注:此篇为2019毕设,转载及引用30%以上请在开头带原文链接和作者,谢谢尊重。不允许商业平台出售。
论文doc下载:https://download.csdn.net/download/_/
单剂量给药下如何研究药代动力学仓室模型半衰期研究将被探讨,通过在在线性与非线性的仓室模型范围中,具体分析给药体的药量与半衰期之间关系,以此达到给定需求的药量如何定量的求解仓室药物的半衰期这一问题的目标。
利用应用数学建模的思想,可以对给药个体划分仓室。对仓室构建相应的参数与指标,通过这些参数和指标来分析说明仓室模型的组成,并得到相应模型的药物浓度求解方程组。由于给药剂量的确定可以得到相应浓度,因此利用药物浓度与半衰期之间的函数表达式,定量描述药物剂量与半衰期之间的关系。通过函数表达式的关系,可以利用坐标图像更直观的描述不同仓室不同背景下,他们彼此之间的关系情况。
结果:相对于其他各种类型的仓室模型研究,更侧重而详细地讨论了仓室模型在药代动力学中的详实推导过程,并且创新地给出了仅在中央室消除的n仓室模型利用laplace求解其对应的模型函数,并为其他类似的n仓室模型在药代动力学求解的基础上给出了普遍适用的求解方法。
最终得出结论:在对一系列仓室模型进行数学建模求解后,发现在线性仓室模型中,无论是单仓室,双仓室还是n仓室,都具有药物半衰期与药物给药的剂量无关这一性质,并且也说明了半衰期在线性条件下受分布消除速率影响。而对于非线性仓室模型,仅考虑米式消除和线性与米式消除双通道排泄的模型里,半衰期里随剂量的变化而变化。通过单剂量给药下仓室模型半衰期研究,可以对临床给药方面给予定量的指导,为深入探讨临床药物的代谢动力学提供了一种基于数学分析的理论研究工具。
线性仓室药物模型
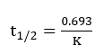
一仓室线性模型
模型建立
![]()
推到略->半衰期可得

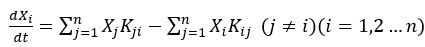
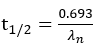
二仓室略->多仓室

模型建立
![]()
经Laplace变换->矩阵变换->克莱姆法则->复杂情况下无解析解(仓室n>3) ->反Laplace变换
![]()
非线性药物(抗癌药)的半衰期
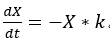
单仓室非线性模型

大多数药物在体内消除的过程通常遵循一级动力学,并且描述药物消除的药代动力学参数在治疗剂量范围内不会改变。少数的药物表现出剂量依赖性的药物代谢动力学(也称为非线性药代动力学),其中药代动力学参数取决于所用药物的剂量。在某些情况下,药代动力学参数可能会在消除单剂量药物过程中发生变化,这是因为与体内药物浓度有关。下述章节主要说明剂量依赖性药代动力学,并特别针对抗癌药物在人体中非线性代谢情况的研究。剂量依赖性药代动力学的主要原因是酶或载体系统对药物生物转化或排泄的能力的饱和。这些过程的动力学通常可以用Michaelis-Menten方程来描述。
模型建立:


在很早以前是以数值解的方法来求一个近似解,即Runge-Kutta数值解方法,现在也可以通过使用Lambert W函数来实现解析解的求解,过程略
![]()
单仓室非线性双通道排泄模型

模型建立
![]()
引用参考文献[1]的函数X(t,p,q).过程略
![]()
数值仿真
线性单仓室下,取用现代麻醉剂中常用的丙泊酚模型数据。丙泊酚又称为异丙酚,它是一种短效药物,会导致意识水平降低和事件缺乏记忆。其用途包括起始和维持的全身麻醉和镇静,还可用于癫痫持续状态。通过静脉注射给予,达到最大效果大约需要两分钟,通常保持5到10分钟。常见的副作用包括心率不规则,低血压,注射部位的烧灼感和停止呼吸。其他严重的副作用可能包括癫痫发作,不当使用感染,成瘾和长期使用的异丙酚输注综合征。发展中国家的批发价格在每瓶0.61至8.50美元之间。异丙酚也用于兽医的麻醉。通常在其麻醉学有相关药代动力学数值,其中Kel
取值为7.14l/h。因此对于单室模型的半衰期与剂量关系为图3.1A。
线性两仓室下,取用丙泊酚在麻醉剂中的数据情况,其中Kel
取值为7.14l/h,k12
取值为6.72l/h,k21
取值为3.3l/h。因此对于两室模型的半衰期与剂量关系为图3.1B。
线性多仓室下,n=3,取用丙泊酚在麻醉剂中的数据情况,其中Kel
取值为7.14l/h,k12
取值为6.72l/h,k21
取值为3.3l/h,k13
取值为2.52l/h,k31
取值为0.198l/h。因此对于三室模型的半衰期与剂量关系为图3.1C。
线性多仓室下,n=4,取用TP-434(Eravacycline,一种新型的氟环素)的数据情况,Eravacycline是Tetraphase Pharmaceuticals开发的合成四环素类抗生素。它与替加环素密切相关,且具有广泛的活性,其中包括许多多重耐药细菌菌株。Eravacycline已获得FDA的快速批准。他在ICAAC中论述了相关药代动力学参数,其中λ4
取值为0.261l/h。因此对于四室模型的半衰期与剂量关系为图3.1D。
非线性米氏模型和非线性双通道排泄模型里,将抗癌药G-CSF的数据代入仿真中。G-CSF又称Filgrastim,用于治疗低血液中性粒细胞的药物。它也可用于增加白细胞在白细胞分离期间聚集。往往通过注射到静脉或在皮肤之下来给药。常见的副作用包括发烧,咳嗽,胸痛,关节疼痛,呕吐和脱发。严重的副作用包括脾破裂和过敏反应。它在药代动力学中给出了相关参数:其中V1
为1ml,Vm
为1μg/h,Km
为1.2μg/ml,Kel
为0.5μg/ml。因此对非线性米氏模型和非线性双通道排泄模型,他们的半衰期与剂量关系分别为图3.1E和F。

结语:
药代动力学基于函数方程的方法研究,它使用药理学数据指导相关临床群体中剂量的修正具有潜在益处。目前的研究为仓室模型推导提供了药代动力学模型求解对应数据在半衰期的直观分析。尽管药物的药代动力学模型在实际中仍然相对简化,但这些模型为未来研究药代动力学提供了一个很好的基础。为了在未来的研究中更准确地估计药代动力学半衰期,确立更多更复杂的模型是非常必要的。如前所述,这可能会带来相当大的困难与挑战。但是要解决这些问题,必须要对研究病患给药的可变性提供科学依据,并解决诸如病患病源和病因不一,导致剂量上限受到影响等问题。

版权声明:本文内容由互联网用户自发贡献,该文观点仅代表作者本人。本站仅提供信息存储空间服务,不拥有所有权,不承担相关法律责任。如发现本站有涉嫌侵权/违法违规的内容,请联系我们,一经查实,本站将立刻删除。
如需转载请保留出处:https://51itzy.com/kjqy/32378.html