3 转速环开环传函及其特性
转速环的传递函数框图中各个环节来源,在前两个文章已经详细说明。接下来就应该对转速环的开环传递函数特性进行分析,及其整定策略进行详细的探究了。
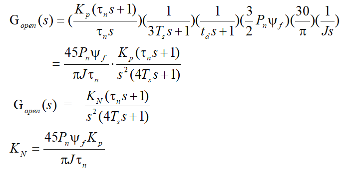
以上为转速环的传函框图,经过计算可得开环传递函数为(电流环等效于1/3Ts*s+1),转速环的传递函数是一个典型二型系统,对于典型二型系统,要想保证系统性能,仍然是保证中频带的斜率为-20db,中频带宽也需要满足系统稳定性、准确性和快速性要求。为了能够更加具体分析一个典型二型系统具体的性能,则需要对其幅频和相频特性进行分析。我想大家对于自动控制原理这门课肯定不陌生,幅频和相频分析能够准确的给出一个系统性能指标,因为我们从胡寿松这本自动控制原理教材为基础,一点一点对转速环的性能进行分析。
对转速环的开环传函进行推导,其过程如下,注意下图第一项就是 PI调节器的传递函数。

注意:我们求 PI 的思路,就是先把一个响应效果符合预期效果的 KN 和 taoN 计算出来,再反过来推算PI 调节器的 Kp 和 Ki
4 三阶传函的幅频相频图(转速环也是三阶)
在得到转速环的开环传递函数之后,根据前文系列自动控制原理文章中对于二阶系统的开环特性分析,我们也应对转速环进行开环分析。那么对于转速环而言,其分析思路与他类似。转速环是一个三阶系统,根据上节推导出来的转速环开环传递函数Gopen,可以得到转速环的开环系统框图。系统框图如下图所示:

对于这个地方的分析,我们仍然按照二阶系统的方式分析。有以下几个特点:
1、有两个纯积分环节,幅频特性初始斜率为-40dB,初始相位角度为-180°。
2、转折频率分为1/0.00004 = 25000rad/s、1/taon。
设开环增益为1,taon为0.01。因此可以得到其相幅特性曲线,如下图所示。这里解释一下,两个转折频率有所不同,第一个转折频率是微分环节的转折频率100rad/s,第二个转折频率为惯性环节的转折频率25000rad/s,微分环节会导致幅频特性的曲线斜率减小,相频幅值上升,所以会在图中出现相频曲线凹凸的地方,而这个凹凸的范围就是所谓的中频带宽。第一个红点左侧是低频带,两个红点中间是中频带,第二个红点右侧是高频带。

在自动控制系统里面,有两个非常关键的结论:中频带宽决定了系统的响应速度,而截止频率的相位裕度决定了系统的稳定性。那么对于电机控制系统而言,设计参数的过程就是对这两个指标进行优化。下面就对具体的电机转速环的参数进行设计。
5 转速环具体参数设计
中频带宽和截止频率的相位裕度是我们转速环设计的指标。截止频率处的相位裕度比较好确定,至少为45°,且越大越好。那么转速环一般需要多大的带宽呢?这个我认为是根据采样频率定的,比如采样时间为0.00001s,那么惯性环节的转折频率就是1/0.00004=25000。而lg25000 = 4.39。考虑到低频带宽也需要至少为1.5的宽度,那么我们的转速环带宽就可以设计为2.5即可。lg25000 - lg x = 2.5。经过计算,微分环节的转折频率 x = 80,那么taon = 1/80 = 0.0125。如果采样频率更高的话,可以相应的把中频带宽设计得更宽一些,这个就看我们的系统了,其计算方法是一致的。

第一步:设计中频带宽,计算taon。
其计算公式如下所示:

那么在确定了taon之后,中频带宽也就确定了
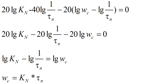
第二步:设计相位裕度,计算开环增益。这个计算开环增益,我们要取个巧,因为我们知道相频曲线的最高点,肯定是相位裕度最大的点。并且这个点也是两个转折频率的中点,如果我们将截止频率恰好设计到两个转折频率的中点,就能保证相位裕度为最大值。
比如我们刚刚说的第二个转折频率 lg25000 = 4.39(4.4),而第一个转折频率为 lg80 = 1.9。那么中点的位置就是 1.9+2.5/2=3.15。

那wc和KN又有什么关系呢?这里我直接给出来吧。

最终得到关系式:


![]()
根据 KN 、 taon 和 转速环PI调节器 Kp 和 Ki 之间的关系可得(补充一下:因为我的系统近似是4Ts,这里将4Ts看作一个量Tsm,其实也有时候不一定是 4Ts):

6 转速环反馈效果
根据带宽h,Ts还有电机参数,算出来的参数带入系统中看看效果。在0.1秒施加额定转矩,可以看到转速效果较好的跟随。幅频特性也整定到了我们需要的效果了。

