目录
1 常见信号间的运算
1.1 幅度运算
1.2 加法运算:
1.3 乘法运算
1.4 连续信号微分与积分
1.5 离散信号的差分与迭分
2 常见信号自变量的变换
2.1 时延变换:
2.2 时间反转变换
2.3尺度变换
2.4混合变换
1 常见信号间的运算
1.1 幅度运算

输入:x(t)为连续信号, x[n]为离散信号
运算:c为放大倍数常数。
输出:y(t)=cx(t); y[n = cx[n]
应用:移动通信系统中,无线电信号发送时的功率放大和接收信号的功率放到。
1.2 加法运算:

输入:xi(t)为连续信号, xi[n]为离散信号
运算:相同位置累加。
输出:y(t)=
xi(t); y[n] =
cx[n]
应用:在移动通信系统,码分多址、正交频分复用OFDM、IQ调制,都是多路信号叠加成一路信号发送。
1.3 乘法运算

输入:xi(t)为连续信号, xi[n]为离散信号
运算:相同位置相乘
输出:y(t)=x1(t) * x2(t)...x(m); y[t]=x1[t] * x2[t]...x[m];
应用:在移动通信系统,通常是两路信号相乘,极少N>2路信号相乘。主要用于(1)震音或调制:基带信号*高频信号;(2)正交信号:相乘后积分或叠加,判断是否为0,如果为0,则为相互正交信号。
震音:基带调制信号的频率》载波频率
调制:基带调制信号的频率《载波频率


1.4 连续信号微分与积分

输入:x(t)为连续信号
微分运算:获取图形每个点处的增长率。
积分运算:获取图形与x轴所围成的图形的面积。
输出:微分或积分。
应用:在移动通信系统中,(1)检查相乘后信号的积分是否为0,判定两个信号是否为正交;
1.5 离散信号的差分与迭分
输入: x[n]为离散信号
差分运算:对应连续信号的微分。前向差分:用后一个时刻的值减去当前值;后向差分:用当前值减去前一时刻的值

迭分运算:对应连续信号的积分
输出:差分与迭分
应用:在移动通信系统中,CDMA的解扩后就是迭分,并根据迭分后的值,判断离散信号的1或-1。

2 常见信号自变量的变换
2.1 时延变换:
(1)图形表示法


让信号提前或延时一段时间,实际上提前或滞后信号的相位。
(2)数学表示法

(3)应用
在移动通信系统中,相对参考信号,对某一信号提前或延时N个时间单位。
2.2 时间反转变换
(1)图形表示法

以纵坐标为中心轴,对信号进行反转
(2)函数表示法

(3)应用

把信号反转后发送给接收方,造成时间倒转的效果。
2.3尺度变换
(1)图形表示法

把信号在时间轴上进行压缩或放大,而信号的幅度不变。

(2)函数表示法

(3)应用
在移动通信系统中,对信号进行稀疏抽样就是采用的尺度变换。
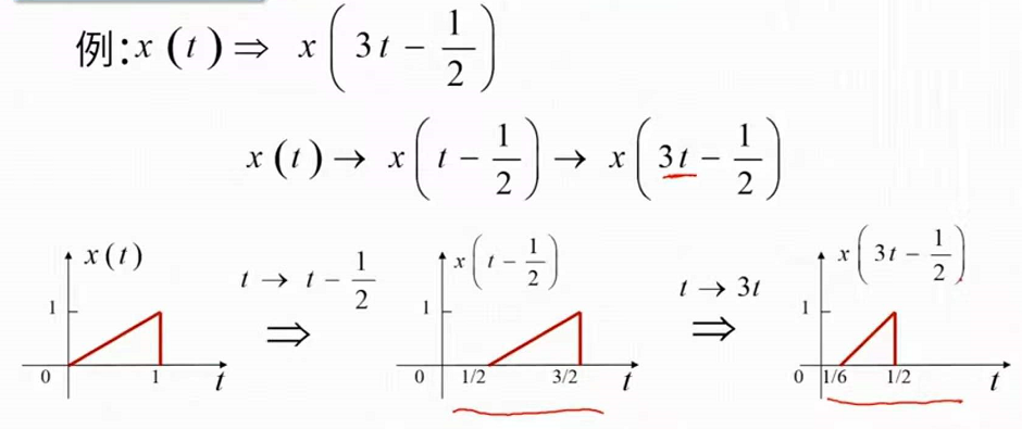
2.4混合变换


3. 连续信号与离散信号的转换
(1)连续信号到离散信号:采样

(2)离散信号到连续信号:保持插值

(2)离散信号到连续信号:分段差值

版权声明:本文内容由互联网用户自发贡献,该文观点仅代表作者本人。本站仅提供信息存储空间服务,不拥有所有权,不承担相关法律责任。如发现本站有涉嫌侵权/违法违规的内容,请联系我们,一经查实,本站将立刻删除。
如需转载请保留出处:https://51itzy.com/kjqy/35454.html