1.什么是工作流审批
根据本人的理解,就是审批流程管理。
2.什么是flowable
1.官方解释
官方解释如下:
Flowable 项目提供了一套核心的开源业务流程引擎,这些引擎紧凑且高效。它们为开发人员、系统管理员和业务用户提供工作流和业务流程管理 (BPM) 平台。
它的核心是一个闪电般快速、久经考验的动态 BPMN 流程引擎,伴随着 DMN 决策表和 CMMN 案例管理引擎,所有这些引擎都是用 Java 编写的。它们是 Apache 2.0 许可的开放源代码,拥有一个承诺社区。
所有引擎都可以嵌入在 Java 应用程序中运行,也可以作为服务器、集群和云中的服务运行。它们可以作为独立的引擎或服务运行,也可以集成在一起为业务流程管理提供丰富的套件。它们与 Spring 完美集成。凭借丰富的 Java 和 REST API,它们是编排人工或机器人自动化处理的理想基础。它们启用微服务编排或软连接微服务本身。
这里总结一下:
- 目的是管理业务审批工作流。
- 使用BPMN技术。
- 可方便嵌套在spring体系中。
2.显赫的家室
说起flowable还来自于activiti,因为activiti内部工作人员不合,一大堆小伙伴相约出去创业了。但是锅还是原来的锅,只不过做饭的方式不同了。所以在思想上,flowable与activiti相差不大。只不过功能更加强大了。
3.什么是BPMN
1.解释BPMN
官方解释如下:
标准的业务流程模型和符号 (BPMN) 将为企业提供以图形符号理解其内部业务程序的能力,并使组织能够以标准方式交流这些程序。此外,图形符号将有助于理解组织之间的绩效协作和业务交易。这将确保企业了解自身和业务参与者,并使组织能够快速适应新的内部和 B2B 业务环境。
这里总结一下:
- BPMN开发了一套标准的业务流程建模符号。如下图就是建模的符号。
- BPMN定义了一个流程图,该流程图使用上述符号编写。如下图就是通过BPMN规则绘画的图。

说白了如上图规则的图就BPMN流程图。
2.BPMN常用符号
1.开始节点
表明从此处开始流程。
2.任务节点
其中包含了很多种任务,如图。其中最常用的就是用户任务。指定审批人都需要此选项。

3.网关组件
网关相当于判断(与,或,非),最常用的三种网关分别是互斥/排他网关,并行网关,相容网关。

- 互斥网关:相当于判断,举例说明,如果输入值大于20走A节点,小于20走B节点。

- 并行网关:相容网关成对出现,表示网关中的人全部同意才能够进入下一节点。

3 .相容网关:互斥网关与并行网关的结合体,如果满足A,B都互斥条件,则都需要流转,如果只有一个满足,那么只流转满足条件的。

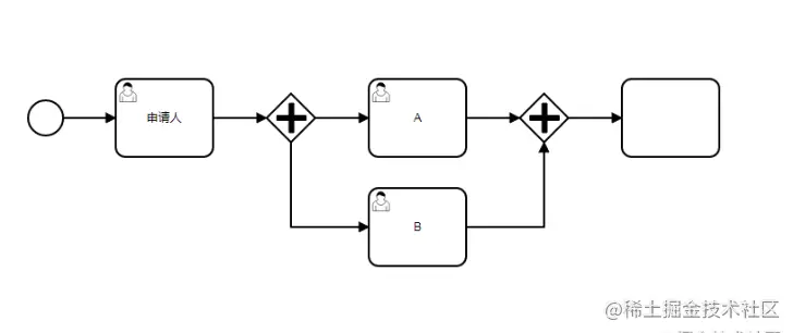
3.来个例子

说明如下:
- 当审批申请人提交完成后进入审批阶段
- 两位项目经理进行审批,需要两人都同意后进入下一节点。
- 经理进行审批,此处业务为经理职位(manage)的人都可以执行审批。(此处有认领业务此处不描述)
- 此处总经理/董事长审批,如果大于20天需要董事长审批,如果小于20天总经理审批。
4.为什么选择flowable
在技术选择上,flowable较activiti更加新,功能更加完善。以用新不用旧的原则,建议使用flowable。但是相比于activiti来说,他的网上文档非常少。入门也更加困难。
当然可以自己开发审批流系统,设计提交人与审批人字段,通过sql查询可以完成。这种是最费时费力的方法,同时在功能上与开源架构完全没有可比性。而且开源的flowable/activiti已经形成了自己的体系,当与客户侃大山时,更加凸显系统的专业。
5.通用的业务流程
标准的审批流系统都有一套标准化的业务流程下文,介绍如何操作审批流系统。
1.整体流程
业务流程主要分以下步骤:

