首先 i/n 就相当于x,这个应该很直观。
然后求和的上下限将改为积分的上下限:
当 i=1时,i/n=0,因为n趋于无穷。
当 i=n 时,i/n=1,所以下限为0,上限为1
(一)定积分的定义

其中,分割是任意的分割,想怎么分就怎么分,任意分!分割的目的在于第二步的代替。
代替什么呢?就是“化曲为直”,用直线来近似代替那段曲线,为什么这时候能够用直线来近似代替那段曲线了?
就是因为第一步的分割呀!因为你第一步的分割分的让每个子区间足够小,小的让在小区间内随便取一点,代入到被积函数中,它的值都一样!既然都一样了,此时就可以将曲线看成直线了,此时这段小区间的面积就可以近似看作是小矩形的面积,宽就是小区间长度,长就是将这一点代入被积函数后的值。


大家对照着上面的图一,看看上面讲的n等分法,这就是考研里面的特殊分割!
你之前是任意分割,现在我就取个特殊,我将这个区间分成n等份,每一份的区间长度都是n分之一。
而近似呢,你之前的定义是说取小区间的任意一点,我这时候就取个特殊点,我取每个小区间的右端点!把这个右端点代入到被积函数中,用它的函数值来近似代替这段曲线上的每一点值,即:

你要想明白1/n代表什么?它代表的是矩形面积微元中的那个宽!
小 f 这个函数代表什么?它代表的是矩形面积微元中的那个长!
(二)利用定积分定义求极限的题目特征
在哪些题目需要考虑用定积分的定义?或者说这类题目有什么样的特征?
汤老师是这样总结的:
用定积分定义求极限的题目具有如下的特征:
1、分子齐(都是1次或0次);
2、分母齐(都是2次);
3、分母比分子多一次;
这里的“齐”是什么意思呢?举两个例子就明白了:
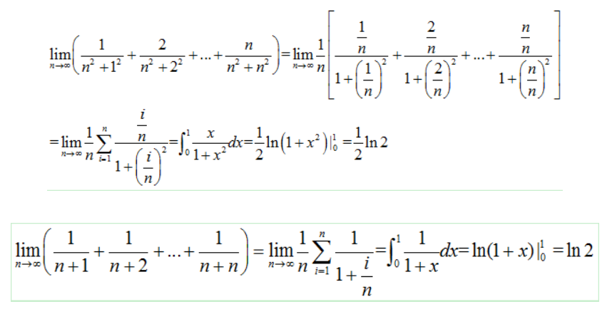
比如说例1这个题:

这个题,他的分母都是2次,是齐的,分子都是1次,分母比分子多一次。
又比如例2:


这个题,它的分母都是1次,是齐的,分子都是0次(因为都是1,可以看做是0次方),分母比分子多一次。
像上面这两道题,就是典型的利用定积分定义做的。两道题的求解步骤分别如下所示:

(三)利用定积分定义求极限的求解步骤总结
知道了具有什么样的特征的式子要用定积分来求解,接下来就需要弄明白三件事:
面积微元怎么凑?
被积函数怎么定?
积分上下限如何定?
步骤如下:
1、通过恒等变形,将待求数列极限化为特殊形式的积分和
即化成:
之所以提出来1/n,正是因为它是那个小矩形的宽,而小f这个函数代表的就是矩形的长。这两个乘起来,就构成了面积微元。
2、寻找被积函数 f 以及确定积分上下限:
3、根据定积分的定义,写成定积分:
4、计算定积分,得所求极限为:
其中大F为小f的原函数。
总结一下:当你拿到一个若干项和求极限的题目时,如果它恰好符合利用定积分的定义来做,那么这时候就要在心里问自己两个问题了:
我的被积函数在哪里?积分上下限在哪里?
通过提取出1/n,得到面积微元的小矩形的宽,通过得到小f(x)得到小矩形的长,两者乘起来进行累加,就是定积分!
如果再出的难一些,无非就是将夹逼定理和放缩法联系在一块,综合起来进行处理。
既然已经说到有可能出这种题了,就给大家一道,大家可以尝试着做一做:

考研题,考的就是至少两个知识点的综合!
这部分题型其实命题人就是在考你是否理解了定积分的定义,同时,他还考了你求极限,甚至再联合放缩法、夹逼定理来一块考你!
转载于 利用定积分定义求极限的原理与套路,你会了吗? - 知乎






版权声明:本文内容由互联网用户自发贡献,该文观点仅代表作者本人。本站仅提供信息存储空间服务,不拥有所有权,不承担相关法律责任。如发现本站有涉嫌侵权/违法违规的内容,请联系我们,一经查实,本站将立刻删除。
如需转载请保留出处:https://51itzy.com/kjqy/30720.html