将它们组合在一起。让我们看一下信号的频谱图,它的强度(橙色)和F0(蓝色)。你可以在Praat用Ctrl+O(打开从文件中读取)打开它,然后按查看&编辑。

从录音中可以清楚地看出,男性和女性在带感情说话的音调都更高。此外,男性情感言语的F0与女性的F0相似。
跟踪Tracking
在菜单中选择Analyze periodicity to Pitch (ac),通过自相关估计F0。设置窗口允许为F0候选估计设置3个参数,以及为在所有候选中构建最可能的F0轨迹的寻径算法设置6个参数。
路径查找器结果可以通过单击OK和View &编辑Pitch文件。从图中可以看出,除了选定的轨道之外,还有其他频率较低的候选轨道。

让我们以两个提供音高跟踪的库为例。首先是aubio,其中默认算法是YIN。并利用YAAPT算法进行amfm_分解。将Praat中的F0值插入到一个单独的文件(PraatPitch.txt)中(您可以手动操作:选择音频文件,单击“查看和编辑”,选择整个文件,然后在上面的菜单中选择“Pitch-Pitch列表”)。
现在比较这三种算法(YIN, YAAPT, Praat)的结果。
讯享网import amfm_decompy.basic_tools as basic import amfm_decompy.pYAAPT as pYAAPT import matplotlib.pyplot as plt import numpy as np import sys from aubio import source, pitch # load audio signal = basic.SignalObj('/home/eva/Documents/papers/habr/media/audio.wav') filename = '/home/eva/Documents/papers/habr/media/audio.wav' # YAAPT pitches pitchY = pYAAPT.yaapt(signal, frame_length=40, tda_frame_length=40, f0_min=75, f0_max=600) # YIN pitches downsample = 1 samplerate = 0 win_s = 1764 // downsample # fft size hop_s = 441 // downsample # hop size s = source(filename, samplerate, hop_s) samplerate = s.samplerate tolerance = 0.8 pitch_o = pitch("yin", win_s, hop_s, samplerate) pitch_o.set_unit("midi") pitch_o.set_tolerance(tolerance) pitchesYIN = [] confidences = [] total_frames = 0 while True: samples, read = s() pitch = pitch_o(samples)[0] pitch = int(round(pitch)) confidence = pitch_o.get_confidence() pitchesYIN += [pitch] confidences += [confidence] total_frames += read if read < hop_s: break # load PRAAT pitches praat = np.genfromtxt('/home/eva/Documents/papers/habr/PraatPitch.txt', filling_values=0) praat = praat[:,1] # plot fig, (ax1,ax2,ax3) = plt.subplots(3, 1, sharex=True, sharey=True, figsize=(12, 8)) ax1.plot(np.asarray(pitchesYIN), label='YIN', color='green') ax1.legend(loc="upper right") ax2.plot(pitchY.samp_values, label='YAAPT', color='blue') ax2.legend(loc="upper right") ax3.plot(praat, label='Praat', color='red') ax3.legend(loc="upper right") plt.show()