一般在系统中的模块名如下,请各自对应。

这里的任务管理可以查看到一个流程每个审批节点的具体信息。非必要业务。
1.编辑流程
这部分主要是制作流程。
1.自定义表单

在申请人进行审批时,需要填写申请的项目和申请数据。如请假审批需要填写请假时间和请假原因。所以这个表单我们希望可以定制。

2.编辑流程模型
也就是使用BPMN绘制流程图,在图中会指定该审批流程的表单,下一审批节点人员与进入流程的流转条件。
当然也可以导入流程图。同时可以指定申请人在申请时需要填写的表单。(审批人如果需要添加审批表单也可以在此处配置)

3.部署成流程定义
流程模型在编辑/导入后,并不会生效。之后发布生成流程定义后才能够使用并发起审批。当然流程定义模块还有导出激活等功能。

2.执行审批
1.功能列表
当设计完流程之后,就可以发起审批和进行审批了,用户拥有以下功能。

2.功能解释
驳回:将审批重置发送给某节点,重新审批。
转办:A转给其B审批,B审批后,进入下一节点。
委派:A转给其B审批,B审批后,转给A,A审批后进入下一节点。
3.查询流程实例与任务
根据上图可见,当发起审批后,就会生成流程实例了。流程实例和任务管理就可以查看到已经发起的审批了。
- 每一套审批信息生成一条流程实例信息。
- 一条流程实例有多个审批节点(流程图中已画),每一个审批节点是一条任务管理信息。
请注意流程定义和流程实例概念。
6.如何开发
flowable其实很简单,但是因为市面上的资料比较少,说明白的更加的少,所以该技术栈流通的比较困难。
flowable为我们提供了47张表和7个常用api。
1.提供的表
Flowable的所有数据库表都以ACT_开头。第二部分是说明表用途的两字符标示符。服务API的命名也大略符合这个规则。
-
- ACT_RE_*: 'RE’代表repository。带有这个前缀的表包含“静态”信息,例如流程定义与流程资源(图片、规则等)。
-
- ACT_RU_*: 'RU’代表runtime。这些表存储运行时信息,例如流程实例(process instance)、用户任务(user task)、变量(variable)、作业(job)等。Flowable只在流程实例运行中保存运行时数据,并在流程实例结束时删除记录。这样保证运行时表小和快。
-
- ACT_HI_*: 'HI’代表history。这些表存储历史数据,例如已完成的流程实例、变量、任务等。
-
- ACT_GE_*: 通用数据。在多处使用。
-
- ACT_ID_*: 表示组织信息,如用户,用户组,等等。(很少使用)
-
- FLW_*.未找到官方描述,且表中都为空。
1.ACT_GE_*
- ACT_GE_BYTEARRAY:保存流程的bpmn的xml以及流程的Image缩略图等信息
- ACT_GE_PROPERTY:Flowable相关的基本信息。比如各个module使用的版本信息。
2.ACT_RE_*
- ACT_RE_DEPLOYMENT: 部署对象,存储流程名称
- ACT_RE_MODEL:基于流程的模型信息
- ACT_RE_PROCDEF:流程定义表
3.ACT_RU_*
- ACT_RU_ACTINST:运行中实例的活动表
- ACT_RU_DEADLETTER_JOB:当JOB执行很多次都无法执行,就会被记录在此表
- ACT_RU_ENTITYLINK:还没使用到。后续更新此表。
- ACT_RU_EVENT_SUBSCR:运行时的事件
- ACT_RU_EXECUTION:运行的实例表
- ACT_RU_HISTORY_JOB; 运行中的定时任务历史表
- ACT_RU_IDENTITYLINK: 当前任务执行人的信息
- ACT_RU_JOB:运行中的异步任务
- ACT_RU_SUSPENDED_JOB:暂停的任务表。如果一个异步任务在运行中,被暂停。就会记录在词表
- ACT_RU_TASK:运行中的正常节点任务
- ACT_RU_TIMER_JOB:定时作业表
- ACT_RU_VARIABLE:运行中的流程实例变量
4.ACT_ID_*
- ACT_ID_BYTEARRAY:
- ACT_ID_GROUP:用户组信息
- ACT_ID_INFO:用户详情
- ACT_ID_MEMBERSHIP:用户组和用户的关系
- ACT_ID_PRIV:权限
- ACT_ID_PRIV_MAPPING:用户组和权限之间的关系
- ACT_ID_PROPERTY:用户或者用户组属性拓展表
- ACT_ID_TOKEN:登录相关日志
- ACT_ID_USER:用户
5.ACT_HI_*
- ACT_HI_ACTINST: 流程实例历史
- ACT_HI_ATTACHMENT:实例的历史附件,几乎不会使用,会加大数据库很大的一个loading
- ACT_HI_COMMENT:实例的历史备注
- ACT_HI_DETAIL:实例流程详细信息
- ACT_HI_IDENTITYLINK: 实例节点中,如果指定了目标人,产生的历史
- ACT_HI_PROCINST:流程实例历史
- ACT_HI_TASKINST:流程实例的任务历史
- ACT_HI_VARINST:流程实例的变量历史
6.FLW_*
- FLW_CHANNEL_DEFINITION: 泳池管道定义表
- FLW_EVENT_DEFINITION:事件定义
- FLW_EVENT_DEPLOYMENT:事件必输
- FLW_EVENT_RESOURCE:事件所需资源
