1、何为命题
判断结果唯一的陈述句
(1)真命题:判断结果为真的命题
(2)假命题:判断结果为假的命题
(3)悖论:自相矛盾的语句
例如:我正在说的这句话是谎言
那么如何判断命题呢?
(1)首先看是否是陈述句。祈使句,反问句,感叹句…都不是命题
(2)看真值是否唯一
例:x>1不是命题
明天是晴天是命题:陈述句,结果唯一:要么是晴天要么是雨天
2、何为简单命题(原子命题)
就是句子不能再分解了
命题符号化:将命题用符号表示,p,q,r等
命题常项(命题常元):真值确定的陈述句
命题变项(命题变元):真值可以变化的陈述句 例:x>2 x赋值不同结果不同,其不是命题
复合命题:简单命题用联结词联结而成的命题
3、什么是连接词
(1)¬:否定联结词 翻译:不是,非
(2)∧:合取联结词 翻译:既…又…,不仅…而且…,虽然…但是…
(3)∨:析取联结词 翻译:或
1)相容性或:可以同时发送
2)排斥或: 不能同时发送
例: 我要么吃饭要么睡觉 pVq 排斥或但两者不能同时发生
选小王和小明一个当班长(¬p∧q)∨(p∧¬q)
(4)蕴含联结词:以下都是p->q

讯享网
(5)<–>:等价联结词:翻译:当且仅当

4.(1)命题公式(合式公式):
由有限个命题和联结词组成的正确表示 例:pVq正确 pq不正确
(2)n层命题公式:


5.赋值(解释)
给命题公式的命题变项赋值,结果成真为成真赋值,否则为成假赋值 例pVq 11为真 00为假。
赋值个数:n个命题变项共有2^n个赋值
6.(1)重言式(永真式):任何赋值结果都为真
(2)矛盾式(永假式):任何赋值结果都为假
(3)可满足式:至少存在一组成真赋值
真值表:


7.(1)n元真值函数(真值表):一个n(n≥1)阶笛卡儿积{0,1}”到{0,1}的函数称为一个n元真值函数F记为
F: {0,1}"→{0,1 }
(2)n个命题变项有2n个赋值,有22^n 个真值函数(真值表)
例p q有四种赋值,可以写出16种结果不同的真值函数

8.命题A和命题B等值:
等价式A↔B是重言式,即两者赋值结果都相同,A<=>B
判断是否等值:
(1)用真值表对比判断
(2)等值演算
等值演算的公式:


用途:等值演算
1)验证等值式是否相等

(2)判断公式的类型

10.(1)析取范式:仅由有限个简单合取式构成的析取式
(2)合取范式:仅由有限个简单析取式构成的合取式
(3)范式存在定理:任一命题公式都存在与之等值的析取范式和合取范式.且不唯一
11.(1)极小项:在简单合取式中每个命题变项与其否定只出现一次,n个命题变项产生2^n极小项(合取,成真赋值)
(2)极大项:在简单析取式中每个命题变项与其否定只出现一次,n个命题变项产生2^n极大项(析取,成假赋值)
极小项的相反数是成极大项
n个命题变项的命题公式中含有2的n次方的极小项或极大项
12.(1)主析取范式:公式A的析取范式中的简单合取式全是极小项且唯一
(2)主合取范式:公式A的合取范式中的简单析取式全是极大项且唯一
(3)如何求主析取范式
a.先求析取范式
b.再求主析取范式
c.真值表 找成真赋值


(4)主析取范式用途:
(1)判断两命题公式是否等值
若两命题等值则其主析取式必相同

(2)判断命题公式的类型
若A为重言式,当且仅当其主析取式中含全部极小项(因为极小项是成真赋值)
若A为矛盾式,当且仅当其主析取式中不含任何极小项
若A为满足式式,当且仅当其主析取式中至少含一个极小项

(3)求命题成真赋值和成假赋值
一个极小项就是一个成真赋值
对极小项取反就是极大项
13.全功能集:设S是一个联结词集合,如果任一真值函数都可以用仅含S中的联结词的命题公式表示
基本全功能集:{¬,∧,∨}、{¬,∧}、{¬,∨}、{¬,→}、
14.(1)p↑q:与非式 等价于¬(p∧q) 称作"p与q的否定"
(2)p↓q:或非式:等价于¬(p∨q) 称作"p或q的否定"
(3){↑},{↓}是全功能集

15.组合电路:由电子元件物理实现逻辑运算,形成命题公式

16.推理理论
什么是推理?
推理是从前提退出结论的思维过程。
前提是指已知的命题公式
结论是从前提出去利用一些推理规则退出的命题公式
若(A1,A2…Ak)→B为重言式,则称A1,A2 ,…,Ak推出结论B的推理正确,B是A1 ,A2 ,…,Ak的逻辑结论或有效结论.称(A1,A2…Ak)→B为由前提A1,A2,…,Ak推出结论B的推理的形式结构.
例:如果天气凉快,小王就不去游泳.天气凉快.所以小王没去游泳.
用真值表法

用等值演算法

判断一个推理是否正确主要是看其蕴含式是否是重言式
可以用:
1)真值表法
2)等值演算法
3)主析取范式发
来判断
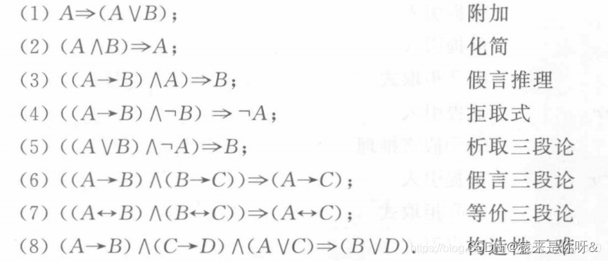
16.(1)推理定律
以下的推理定理都是在前提和结论都为真的前提下成立的


(2)推理解题方法:
1)直接求:通过已知前提,判断结论是否成立

2)附加前提:若结论为蕴含式,其箭头左边可作为前提,判断箭头右边为结论
则可把结论的前件放到前提中,再证明这个公式为重言式即可

3)归谬法:假设结论为假,作为前提,判断结果是否矛盾

其他:当为重言式时,主析取范式和主合取范式结果都为1
第一章常见题型
1.判断是否是命题,简单命题,复合命题,真假命题
2.判断命题是否是重言式或矛盾式:真值表法,等值演算
3.化主合取范式和主析取范式
4.推理,已知前提,求结论:推理公式
5.全功能集转换
6.知命题变量真值,求构成的命题真值
版权声明:本文内容由互联网用户自发贡献,该文观点仅代表作者本人。本站仅提供信息存储空间服务,不拥有所有权,不承担相关法律责任。如发现本站有涉嫌侵权/违法违规的内容,请联系我们,一经查实,本站将立刻删除。
如需转载请保留出处:https://51itzy.com/kjqy/25654.html