正如我们所看到的,在默认参数下,YIN不如Praat,显示出一个非常平坦的轨迹,相对于Praat的值更低。此外,它完全失去了男声和女声之间的过渡,以及情感和非情感话语之间的过渡。
YAAPT在女性情感言语的高音测试中失败,但总体上表现出较好的效果。我们不能肯定地说为什么它的效果更好,但我们可以假设它与从三个来源提取候选值以及比YIN更准确地计算他们的权重有关。
将Praat作为语音处理的标准算法(因为它在研究人员中被广泛使用),我们可以得出结论,YAAPT比YIN更可靠和准确,尽管我们的测试对它来说相当困难。
用纯信号处理方法来提取基频有两个优点:一是不需要训练数据,二是原理容易解释。但这些方法同样有一些明显的缺点:一是算法中总有许多成分显得很人为,二是实际数据中总会有设计算法时没有考虑到的情况,导致提取结果不准确。近几年出现了几种使用机器学习的基频提取方法,它们牺牲了可解释性,但换取了性能的进一步飞跃。
另一种针对汉语的混合法:
如果在语音序列S中选取了语音帧F:
- 对语音帧F做快速傅里叶变换,即得到频谱序列P = FFT(F)。如果采样频率是16 kHz,FFT的长度是512,那么FFT的频率分辨率是31.25 Hz。
- 在频谱序列P上提取两个峰值点PV1,PV2,一个最大值点PK,其中PV1是93 ~ 218 Hz之间的峰值点,PV2是218~ 375 Hz之间的峰值点,PK是93~375 Hz之间的最大值点。注意,PV1,PV2可能不存在,但PK一定存在。
- 基频F0粗估计。如果PV1存在,则用PV1估计F0;否则,如果PV2存在,则用PV2估计F0;如果PV1,PV2都不存在,则用PK估计F0,得到基频F0的粗估计CF0。
- 粗估计CF0的调整。针对粗估计CF0是基于峰值点PV1给出的,分为两种情况进行处理:第一种是PV2与PK重合,且PV1不是PV2的半频,则用PV2估计F0。第二种是如果PV2存在,且PV2的峰值比PV1的峰值大,则用PV2估计F0。
- 对于基频的粗估计CF0,在时域进一步精准估计。首先建立频率Hz与时域的语音序列S的下标之间的对应关系,这种关系是非线性的,为易于实现,用分段线性函数进行了简化,共分为三段,即100 ~ 200 Hz,200~ 300 Hz,300~400 Hz,经过计算,可以得到如下分段函数关系式:
Y=−0.80X+240
Y=−0.27X+134
Y=−0.13X+92
其中,输入X为基频的粗估计CF0,输出Y为CF0在语音序列 S中对应的下标。如果CF0位于区间100~ 200 Hz,则用函数式(2.1);如果CF0位于区间200 ~ 300 Hz,则用函数式(2.2);如果CF0位于区间300~400 Hz,则用函数式(2.3)。 - 根据基频的粗估计CF0以及上述分段函数关系式,得到CF0在语音序列S中对应的下标SI.在语音序列S中的下标SI附近搜索峰值点SV1,且在下标2 * SI附近搜索峰值点SV2。如果SV1和SV2都存在,则根据SV1和SV2的下标计算出CF0的精确估计F0。
- 如果粗估计CF0与精确估计F0相差15%以上,直接以粗估计CF0代替精确估计F0。
- 返回精确估计F0作为本帧语音的基频。
需要说明的是,本算法直接对原始语音进行处理,未做高频滤波。这是考虑到滤波操作使得原始语音波形的峰值点可能发生变化,在时域中提取基频时可能产生偏差。
基于倒谱域
前面博客已经介绍过到倒谱的概念和计算方法。倒谱法可以将包含有基音周期的声门脉冲倒谱和声道响应倒谱分离,所以只要寻找声门脉冲倒谱的最大值,就是该帧的基音周期。
基于线性预测
通过逆滤波法得到预测误差(残差),此时已经去除了共振峰响应,再对残差进行倒谱分析(把声道响应影响减到最小),或者自相关,寻找最大值即可。
基于机器学习方法
用纯信号处理方法,很难同时降低「倍频错误」和「半频错误」的发生率:在算法中努力降低一者,往往会造成另一者升高,呈现「按下葫芦起来瓢」的态势。因此,最近几年出现了一些使用机器学习方法提取基频的研究,它们通过数据驱动(data-driven)的方式,超越了纯信号处理方法的性能。用机器学习来提取基频,同样可以分为时域法和频域法。
部分参考相关资料:基频提取算法综述
疑问:
大家都好奇基于深度学习的基频提取是不有杀鸡用牛刀的感觉,大材小用是否有必要?
没有一种基频提取算法是万能的,不同算法适用于不同信号。哪些算法更适合汉语普通话语音基频的提取呢?
基频提取的准确性对语音合成的质量影响有多大?比如野点过多
版权声明:本文内容由互联网用户自发贡献,该文观点仅代表作者本人。本站仅提供信息存储空间服务,不拥有所有权,不承担相关法律责任。如发现本站有涉嫌侵权/违法违规的内容,请联系我们,一经查实,本站将立刻删除。
如需转载请保留出处:https://51itzy.com/kjqy/35737.html