- FLW_EV_DATABASECHANGELOG:Liquibase执行的记录
- FLW_EV_DATABASECHANGELOGLOCK:Liquibase执行锁
- FLW_RU_BATCH:暂时未知
- FLW_RU_BATCH_PART:暂时未知
2.提供的接口api
flowable提供了7个常见的api,这些api就对应着上文的所有逻辑,所以只要掌握这些api就可以完成审批业务的开发了。
1.FormService
表单数据的管理。
formService.getStartFormKey() 获取表单key formService.getRenderedStartForm()查询表单json(无数据) 复制代码
讯享网
2.RepositoryService
提供了在编辑和发布审批流程的api。主要是模型管理和流程定义的业务api。
讯享网1.提供了带条件的查询模型流程定义的api repositoryService.createXXXQuery() 例如: repositoryService.createModelQuery().list() 模型查询 repositoryService.createProcessDefinitionQuery().list() 流程定义查询 repositoryService.createXXXXQuery().XXXKey(XXX) (查询该key是否存在) 2.提供一大波模型与流程定义的通用方法 模型相关 repositoryService.getModel() (获取模型) repositoryService.saveModel() (保存模型) repositoryService.deleteModel() (删除模型) repositoryService.createDeployment().deploy(); (部署模型) repositoryService.getModelEditorSource() (获得模型JSON数据的UTF8字符串) repositoryService.getModelEditorSourceExtra() (获取PNG格式图像) 3.流程定义相关 repositoryService.getProcessDefinition(ProcessDefinitionId); 获取流程定义具体信息 repositoryService.activateProcessDefinitionById() 激活流程定义 repositoryService.suspendProcessDefinitionById() 挂起流程定义 repositoryService.deleteDeployment() 删除流程定义 repositoryService.getProcessDiagram()获取流程定义图片流 repositoryService.getResourceAsStream()获取流程定义xml流 repositoryService.getBpmnModel(pde.getId()) 获取bpmn对象(当前进行到的那个节点的流程图使用) 4.流程定义授权相关 repositoryService.getIdentityLinksForProcessDefinition() 流程定义授权列表 repositoryService.addCandidateStarterGroup()新增组流程授权 repositoryService.addCandidateStarterUser()新增用户流程授权 repositoryService.deleteCandidateStarterGroup() 删除组流程授权 repositoryService.deleteCandidateStarterUser() 删除用户流程授权 复制代码
3.RuntimeService
处理正在运行的流程。
runtimeService.createProcessInstanceBuilder().start() 发起流程 runtimeService.deleteProcessInstance() 删除正在运行的流程 runtimeService.suspendProcessInstanceById() 挂起流程定义 runtimeService.activateProcessInstanceById() 激活流程实例 runtimeService.getVariables(processInstanceId); 获取表单中填写的值 runtimeService.getActiveActivityIds(processInstanceId)获取以进行的流程图节点 (当前进行到的那个节点的流程图使用) runtimeService.createChangeActivityStateBuilder().moveExecutionsToSingleActivityId(executionIds, endId).changeState(); 终止流程 复制代码
4.HistoryService
在用户发起审批后,会生成流程实例。historyService为处理流程实例的api,但是其中包括了已经完成的和未完成的流程实例。
