本章的红黑树,在《数据结构与算法c++描述》 中只是提了相关知识点,但是没有细讲相关内容,本人结合此书,与其他参考书籍与网上相关博客,记录一下红黑树的数据结构,与其对应的代码:
红黑树定义:
红黑树是一种二叉搜索树,并且相对于二叉搜索树做了一定的改进。
书的节点包括5个属性:key 、color、p、left、right。
红黑树具有下列五种性质:
- 根节点黑色。
- 每个节点为红色/黑色。
- 每个叶节点(NIL)是黑的。
- 红色节点下两个节点必为黑色。
- 从任一节点到其叶子节点的所有路径上都包含相同数目的黑节点。
设书的高度为h,节点为n,他们之间的关系就是: 
讯享网
定义来自《算法导论 第三版》
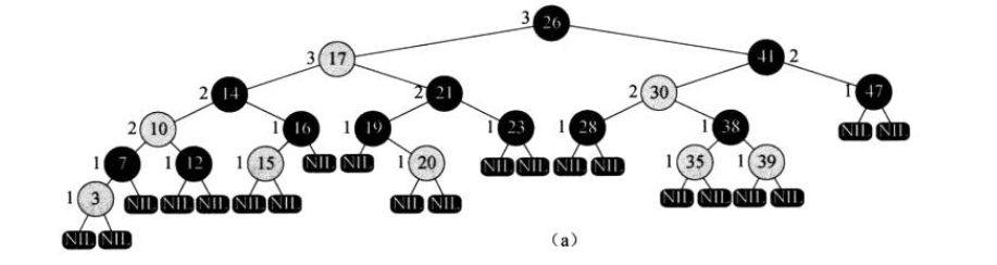
如图:
为了方便,让所有NIL都是一样的,就可以变成:

上边的图是不是不好看,换个有颜色的图吧,上边为算法导论中的图。

红黑树的节点:
/* 数组结构中 RBTree 对应书中代码:数据结构算法与应用c++描述 程序编写:比卡丘不皮 编写时间:2020年7月29日 14:20:23 */ #pragma once #include<iostream> using namespace std; template<class T> class RBTreeNode { public: T key; //主要的值 RBTreeNode *p; //父亲节点 RBTreeNode *left; //左节点 RBTreeNode *right; //右节点 enum Color { RED, BREAK }; Color color; //颜色 RBTreeNode(T k):key(k) { p = left = right = NULL; color = BREAK; } };
讯享网
红黑树类
讯享网//这里定义了NIL 节点,为了方便,所有的“叶子点”都指向它 RBTreeNode<int> nil(-1); RBTreeNode<int> *NIL = &nil; template<class T> class RBTree { public: RBTree() //初始化 { root = NIL; } RBTree(RBTreeNode<T> * n); //初始化 RBTreeNode<T> * Search(T k); //查找k值返回当前节点指针 bool IsEmpty()const //判断AVLTree是否为空 { return root == NULL; } void InOrder() //中序遍历节点 { InOrder(root); } //找到最大值 T MaxNum(); //找到最小值 T miniNum(); RBTreeNode<T> * Predecessor(RBTreeNode<T> * u); //前者 RBTreeNode<T> * Successor(RBTreeNode<T> * u);//继承者 RBTreeNode<T> * insert(T k); bool Delete(T k); private: void InOrder(RBTreeNode<T> * n) const; //中序遍历节点 RBTreeNode<T> * root; //根节点 RBTreeNode<T> * miniNum(RBTreeNode<T> * u); RBTreeNode<T>* MaxNum(RBTreeNode<T> * u); void InsertFixup(RBTreeNode<T> * u); //插入修正 void DeleteFixup(RBTreeNode<T> * u); //删除修正 void LeftRotate(RBTreeNode<T> * u); //左旋 void RightRotate(RBTreeNode<T> * u); //右旋 void TransPlant(RBTreeNode<T> * u1, RBTreeNode<T> * u2); };
初始化函数:
template<class T> RBTree<T>::RBTree(RBTreeNode<T> * n):root(n) { n->p = n->left = n->right = NIL; }
收索函数:
讯享网 template<class T> RBTreeNode<T>* RBTree<T>::Search(T k) { RBTreeNode<T>* cur = root; while (cur->key != k) { if (cur->key < k && cur->right != NIL) { cur = cur->right; } else if (cur->key>k&&cur->left != NIL) { cur = cur->left; } else { return NIL; } } return cur; }
本树的最大值最小值:
template<class T> T RBTree<T>::MaxNum() { RBTreeNode<T> * cur = root; while (cur->right != NIL) { cur = cur->right; } return cur->key; } template<class T> T RBTree<T>::miniNum() { RBTreeNode<T> * cur = root; while (cur->left != NIL) { cur = cur->left; } return cur->key; }
当前节点下的最大,最小值
讯享网template<class T> RBTreeNode<T>* RBTree<T>::miniNum(RBTreeNode<T> * u) { RBTreeNode<T> * cur = u; while (cur->left != NIL) { cur = cur->left; } return cur; } template<class T> RBTreeNode<T>* RBTree<T>::MaxNum(RBTreeNode<T>* u) { RBTreeNode<T> * cur = u; while (cur->right != NIL) { cur = cur->right; } return cur; }
InOrder中序遍历:
//中序遍历 template<class T> void RBTree<T>::InOrder(RBTreeNode<T> * n) const { if (n != NIL) { InOrder(n->left); cout << n->key << " "; InOrder(n->right); } }
旋转 :
红黑树的查找操作与二叉搜索树BST完全一致。但是插入和删除算法会破坏红黑树的性质。所以对红黑树执行删除、插入操作后需要调整使其恢复红黑树性质。调整过程仅需要少量的染色(O(log n) 或者 O(1)的复杂度)和至多3次的旋转操作(插入仅需2次)。虽然这样会使插入、删除操作很复杂,但其时间复杂度仍然在O(log n)以内。
两种旋转,如下动态图:

