目录
一,数学归纳法
1,皮亚诺公理
2,第一数学归纳法
3,跳跃归纳法
4,第二数学归纳法(完整归纳法)
5,螺旋式归纳法
6,加强归纳法
二,数学归纳法的适用领域
1,二维命题退化成一维命题
2,二维命题
3,数学归纳法不能用于实数域
4, 数学归纳法的适用领域
三,正则公理
四,良基关系
五,广义归纳法
六,动态规划
七,数学归纳法和动态规划的区别
八,加强归纳法的应用
1,不等式
(1)单侧加强
(2)单侧变双侧
(3)双侧加强
2,硬币组合问题
一,数学归纳法
虽然数学归纳法名字中有“归纳”,但是数学归纳法并非不严谨的归纳推理法,它属于完全严谨的演绎推理法。
数学归纳法是建立在自然数的基础之上的。
1,皮亚诺公理
用日常语言来说,这5条公理可以表述成:
- 0是自然数。
- 每个自然数后面都紧跟着另一个自然数。
- 如果自然数的某子集包含0,且其中的每个元素均有后继元素,那么该子集所包含的数字就是全体自然数。
- 如果两个自然数的后继数相同,那么这两个自然数本身也相同。
- 0不是任何一个自然数的后继数。
其中最为重要的是第三条公理,也叫做归纳公理。
2,第一数学归纳法
使用第一数学归纳法证明一个命题分下面两步:
(1)证明当n= 0时命题成立
(2)假设n=k时命题成立,那么可以推导出在n=k+1时命题也成立。(k代表任意自然数,下同)
这样就可以得到,对于任意自然数n,命题成立。
3,跳跃归纳法
证明分两步:
(1) P(0),P(1),P(2),…,P(l-1)成立
(2) 假设P(k)成立,可以推出P (k+l)成立,则P(n)对一切自然数n都成立
其中l是常数,代表跳跃步长。
4,第二数学归纳法(完整归纳法)
证明分两步:
(1)P(0),P(1),P(2),…,P(l-1)成立
(2)假设当n≤k(k<l)时成立,证明当n=k+ 1时式子也成立
实际上,第一数学归纳法和跳跃归纳法都是第二数学归纳法的特例。
5,螺旋式归纳法
对两个与自然数有关的命题P(n),Q(n),
(1)验证n=0时,P(n)成立
(2)假设P(k)成立,能推出Q(k)成立,假设 Q(k)成立,能推出 P(k+1)成立;
综合(1)(2),对一切自然数n,P(n),Q(n)都成立。
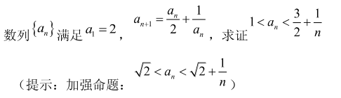
6,加强归纳法
这是一种比较难的思维技巧,在高中数学竞赛中比较常见。
加强命题:对于命题P和命题Q,如果对于任意n,命题“如果Q(n)则P(n)”都是真命题,则Q是P的加强命题。
对于命题P,如果P不满足第二数学归纳法的条件,但是加强命题Q满足第二数学归纳法的条件,那么可以先用第二数学归纳法证明Q恒成立,于是P也恒成立。
应用示例:见下文。
二,数学归纳法的适用领域
所有的数学归纳法,都是通过有限的递降,把问题归结为极小元处的结论。
1,二维命题退化成一维命题
假设有这样一个函数:
int f(int n, int m){ if(n==0)return m; return f(n-1,m*m); }
讯享网
用数学归纳法可以证明,f(n,m)=m^(2^n)对于任意自然数n,m成立。
证明:
(1)当n=0时,对于任意m,f(n,m)=m成立
(2)若当n=k时,对于任意m,结论成立,即f(k,m)=m^(2^k)