小结:
从上面的分析,我们再来个回溯,从调节PI调节器的过程中Kp 和 Ki 的变化回溯到幅频曲线性能。毕竟我们调试的时候调试的是Kp 和 Ki ,就再探究一步,探究到底,看看我们调试过程中对Kp和Ki的修改到底对系统造成了什么影响。
第一步:拆解PI调节器

第二步:分析变化
- 增大 KN ==> 幅频曲线向上移动,截止频率 wc 增大
- 增大 taoN ==> 1/taoN 减小 ==> 转折频率左移 ==> 中频带宽变宽
- 减小 KN ==> 幅频曲线向下移动,截止频率 wc 减小
- 减小 taoN ==> 1/taoN 增大 ==> 第一个转折频率右移 ==> 中频带宽变窄
不同 KN taoN 系统的幅频相频特性曲线图,从图中可以看出符合上述结论。
观察 KN = 1e5 taoN = 0.0126 和 KN = 1e6 taoN = 0.0126 KN的仿真结果,可知增大会使得幅频曲线上移,截止频率 wc(幅频曲线与0轴的交点)变大,但是相频曲线不变化,从而也导致了截止频率处的相位裕度不再是最优点90°,减小了约30°。
观察 KN = 1e6 taoN = 0.0126 和 KN = 1e6 taoN = 0.00126 KN的仿真结果,可知增大 taoN,会使得第一个转折频率左移,幅频曲线转折点提前,因此相对于 KN = 1e6 taoN = 0.0126 的截止频率更小,在 taoN = 0.00126 时截止频率 wc 更小,相频曲线变化明显,中频带变窄,系统相位裕度整体降低。

第三步:推导 KN、taoN 与 Kp 、Ki 的关系
从上面的传递函数分析我们可以发现一个关键问题,KN和taoN同时决定了系统的性能,调节Kp和Ki会相应引起这个两个参数的变化。所以大家看,这就是为什么要进行那么多文章的分析,且非要对KN和taoN抓着不放,因为KN和taoN这两个变量能够单独决定系统的单一某个性能,但是Kp 和 Ki不行,我们如果把这个KN 和 taoN分析透彻了,那Kp 和 Ki是不是都解决了。
经过推导,KN 、taoN 和 Kp Ki关系如下:

通过对上式进行分析,可得到以下结论:
- 增大 Kp 不变Ki ==> taoN 增大,KN不变==> 1/taoN 减小 ==> 第一个转折频率左移(第一个转折频率由 1/taoN 决定) ==> 中频带宽变宽,同时导致截止频率 wc 增大(原因:斜率为 -40dB 的持续时间变短)
- 减小 Kp 不变Ki ==> taoN 减小,KN不变 ==> 1/taoN 增大 ==> 第一个转折频率右移(第一个转折频率由 1/taoN 决定) ==> 中频带宽变窄,同时导致截止频率 wc 减小(原因:斜率为 -40dB 的持续时间变长)
- 增大 Ki 不变Kp ==> taoN减小,KN 增大 ==> 幅频向上移动,第一个转折频率右移 ==> 中频带宽变窄,截止频率的变化决定于增大幅度
- 减小 Ki 不变Kp ==> taoN增大,KN 减小 ==> 幅频向下移动,截止频率 wc 减小 ==> 中频带宽变宽,截止频率的变化决定于减小幅度
第四步:实验改变 Kp 、Ki 的对幅频特性相频特性影响。
今天先分析到这里,明天把具体调节Kp和 Ki的过程中幅频曲线变化的情况,以及阶跃响应的结果,这将更为直接的对Kp和 Ki 对系统的影响进行分析。留个底留个底。
(1) Kp =0.4,Ki = 31时,幅频相频曲线如下图所示,这是我整定过的,从图中可以看出截止频率 wc 处具有最大的相位裕度,此时中频带宽为 2.5 。

(2)增大Kp,Ki不变仿真, Kp =4,Ki = 31时,前后幅频曲线对比如下图所示,相对于Kp =0.4,Ki = 31 第一个转折频率左移,中频带宽增大,截止频率 wc 变大,但截止频率处的相位裕度降低了约20°。由于截止频率相位裕度降低,系统稳定性降低,由于中频带宽增大,快速性更好,但可能出现小幅震荡或超调,因为对低频噪声的滤除不够了。减小Kp 效果与此相反,分析过程与此类似。

(3)增大Ki,Kp不变仿真, Kp =0.4,Ki = 3.1时,前后幅频曲线对比如下图蓝线所示,相对于Kp =0.4,Ki = 31(蓝色线), 第一个转折频率左移,中频带宽增大,转折频率 wc 变化较小,但截止频率处的相位裕度有10°左右提升。由于截止频率相位裕度升高,系统稳定性编号,由于中频带宽增大,快速性更好,但可能出现小幅震荡或超调,因为对低频噪声的滤除不够了。增大 效果与此相反,分析过程与此类似,Kp =0.4,Ki = 310曲线如图中红线所示。