左旋:

为方便理解 其中 u 是 11 u2指向了18
讯享网 //左转, template<class T> void RBTree<T>::LeftRotate(RBTreeNode<T>* u) { RBTreeNode<T> * u2 = u->right; u->right = u2->left; if (u2->left != NIL) { u2->left->p = u; //u是 u2->left的父亲 } u2->p = u->p; if (u->p == NIL) //u为根简单 { root = u2; } else if ( u == u->p->left) { u->p->left = u2; } else //在右边 { u->p->right = u2; } u2->left = u; u->p = u2; }
右旋:
右旋是上图反过来,这个时候u 为18,u2 为11
template<class T> void RBTree<T>::RightRotate(RBTreeNode<T>* u) { RBTreeNode<T> * u2 = u->left; u->left = u2->right; if (u2->right != NIL) { u2->right->p = u; } u2->p = u->p; //右转导致U的父亲变成u2的父亲。 if (u->p == NIL) { root = u2; } else if (u == u->p->left) { u->p->left = u2; } else { u->p->right = u2; } u2->right = u; u->p = u2; }
插入部分:
由于性质的约束:插入点不能为黑节点,应插入红节点。因为你插入黑节点将破坏性质5,所以每次插入的点都是红结点,但是若他的父节点也为红,那岂不是破坏了性质4?对啊,所以要做一些“旋转”和一些节点的变色!另为叙述方便我们给要插入的节点标为N(红色),父节点为P,祖父节点为G,叔节点为U。下边将一一列出所有插入时遇到的情况:
情况1:该树为空树,直接插入根结点的位置,违反性质1,把节点颜色有红改为黑即可。
情况2:插入节点N的父节点P为黑色,不违反任何性质,无需做任何修改。
情况3:N为红,P为红,(祖节点一定存在,且为黑,下边同理)U也为红,这里不论P是G的左孩子,还是右孩子;不论N是P的左孩子,还是右孩子。
操作:如图把P、U改为黑色,G改为红色,未结束。

N、P都为红,违反性质4;若把P改为黑,符合性质4,显然左边少了一个黑节点,违反性质5;所以我们把G,U都改为相反色,这样一来通过G的路径的黑节点数目没变,即符合4、5,但是G变红了,若G的父节点又是红的不就有违反了4,是这样,所以经过上边操作后未结束,需把G作为起始点,即把G看做一个插入的红节点继续向上检索----属于哪种情况,按那种情况操作~要么中间就结束,要么知道根结点(此时根结点变红,一根结点向上检索,那木有了,那就把他变为黑色吧)。
情况4:N为红,P为红,U为黑,P为G的左孩子,N为P的左孩子(或者P为G的右孩子,N为P的左孩子;反正就是同向的)。
操作:如图P、G变色,P、G变换即左左单旋(或者右右单旋),结束。