讯享网historyService.createHistoricProcessInstanceQuery().list() 查询流程实例列表(历史流程,包括未完成的) historyService.createHistoricProcessInstanceQuery().list().foreach().getValue() 可以获取历史中表单的信息 historyService.createHistoricProcessInstanceQuery().processInstanceId(processInstanceId).singleResult(); 根绝id查询流程实例 historyService.deleteHistoricProcessInstance() 删除历史流程 historyService.deleteHistoricTaskInstance(taskid); 删除任务实例 historyService.createHistoricActivityInstanceQuery().processInstanceId(processInstanceId).list() 流程实例节点列表 (当前进行到的那个节点的流程图使用) 复制代码
如果处理正在运行的流程实例,请使用runtimeService。
5.TaskService
对流程实例的各个节点的审批处理。
流转的节点审批 taskService.createTaskQuery().list() 待办任务列表 taskService.createTaskQuery().taskId(taskId).singleResult(); 待办任务详情 taskService.saveTask(task); 修改任务 taskService.setAssignee() 设置审批人 taskService.addComment() 设置审批备注 taskService.complete() 完成当前审批 taskService.getProcessInstanceComments(processInstanceId); 查看任务详情(也就是都经过哪些人的审批,意见是什么) taskService.delegateTask(taskId, delegater); 委派任务 taskService.claim(taskId, userId);认领任务 taskService.unclaim(taskId); 取消认领 taskService.complete(taskId, completeVariables); 完成任务 任务授权 taskService.addGroupIdentityLink()新增组任务授权 taskService.addUserIdentityLink() 新增人员任务授权 taskService.deleteGroupIdentityLink() 删除组任务授权 taskService.deleteUserIdentityLink() 删除人员任务授权 复制代码
6.ManagementService
主要是执行自定义命令。
讯享网managementService.executeCommand(new classA()) 执行classA的内部方法 复制代码
在自定义的方法中可以使用以下方法获取repositoryService。
ProcessEngineConfiguration processEngineConfiguration = CommandContextUtil.getProcessEngineConfiguration(commandContext); RepositoryService repositoryService = processEngineConfiguration.getRepositoryService(); 复制代码
也可以获取流程定义方法集合 。
讯享网ProcessEngineConfigurationImpl processEngineConfiguration = CommandContextUtil.getProcessEngineConfiguration(commandContext); ProcessDefinitionEntityManager processDefinitionEntityManager = processEngineConfiguration.getProcessDefinitionEntityManager(); 如findById/findLatestProcessDefinitionByKey/findLatestProcessDefinitionByKeyAndTenantId等。 复制代码
7.IdentityService
用于身份信息获取和保存,这里主要是获取身份信息。
identityService.createUserQuery().userId(userId).singleResult(); 获取审批用户的具体信息 identityService.createGroupQuery().groupId(groupId).singleResult(); 获取审批组的具体信息 复制代码
作者:小黄鸡1992
链接:https://juejin.cn/post/
来源:稀土掘金
著作权归作者所有。商业转载请联系作者获得授权,非商业转载请注明出处。

版权声明:本文内容由互联网用户自发贡献,该文观点仅代表作者本人。本站仅提供信息存储空间服务,不拥有所有权,不承担相关法律责任。如发现本站有涉嫌侵权/违法违规的内容,请联系我们,一经查实,本站将立刻删除。
如需转载请保留出处:https://51itzy.com/kjqy/29531.html