第五步:有针对的修改Kp和Ki
上述 Kp 和 Ki 单独修改时,都会造成系统截止频率、中频带宽、相位裕度的变化,没有一个单一变量点对点的效果,但是真正决定系统性能的就是 中频带宽、截止频率和相位裕度,那么我们就针对这三个指标来调PI。
首先随便给个系统,由于第二个转折频率我们是可以直接知道的,因为系统的采样频率知道,为0.00001秒,将电流环近似为一阶惯性环节 1/4*0.00001s+1 ,那么截止频率是 1/0.00004=25,000.0
lg25000 = 4.39
带宽设置为 2.39,那么第一次转折频率为 lg wz = 2,wz = 100,而
wz = 1/taoN

taoN = 0.01 = Kp/Ki
设置一个初值 Kp = 1 Ki = 100 ,在这个基础上开始调。现象如下图所示,稳态时跟现象一:跟随性能无静态误差,说明幅频特性较好,加载抗扰动性能也较好,但存在震荡,推测可能是截止频率太高了,并且稳态裕度最高点不在截止频率处。
那么降低截止频率试试,方法降低 KN,不更改 taoN,那么Ki 降低,并且 Kp同步降低,降低三倍吧。

更改后现象:Kp = 0.3 Ki = 30

可以看到这个震荡波动明显减小,并且稳态跟随特性得到保持
但是存在明显的超调量,考虑还是因为截止频率太高了,再次降低 KN,不更改 taoN,
更改后现象,Kp = 0.1 Ki = 10

从图中可以看出,虽然系统的震荡减小了,但是动态响应的性能下降了,首先是调节时间,其次是扰动后的恢复时间,因此考虑此时的截止频率太低了。增大一下:
Kp = 0.2 Ki = 20

此时的系统性能已经可以了,但是超调为20%,且调节时间较长,
试着缩小带宽,即
wz = lg(1/taoN)
taoN = 0.01 = Kp/Ki
减小taoN的大小,增大wz的大小,
有两个措施,第一个减小P,第二个增大 i,

如果减小 P,那么KN不会变化,
由于第一个转折频率向右推移,因此 截止频率减小,看看效果。
Kp = 0.1 Ki = 20
小幅震荡的效果消失了,调节时间缩短,且扰动的调节时间缩短了。

如果增大 I ,那么KN变大,
由于第一个转折频率向右推移,因此 截止频率减小,看看效果。
Kp = 0.2 Ki = 40
小幅震荡的结果未消失,调节时间缩短,且扰动的调节时间缩短了

震荡的存在,考虑还是因为开环增益大了,那么选择折中的方案,同时减小Kp ,减小Ki
Kp = 0.15, Ki = 30
如果追求响应速度,考虑两种情况,相位裕度最高点在当前截止频率左侧,那么应该单独降低截止频率,同时缩小Kp 和 Ki
Kp = 0.1 ki = 20

效果变差,那么试试增大截止频率
对比Kp = 0.15 Ki = 30
那么最优值应该处于两者中间。
kp = 0.125 Ki =25

最后这个结果就调出来了。
小结:
PI的调节有时候在传递函数知道的时候,可以根据前文所述的公式进行直接计算,但是在实际控制系统中的,大部分时候我们是不知道这个具体的传递函数的,只知道一个采样率什么的,那么这个时候就需要根据自己的经验去试凑,往往有经验的工程师很快能找到最优值,但是对于我们这种调得少的,那就有点困难。如果能够结合幅频相频特性曲线,结合截止频率、带宽、相位裕度三个指标去有方向的调节PI,这能够大大节省我们的时间,总的来说,这个从电机传函、到bode图、在回溯到PI这里来,这一系列文章也让我学到了不少的东西,对自动控制原理的理解也更加深刻了,对于系统的各种指标也有了不一样的理解,这样的探究很细也很枯燥,但是我觉得这是很有意义的,最后仿真结果符合理论推导,更是让我感受到了甜头,继续下去!生活也不一定要锦衣玉食,但是一定要有学有所得的感觉。
整理不易,希望大家帮忙点个赞呀~谢谢啦~^_^
参数整定以及自动控制原理系列文章:
永磁同步电机矢量控制到无速度传感器控制学习教程(PMSM)(一)
如何用matlab画bode图——自动控制原理基础补充(一)
一阶惯性环节的性能分析——自动控制原理基础补充(二)
二阶系统的性能分析(开环相幅和阶跃响应)——自动控制原理基础补充(三)
转速环PI参数整定详解(一)——电机传递函数的来源
转速环PI参数整定详解(二)——转速环各个环节传递函数的来源
转速环PI参数整定详解(三)——转速环开环传函特性及其整定策略

版权声明:本文内容由互联网用户自发贡献,该文观点仅代表作者本人。本站仅提供信息存储空间服务,不拥有所有权,不承担相关法律责任。如发现本站有涉嫌侵权/违法违规的内容,请联系我们,一经查实,本站将立刻删除。
如需转载请保留出处:https://51itzy.com/kjqy/25495.html