解析:要知道经过P、G变换(旋转),变换后P的位置就是当年G的位置,所以红P变为黑,而黑G变为红都是为了不违反性质5,而维持到达叶节点所包含的黑节点的数目不变!还可以理解为:也就是相当于(只是相当于,并不是实事,只是为了更好理解;)把红N头上的红节点移到对面黑U的头上;这样即符合了性质4也不违反性质5,这样就结束了。
情况5:N为红,P为红,U为黑,P为G的左孩子,N为P的右孩子(或者P为G的右孩子,N为P的左孩子;反正两方向相反)。

操作:需要进行两次变换(旋转),图中只显示了一次变换-----首先P、N变换,颜色不变;然后就变成了情形4的情况,按照情况4操作,即结束。
解析:由于P、N都为红,经变换,不违反性质5;然后就变成4的情形,此时G与G现在的左孩子变色,并变换,结束。
在《算法导论》中,情况3,4,5.对应的就是对应的1 2 3,看算法导论可以对应的来解决。
插入函数:
讯享网template<class T> RBTreeNode<T>* RBTree<T>::insert(T k) { RBTreeNode<T>* cur = root; RBTreeNode<T>* prev = root; while (cur != NIL && (cur != NULL)) { prev = cur; if (k < cur->key) //小的放左边 { cur = cur->left; } else if (k > cur->key) //大的放右边 { cur = cur->right; } else //插入的相等 { cout << "当前节点已经存在,不予插入" << endl; return NIL; } } if (IsEmpty()) //若根指向了NIL { root = new RBTreeNode<T>(k); return root; } if (k < prev->key) { prev->left = new RBTreeNode<T>(k); prev->left->p = prev; prev->left->left = prev->left->right = NIL; prev->left->color = RBTreeNode<T>::RED; //记录为红色 InsertFixup(prev->left); return prev->left; } else if (k > prev->key) { prev->right = new RBTreeNode<T>(k); prev->right->p = prev; prev->right->left = prev->right->right = NIL; prev->right->color = RBTreeNode<T>::RED; //记录为红色 InsertFixup(prev->right); return prev->right; } return NIL; }
InsertFixup:
插入数据后可能会出现问题,通过此函数修订后,解决上面的情况。仔细读取代码,你会更好的理解。
template<class T> void RBTree<T>::InsertFixup(RBTreeNode<T>* u) { //判断当前的父节点是不是红的,红的改变 while (u->p->color == RBTreeNode<T>::RED) { if (u->p == u->p->p->left) //父节点在祖父的左边 { RBTreeNode<T> * uncle = u->p->p->right; //当nucle的颜色为红色的时候 为情况3(算法导论中的情况1) if (uncle->color == RBTreeNode<T>::RED) { u->p->color = uncle->color = RBTreeNode<T>::BLACK; u->p->p->color = RBTreeNode<T>::RED; u = u->p->p; //让祖父位新的节点,知道遍历到根节点,然后让跟节点 } else //当nucle的颜色为黑色的时候 { //当nucle的颜色为黑色的时候 为情况4 (算法导论中的情况3) if ( (uncle->color == RBTreeNode<T>::BLACK) && (u == u->p->left) ) { u->p->color = RBTreeNode<T>::BLACK; u->p->p->color = RBTreeNode<T>::RED; RightRotate(u->p->p); //右转 都在左边 } //当nucle的颜色为黑色的时候 为情况5先变4 (算法导论中的情况2 变3) else if ((uncle->color == RBTreeNode<T>::BLACK) && (u == u->p->right) ) { u = u->p; LeftRotate(u); } } } else if (u->p == u->p->p->right) //父节点在祖父的右边 { RBTreeNode<T> * uncle = u->p->p->left; //当nucle的颜色为红色的时候 为情况3(算法导论中的情况1) if (uncle->color == RBTreeNode<T>::RED) { u->p->color = uncle->color = RBTreeNode<T>::BLACK; u->p->p->color = RBTreeNode<T>::RED; u = u->p->p; //让祖父位新的节点,知道遍历到根节点,然后让跟节点 } else { //当nucle的颜色为黑色的时候 为情况4 (算法导论中的情况3) if ((uncle->color == RBTreeNode<T>::BLACK) && (u == u->p->right)) { u->p->color = RBTreeNode<T>::BLACK; u->p->p->color = RBTreeNode<T>::RED; LeftRotate(u->p->p); }//当nucle的颜色为黑色的时候 为情况5先变4 (算法导论中的情况2 变3) else if ((uncle->color == RBTreeNode<T>::BLACK) && (u == u->p->left) ) { u = u->p; RightRotate(u); } } } } root->color = RBTreeNode<T>::BLACK; //根节点一定是黑的 }
删除:
情况1:S为红色(那么父节点P一定是黑,子节点一定是黑),N是P的左孩子(或者N是P的右孩子)。

