ml入门(一)powered by @李宏毅

第一课(机器学习总览)
ml基本步骤
1 找出一个function set
2 让maching拥有衡量一个function好坏的能力
loss function L:
input: a function output: how bad it is
for example: square error

3 使用一个好的演算法挑出最好的那个function
find a function with min loss
f* = argmin L(f)
ml category
supervised learning // learning from teacher
1 regression
the output of the target function f is ‘scalar’
2 classification
binary classification
the output of the target function f is ‘Yes or No’
multi-class classification
the output of the target function f is one of the ‘class1, class2, … classN’
structured learning
the output of the target function f is a structural output
semi-supervised learning
transfer learning
unsupervised learning
reinforcement learning // learning from critics
第二课(regression)
gradient descent
1 for example
linear model y = w*x + b; w为权值,b为偏差, 目标是利用梯度下降求得**参数w和b; // ps: 所谓线性模型是指,函数的参数对于输出来说是否为线性; w*, b* = argmin L(w, b) # consider loss function L(w, b) with two parameter w, b: first: (Randomly) pick an initial value w0, b0 second: 分别为w,b在w=w0,b=b0的下求偏导 third: if the value is negative w1 = w0-r(@L/@w|w=w0,b=b0), b1 = b0-r(@L/@b|w=w0,b=b0)其中r称为学习比率(@暂且代表求偏导符号) four: loop second to third five: get average error 每个点到所求出的损失函数的距离之和的平均值 last: get best w, b // ps: 此处的best不一定代表的为global min, 有可能在某一点偏导数都为0但却不是global min。
讯享网
2 learning rate
rate太大loss可能会快速增大,rate太小可能收敛速度很慢
rate选取的解决办法
1 使用动态rate,每一次迭代都根据固定公式减小rate, 因为越到后面rate应该越小,精确度才会更高
2 不同的参数给予不同的learning rate
计算rate的方法
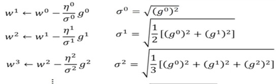
1 adagrad .
每次计算所有example的loss, 之后更新参数



3 stochastic gradient descent
每次只考虑一个example,算完一个example的loss就更新一次参数

4 feature scaling
由于各个特征的输入值不同,单位不同,导致每个特征参数的改变对loss的影响都不同,所以需要
将输入值进行标准化,使得所有特征参数的改变对loss的影响相同或者相差不大。
5 overfitting(过拟合) // 在train_data上的效果好,但是在test_data上效果很差
ps: overfitting是由于variance过大造成的,bias过大造成underfitting
6 regularization(目的在于寻找更加平滑的函数,防止过拟合)
通常做法为在损失函数后加上一项约束项,权重的绝对值大小就会整体倾向于减小,尤其是不会出现特别大的值

第三课(error)
训练之后的使用L()求出error来自于biase和variance,知道错误的来源往往可以准确地improve model
ps: model越复杂biase越小,variance越大。model越简单biase越大,variance越小
如何确定error来源
1 如果模型不能fit训练数据,代表bias大
可能需要去重新设计model(考虑更多的feature或者让model更加复杂)

2 如果模型较好地fit了训练数据,但是在测试数据上错误很大,代表variance很大
1 可以加大训练数据量(非常有效但是并不是每一次都有用)
2 regularization

第四课(classification)
贝叶斯分类
利用先验概率和联合概率分布求出后验概率(即每次输入数据在各个分类下的概率,概率最大的即为当前预测分类)

1 每一个类别拥有自己的协方差
在高斯分布(假设)下计算条件概率p(A|B)



2 共用一个协方差


3 sigmoid函数变换过程
sigmoid函数详解 https://blog.csdn.net/chinagreenwall/article/details/


第五课(logistic regression)
交叉熵
概念详解 https://blog.csdn.net/tsyccnh/article/details/
判别式模型与生成式模型
判别式模型(Discriminative Model)是直接对条件概率p(y|x;θ)建模。常见的判别式模型有 线性回归模型、线性判别分析、支持向量机SVM、神经网络等。
生成式模型(Generative Model)则会对x和y的联合分布p(x,y)建模,然后通过贝叶斯公式来求得p(yi|x),然后选取使得p(yi|x)最大的yi
multi-class classification


ps: softmax // 将多分类的输出数值转化为相对概率
概念 https://blog.csdn.net/red_stone1/article/details/
limitation of logistic regression // 无法对线性不可分数据进行分类
讯享网// 异或问题 example [0, 1], [1, 0]为class1 [1, 1], [0. 0]为class2 // 在二维平面上是无法利用直线将不同的类别划分的
ps: 可以使用feature transformation解决此类问题,即利用神经网络!!!
版权声明:本文内容由互联网用户自发贡献,该文观点仅代表作者本人。本站仅提供信息存储空间服务,不拥有所有权,不承担相关法律责任。如发现本站有涉嫌侵权/违法违规的内容,请联系我们,一经查实,本站将立刻删除。
如需转载请保留出处:https://51itzy.com/kjqy/22204.html