数据结构复习笔记:图的概念和操作
一,图
1.图的定义:
图G(Graph)由俩个集合V(Vertex)和E(Edge)组成,记为G=(V, E),其中V是顶点的有限集合,E是连接V中顶点的边的有限集合。通常,也将图中的顶点集记为V(G),边集记为E(G)。
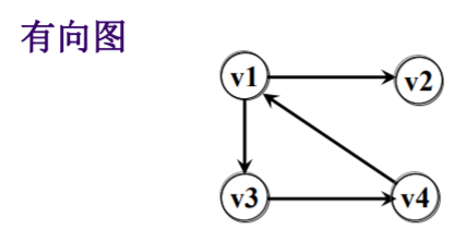
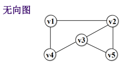
2.有向图和无向图:
如果E中的顶点对是有序的,即E中的每条边都是有方向的,则G称为有向图。如果顶点对是无序对,则称G为无向图。

讯享网

3.弧和边:
①弧的定义:若G = (V,E)是有向图,则它的一条有向边是由V中俩个顶点构成的有序对,也叫做弧,记为<u,v>,其中u是变得始点,又称为弧尾,v是边的终点,又称为弧头。
②边的定义:若G为无向图,则图中的边记为(u,v).因为(u,v)是无序对,所以(u,v)和(v,u)代表同一条边。
4.简单图和多重图:
E是边的集合,一般图中不会出现重复的边,重复的边简称重边。若一条边的俩个顶点相同,则此边称作自环。无重边和自环的图称为简单图,否则为多重图。
5.度:
无向图:对于无向图G,v∈V(G),E(G)中以v为端点的边的个数,称为顶点的度。
有向图:对于有向图G,v的出度是以v为始点的边的个数,v的入度是以v为终点的边的个数。顶点的度等于入度加出度。
6.连通:
设G是图,若存在一条从顶点 v i v_i vi到 v j v_j vj的路径,则称 v i v_i vi和 v j v_j vj是连通的(可及的)。
若G是无向图,且V(G)中任意俩顶点都连通,则称G为连通图。
若G是有向图,且V(G)中任意俩个顶点 v i v_i vi和 v j v_j vj, v i v_i vi和 v j v_j vj以及 v j v_j vj和 v i v_i vi均连通,则称G为强连通图。
若G是有向图,且V(G)中任意俩个顶点 v i v_i vi和 v j v_j vj可及或 v j v_j vj和 v i v_i vi可及,则称G为弱连通图。
7.子图:
设G,H是图,如果V(H) ⊆ \subseteq ⊆V(G),E(H) ⊆ \subseteq ⊆E(G),则称H是G的子图,G是H的母图。
如果H是G的子图,并且V(H)=V(G),则称H为G的支撑子图(生成子图)。
8.连通分支:
图G=(V,E)是无向图,若G的子图 G k G_k Gk是一个连通图,则称 G k G_k Gk为G的连通子图。
图G=(V,E)是有向图,若G的子图 G k G_k Gk是一个强连通图,则称 G k G_k Gk为G的强连通子图。
(呼。。。没想到概念这么多)
二.图的存储
邻接矩阵:
对于有权图, a i j a_{ij} aij为对应边< V i V_i Vi, V j V_j Vj>或( V i V_i Vi, V j V_j Vj)的权值, a i i a_{ii} aii = 0, a i j a_{ij} aij= ∞ \infty ∞, 当i != j 且( V i V_i Vi, V j V_j Vj)不存在时。
优点:借助邻接矩阵,很容易求出图中顶点的度。无向图的邻接矩阵可压缩存储。所需空间为n(n+1)/2;有向图为 n 2 n^2 n2。
邻接表:
①实现:1.定长数组A[n][d];
2.可变长数组vector;
3.邻接链表;
②邻接链表:
typedef struct Edge{
int VerAdj; //邻接顶点序号; int cost; //权值; Edge* link = nullptr; //指向下一个边结点的指针; }; struct Vertex{
int VerName; Edge* adjacent = nullptr; };
讯享网
注意:对于有向图,只存一条边即可,但对于无向图,需要存双向边。


三.图的遍历
深度优先搜索(Depth First Search, DFS):
方法:从某一顶点出发v,访问它的任意邻接顶点v’,再重复上述步骤,访问未被访问过的节点。
1.递归版:
讯享网void DFS(int v) {
visit[v] = 1; for(p = V[v]->adjacent; p; p = p->link) {
if(visit[p->VerAdj] != 1) DFS(p->VerAdj); } }
2.迭代版:
void NRDFS(int v) {
stack <int> s; s.push(v); visit[v] = 1; //初始化为0 while(!s.empty()) {
int v = s.top(); s.pop(); Edge *p; for(p = V[v]->adjacent; p; p = p->link) {
if(visit[p->VerAdj] == 0) {
s.push(p->VerAdj); visit[p->VerAdj] = 1; } } } }
广度优先搜索(Breadth First Search, BFS):
方法:访问初始点 V 0 V_0 V0,之后依次访问 V 1 V_1 V1, V 2 V_2 V2, V 3 V_3 V3…,然后再访问与 V 1 V_1 V1, V 2 V_2 V2, V 3 _V3 V3…邻接的尚未访问的全部节点,再从这些访问过的节点出发,访问邻接的未访问的全部节点。
讯享网void BFS(int v) {
//initial for(int i = 1; i <= n; i++) visit[i] = 0; queue <int> Q; Q.push(v); visit[v] = 1; //sign array //BFS while(!Q.empty()) {
v = Q.front(); cout << v; Edge* p; for(p = V[v].adjacent; p; p = p->link) {
if(!visit[p->Veradj]) {
Q.push(p->Veradj); visit[p->Veradj] = 1; } } } }
版权声明:本文内容由互联网用户自发贡献,该文观点仅代表作者本人。本站仅提供信息存储空间服务,不拥有所有权,不承担相关法律责任。如发现本站有涉嫌侵权/违法违规的内容,请联系我们,一经查实,本站将立刻删除。
如需转载请保留出处:https://51itzy.com/kjqy/29060.html