操作:P、S变色,并交换----相当于AVL中的右右中旋转即以P为中心S向左旋(或者是AVL中的左左中的旋转),未结束。
解析:我们知道P的左边少了一个黑节点,这样操作相当于在N头上又加了一个红节点----不违反任何性质,但是到通过N的路径仍少了一个黑节点,需要再把对N进行一次检索,并作相应的操作才可以平衡。
情况2:P、S及S的孩子们都为黑。

操作:S改为红色,未结束。
解析:S变为红色后经过S节点的路径的黑节点数目也减少了1,那个从P出发到其叶子节点到所有路径所包含的黑节点数目(记为num)相等了。但是这个num比之前少了1,因为左右子树中的黑节点数目都减少了!一般地,P是他父节点G的一个孩子,那么由G到其叶子节点的黑节点数目就不相等了,所以说没有结束,需把P当做新的起始点开始向上检索。
情况3: P为红(S一定为黑),S的孩子们都为黑。

操作:P该为黑,S改为红,结束。
解析:这种情况最简单了,既然N这边少了一个黑节点,那么S这边就拿出了一个黑节点来共享一下,这样一来,S这边没少一个黑节点,而N这边便多了一个黑节点,这样就恢复了平衡,多么美好的事情哈!
情况4: P任意色,S为黑,N是P的左孩子,S的右孩子SR为红,S的左孩子任意(或者是N是P的右孩子,S的左孩子为红,S的右孩子任意)。

操作:SR(SL)改为黑,P改为黑,S改为P的颜色,P、S变换--这里相对应于AVL中的右右中的旋转(或者是AVL中的左左旋转),结束。
解析:P、S旋转有变色,等于给N这边加了一个黑节点,P位置(是位置而不是P)的颜色不变,S这边少了一个黑节点;SR有红变黑,S这边又增加了一个黑节点;这样一来又恢复了平衡,结束。
情况5:P任意色,S为黑,N是P的左孩子,S的左孩子SL为红,S的右孩子SR为黑(或者N是P的有孩子,S的右孩子为红,S的左孩子为黑)。