则对任意u,f(k+1,u)=f(k,u*u)= (u*u)^(2^k) = u^(2^(k+1)),
即结论对k+1也成立。
根据第一数学归纳法,结论对任意n,m成立。
在这个问题中,我们通过n的递降,把问题归结为关于f(0,m)的结论。
2,二维命题
假设有这样一个函数:
讯享网int f(int n, int m){ if(n==0)return 1; if(m==0)return 1; return f(n-1,m)+f(n,m-1); }
用数学归纳法可以证明,f(n,m)=C(n+m, n),其中C表示组合数,例如C(5,2)=10
证明:
(1)当n=0时,对于任意m,f(0,m)=C(m,0) 成立
(2)若当n=k时,对于任意m,结论成立,即f(k,m)=C(k+m, k)
则对任意u, f(k+1,u)=f(k,u)+f(k+1,u-1)=f(k+1,u-1)+C(k+u, k)
用第一数学归纳法可以证明,f(k+1,u)=C(k+u+1,k+1),即结论成立
根据第一数学归纳法,结论对任意n,m成立。
这里我们两次使用第一数学归纳法,而且是嵌套的方式。
3,数学归纳法不能用于实数域
如果f(0)=0,对于任意正整数n, f(n) <= max { f(k) | 0<=k<n },即f(n)不超过[0,n)上的最大值,那么根据数学归纳法,对于任意自然数n,f(n) <=0
直接把问题域改成实数域的话:
如果f(x)=0在区间[0,1)成立,对于任意实数x>=1,f(x)不超过[0,x)上的最大值,能否得出f(x)<=0恒成立?
答案是不能,而且可以找到一个经典反例:f(x) = (1-D(x)) * G(x),
其中D表示狄利克雷函数
,即当x是有理数时函数值为1,x是无理数时函数值为0
G表示高斯函数,即不超过x的最大整数。
4, 数学归纳法的适用领域
简单来讲,数学归纳法可以适用于自然数组成的n维空间,但是不能用于实数域。
三,正则公理
正则公理是集合论的ZF公理系统中的一条公理。它的表述为:“对任意非空集合x,至少有一 y∈x 使得,要么y不是集合,要么x∩y为空集。”
四,良基关系
设R为集合(或类)U上的一个二元关系,若U的每个非空子集均有R极小元,则称R为U上的一个良基关系。
良序关系一定为良基关系,反之则不成立。
由正则公理知,∈关系为集合论全域V上的良基关系,但不是良序关系。
从直观上讲,被良基化的集合或类,可以通过其上的良基关系对其元素进行分层。
一个二元关系称为是良基的,当且仅当它不包含无穷降链。
五,广义归纳法
在任何一个良集集合上,都有广义归纳法:
(X, R) 是良基关系,并且 P(x) 是 X 上的一个命题,如果满足
(1)对于任意极小元x, P(x)成立
(2)如果 x 不是极小元,对所有满足 y R x 的 y 都有 P(y) 为真,那么 P(x) 也一定为真
那么根据广义归纳法就可以得到,命题P在集合X上恒成立。
六,动态规划
所有的动态规划,一定是在一个良基集合上完成的广义归纳。
我在其他博文中提到的解空间,其实就是这个良基集合。
七,数学归纳法和动态规划的区别
首先,数学归纳法是建立在自然数的基础之上,复杂一点也就二维平面(第一象限),
而动态规划是广义归纳法,常见的良基集合有自然数、自然数区间、二维(或高维)空间的第一象限、树这些。
其次,数学归纳法一般是用来证明一个明确的结论,而且往往已经有解析式,
而动态规划的适用场景多且复杂,需要进行建模抽象(找出递推式)然后才能用归纳法,而且基本不存在解析式。
最后,数学归纳法没有直观的重叠子问题性质,但是动态规划必须要有显式的重叠子问题性质。
八,加强归纳法的应用
1,不等式
在证明f(n)<A时,有2种常见的加强命题可以用于加强归纳法:单侧加强、单侧变双侧
在证明A<f(n)<B时,常见的加强命题时双侧加强(也有的是一边加强一边不变)
(1)单侧加强
证明f(n)<A时,先证明f(n)<A-g(n),且g(n)>=0恒成立



(2)单侧变双侧
证明f(n)<A时,先证明h(n)<f(n)<A-g(n),且g(n)>=0恒成立


(3)双侧加强
在证明A<f(n)<B时,先证明A+h(n)<f(n)<B-g(n),且h(n)>=0恒成立,g(n)>=0恒成立

2,硬币组合问题
力扣 2952. 需要添加的硬币的最小数量

版权声明:本文内容由互联网用户自发贡献,该文观点仅代表作者本人。本站仅提供信息存储空间服务,不拥有所有权,不承担相关法律责任。如发现本站有涉嫌侵权/违法违规的内容,请联系我们,一经查实,本站将立刻删除。
如需转载请保留出处:https://51itzy.com/kjqy/32428.html