目录
因式分解的一般步骤
1.十字相乘法
2.公式法
3.分组分解法
因式分解的一般步骤
1、如果多项式的首项为负,应先提取负号;
这里的“负”,指“负号”。如果多项式的第一项是负的,一般要提出负号,使括号内第一项系数是正的。
2、如果多项式的各项含有公因式,那么先提取这个公因式,再进一步分解因式;
要注意:多项式的某个整项是公因式时,先提出这个公因式后,括号内切勿漏掉1;提公因式要一次性提干净,并使每一个括号内的多项式都不能再分解。
3、如果各项没有公因式,那么可尝试运用公式、十字相乘法来分解;
4、如果用上述方法不能分解,再尝试用分组、拆项、补项法来分解。
口诀:先提首项负号,再看有无公因式,后看能否套公式,十字相乘试一试,分组分解要合适。
1.十字相乘法
情况一

情况二
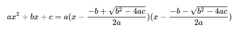
2.公式法
如果把乘法公式的等号两边互换位置,就可以得到用于分解因式的公式,用来把某些具有特殊形式的多项式分解因式,这种分解因式的方法叫做公式法。
2.1、平方差公式:
![]()
即两个数的平方差,等于这两个数的和与这两个数的差的积。
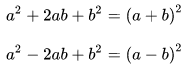
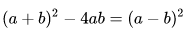
2.2、完全平方公式:

即两个数的平方和加上(或减去)这两个数的积的2倍,等于这两个数的和 (或差)的平方。
注意:能运用完全平方公式分解因式的多项式必须是三项式,其中有两项能写成两个数(或式)的平方和的 [3] 形式,另一项是这两个数(或式)的积的2倍。
口诀:首平方,尾平方,积的二倍放中央。同号加、异号减,符号添在异号前。
推广:
(1)即三数和的平方,等于这三个数的平方和加上每两项的积的2倍。
(2)即四数和的平方,等于这四个数的平方和加上每两数的积的2倍。
即几个数的和的平方,等于这几个数的平方和加上每两数的积的2倍。
(3)![]()
(4)![]()
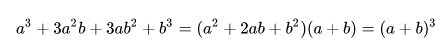
2.3、立方和公式:
![]()
即两数之和,乘它们的平方和与它们的积的差,等于这两个数的立方和。
推广:三项立方和公式:
![]()
即三数之和,乘它们的平方和与它们两两的积的差,等于这三个数的立方和减三数之积的三倍
变形:

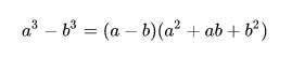
2.4、立方差公式:

即两数之差,乘它们的平方和与它们的积的和,等于这两个数的立方差。
变形:
![]()
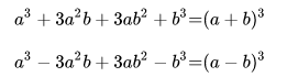
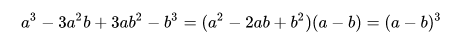
2.5、完全立方公式:

即两数之和(差)的立方等于这两个数的立方和(差)与每一个数的平方乘以另一个数3倍的和(和与差)。
2.6、两根式:

3.分组分解法
通过分组分解的方式来分解提公因式法和公式分解法无法直接分解的因式,这种分解因式的方法叫做分组分解法。
能分组分解的多项式有四项或大于四项,一般的分组分解有两种形式:二二分法,三一分法。
例1:因式分解ax+ay+bx+by
解析:把ax和ay分一组,bx和by分一组,利用乘法分配律,两两相配,立即解除了困难。
解:ax+ay+bx+by
=a(x+y)+b(x+y)
=(a+b)(x+y)
或
ax+ay+bx+by
=x(a+b)+y(a+b)
=(a+b)(x+y)
例2:因式分解5ax+5bx+3ay+3by
解析:系数不一样一样可以做分组分解,和上面一样,把5ax和5bx看成整体,把3ay和3by看成一个整体,利用乘法分配律轻松解出。
解:5ax+5bx+3ay+3by
=5x(a+b)+3y(a+b)
=(5x+3y)(a+b)
例3:因式分解 x²-x-y²-y
解析:利用二二分法,再利用公式法a²-b²=(a+b)(a-b),然后相合解决。
解:x²-x-y²-y
=(x²-y²)-(x+y)
=(x+y)(x-y)-(x+y)
=(x+y)(x-y-1)
例4:因式分解a²-b²-2bc-c²
解:a²-b²-2bc-c²
=a²-(b+c)²
=(a-b-c)(a+b+c)

版权声明:本文内容由互联网用户自发贡献,该文观点仅代表作者本人。本站仅提供信息存储空间服务,不拥有所有权,不承担相关法律责任。如发现本站有涉嫌侵权/违法违规的内容,请联系我们,一经查实,本站将立刻删除。
如需转载请保留出处:https://51itzy.com/kjqy/32369.html