操作:SL(或SR)改为黑,S改为红,SL(SR)、S变换;此时就回到了情形4,SL(SR)变成了黑S,S变成了红SR(SL),做情形4的操作即可,这两次变换,其实就是对应AVL的右左的两次旋转(或者是AVL的左右的两次旋转)。删除
删除函数:
讯享网template<class T> bool RBTree<T>::Delete(T k) { RBTreeNode<T> * toDelete = Search(k); if (toDelete == NIL) { return false; } RBTreeNode<T> * toReplace = toDelete; RBTreeNode<T> ::Color original_color = toDelete->color; RBTreeNode<T> * tRTR; toReplace->color = toDelete->color; if (toDelete->left == NIL) { tRTR = toDelete->right; TransPlant(toDelete, toDelete->right); } else if (toDelete->right == NIL) { tRTR = toDelete->left; TransPlant(toDelete, toDelete->left); } else { toReplace = Successor(toDelete); //找到要删除toDelete右节点的最小值的位置 original_color = toReplace->color; tRTR = toReplace->right; //当前最小节点,的右子树,或者是NIL if (toReplace->p == toDelete) { tRTR->p = toReplace; } else { //删除替换的点 TransPlant(toReplace, toReplace->right); toReplace->right = toDelete->right; toReplace->right->p = toReplace; } //将替换的点与 本该删除的点互换。 TransPlant(toDelete, toReplace); toReplace->left = toDelete->left; toReplace->left->p = toReplace; toReplace->color = toDelete->color; } //当删除的点是红的话,没有关系,当删除的点是黑色的就是上面的情况 if (original_color == RBTreeNode<T>::BLACK) { DeleteFixup(tRTR); } return true; }
DeleteFixup函数:
template<class T> void RBTree<T>::DeleteFixup(RBTreeNode<T>* u) { while (u != root && u->color == RBTreeNode<T>::BLACK) { if (u == u->p->left) { RBTreeNode<T> * S = u->p->right; if (S->color == RBTreeNode<T>::RED) //情况1 { S->color = RBTreeNode<T>::BLACK; //S变红 u->p->color = RBTreeNode<T>::RED; //图中的p变红 LeftRotate(u->p); //左旋 S = u->p->right; }else if (S->left->color == RBTreeNode<T>::BLACK && (S->right->color == RBTreeNode<T>::BLACK) )//情况3 或 2(有情况1变成3) 对应书中情况2 { S->color = RBTreeNode<T>::RED; u = u->p; //如果是黑色向上遍历, 若是红的话,把u变黑就结束了 } else if (S->right->color == RBTreeNode<T>::RED) //情况4 { S->right->color = RBTreeNode<T>::BLACK; RBTreeNode<T>::Color temp = u->p->color; S->color = temp; u->p->color = RBTreeNode<T>::BLACK; LeftRotate(u->p); u = root; //完全结束 } else if (S->left->color == RBTreeNode<T>::RED && (S->right->color == RBTreeNode<T>::BLACK) && (S->color == RBTreeNode<T>::BLACK) ) //情况5 转化成4 { S->color = RBTreeNode<T>::RED; S->left->color = RBTreeNode<T>::BLACK; RightRotate(S);//然后变成了4的情况 } } else if (u == u->p->right) { RBTreeNode<T> * S = u->p->left; if (S->color == RBTreeNode<T>::RED) { S->color = RBTreeNode<T>::BLACK; //S变红 u->p->color = RBTreeNode<T>::RED; //图中的p变红 RightRotate(u->p); S = u->p->left; } else if (S->left->color == RBTreeNode<T>::BLACK && (S->right->color == RBTreeNode<T>::BLACK) ) { S->color = RBTreeNode<T>::RED; u = u->p; //如果是黑色向上遍历, 若是红的话,把u变黑就结束了 } else if (S->left->color == RBTreeNode<T>::RED) //情况4 { S->left->color == RBTreeNode<T>::BLACK; RBTreeNode<T>::Color temp = u->p->color; S->color = temp; u->p->color = RBTreeNode<T>::BLACK; RightRotate(u->p); u = root; } else if (S->color == RBTreeNode<T>::BLACK && (S->left->color == RBTreeNode<T>::BLACK)&& (S->right->color == RBTreeNode<T>::RED)) { S->color = RBTreeNode<T>::RED; S->right->color = RBTreeNode<T>::BLACK; LeftRotate(S); } } } u->color = RBTreeNode<T>::BLACK; }
Predecessor 与 Successor 函数:
讯享网template<class T> RBTreeNode<T>* RBTree<T>::Predecessor(RBTreeNode<T>* u) { if (u->left != NIL) { return MaxNum(u->left); } else if (u->p != NIL) { return u->p; } else { return NIL; } } template<class T> RBTreeNode<T>* RBTree<T>::Successor(RBTreeNode<T>* u) { if (u->right != NIL) { return miniNum(u->right); } else if (u->p != NIL) { return u->p; } else { return NIL; } }
测试函数:
void testBRTree() { int arr[] = { 3,2,1,4,5,6,7,16,15,14,13,12,11,10,8,9 }; int length = sizeof(arr) / sizeof(arr[0]); cout << "源数组为:" << endl; for (int i = 0; i < length; i++) { cout << arr[i] << " "; } cout << endl; RBTree<int> *tree = new RBTree<int>(); for (int i = 0; i < length; i++) { tree->insert(arr[i]); } cout << endl; cout << "中序遍历:" << endl; tree->InOrder(); int Value = 8; cout << "\n删除根节点: " << Value; tree->Delete(Value); cout << endl; cout << "中序遍历:" << endl; tree->InOrder(); }
输出结果:

红黑树算是完成了,需要代码的可以私信我,真的十分的有趣。主要目的是了解插入与删除的情况,很有趣的。
版权声明:本文内容由互联网用户自发贡献,该文观点仅代表作者本人。本站仅提供信息存储空间服务,不拥有所有权,不承担相关法律责任。如发现本站有涉嫌侵权/违法违规的内容,请联系我们,一经查实,本站将立刻删除。
如需转载请保留出处:https://51itzy.com/kjqy/30707.html