1 定义
2 分类
根据电感L和电容C连接方式的不同可以将谐振电路分为两种,即由电感L和电容C串联组成的谐振电路称为串联谐振电路;由电感L和电容C并联组成的谐振电路称为并联谐振电路。
两种谐振电路所产生的影响有很大的不同。虽然两种电路中,端口总电压和总电流都是同相位,但是,流过电感和电容的电流、电感和电容两端的电压在不同的连接方式下有着很大的区别。
3 串联谐振(又叫电压谐振)
在电阻、电感及电容串联所组成的交流电路内,当容抗XC与感抗XL相等时,即XC=XL,电路中的端口总电压u与总电流i的相位相同,电路呈现电阻性,这种现象叫串联谐振。

3.1 电路发生谐振的方法
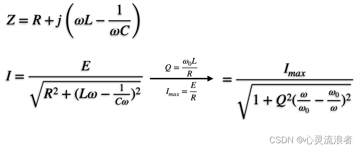
从谐振频率的公式,我们可以知道,要让电路发生谐振,有两种方式
(1)当电源频率f一定时,可以调节L、C参数,使得f0等于f;
(2)当电路参数L、C一定时,调节电源频率f,使得f=f0;
3.2 串联谐振的特性
阻抗为最小值、电路电流最大、相位角为0 ;
电阻电压等于电源电压,电感和电容电压相等,方向相反;
==> 无功功率为0, 有功功率达到最大值,能量传递效率最大

若使电路始终处于串联谐振状态,随着电感电压的增大,电容电压也会随之增大,且有可能大于端口总电压;当感抗等于容抗且远大于电阻时,即XC=XL>>R时,电感电压和电容电压将远大于电源电压,即UL=UC>>UR,这是一种危害,可能会击穿线圈或电容的绝缘。
==> 在无线充电线路中,我们需要用双向钳位电路来提供过压保护
3.3 品质因素 Q
在工程上,把电路谐振时的感抗XL和容抗XC称为电路的特征阻抗。此时,理想串联RLC电路的品质因数就定义为特征阻抗与电路的总电阻R之比,用符号Q表示。

此时,品质因数为电感电压(或电容电压)与端口总电压的比值,也就是说,串联谐振时,电感电压与电容电压相互抵消,但其本身不为零,而是电源电压的Q倍,所以,串联谐振又称为电压谐振
3.4 串联谐振的谐振曲线
谐振曲线:是在一个含电感或电容的动态电路中,电路中的电学量(电流、电导、磁链、电压、电荷量等)随频率(角频率)变化的曲线。
(1)公式如下:

(2)串联谐振的通用谐振曲线
当
时,I = Imax ;
当
或
时,I < Imax;
当
为定值时,Q值越大,电流I越小

当电源频率固定且为谐振频率时,品质因数也会随着电阻的变小而增大,反之,电阻越大,品质因数越小;电阻越小,谐振电流越大;
==>无线充电测试时,如果发现Q值小于下限值,可能是回路中Rsys增大

(2)回路选择性
电路具有选择最接近谐振频率附近的电流的能力称为选择性。这句话可以这样理解,因为越接近谐振频率附近,电路中的电流就会越大,若作为信号而言,那么它也就越容易被接收到。
而且,Q值越大,即感抗(或容抗)与电阻的比值越大,如下图中的电阻变小、电容变小或电感增大都可以使Q值变大,电流随频率变化的关系曲线也就会越尖锐,电路对非谐振频率的电流的抑制能力越强,电路的选择性越好。
简单来说,就像信号的传输,当干扰信号和所需信号频率比较接近,那么它们在RLC串联谐振电路中所产生的电流也会相近,此时,对于接受装置来说,如果Q值较小,通频带宽度较大,就不能很好地区分所需信号和干扰信号,也就是说,电路的选择性不够理想。

(3)通频带BW(Band Width)
通频带的宽度反比于回路的品质因数。品质因数越大,通频带越窄,回路的选择性越好。
20lgI/Io = 20lg0.707 = -3dB,所以称w1和w2为3分贝频。 

4 并联谐振(反谐振电路,或电流谐振)
4.1 纯电感和纯电容的并联

电感和电容的并联电路中,感抗小于容抗时,那么流过电感支路的电流就大于流过电容支路的电流,如图(1)所示,可以得到总电流滞后端口电压90°,此时电路呈感性;
而当感抗大于容抗时,那么流过电感支路的电流就小于流过电容支路的电流,如图(2)所示,可以得到总电流超前端口电压90°,此时电路呈容性。
当感抗等于容抗时,流过电感支路的电流就等于流过电容支路的电流,且两支路电流方向相反,如图(3)所示,此时总电流恰好为0(也可以说是与电压相量同相位),电路处于并联谐振状态。

==> 类似于串联谐振时端口总电压等于电阻两端的电压,而电感和电容两端的电压却不为零,并联谐振时虽然总电流为零,但是,流过电感和电容两端的电流并不为零。
4.2 电阻、电感和电容分别并联

与LC并联电路相类似,结合向量图,以端口电压为参考相量,电阻、电感和电容并联,三者的电压相等,当感抗小于容抗时,那么流过电感支路的电流就大于流过电容支路的电流,如图(1)所示,可以得到总电流滞后端口电压,此时电路呈感性;
而当感抗大于容抗时,那么流过电感支路的电流就小于流过电容支路的电流,如图(2)所示,可以得到总电流超前端口电压,此时电路呈容性;
当感抗等于容抗时,流过电感支路的电流就等于流过电容支路的电流,且两支路电流方向相反,如图(3)所示,此时总电流恰好为流过电阻的电流,与电压同相位,电路处于并联谐振状态。
==> 该谐振频率的表达式与LC并联电路的谐振频率表达式、串联谐振时的频率表达式都是一样的。同理,虽然并联谐振时虽然总电流等于电阻支路的电流,但是,流过电感和电容两端的电流并不为零。
4.3 电感线圈(用R和L串联组合)和电容并联

实际中线圈的电阻很小,往往忽略不计,而在谐振时感抗远大于电阻,即ω0L>>R,根据这一条件,简化图中的阻抗表达式,可以得到谐振的近似条件,如下图所示。

4.4 并联谐振总结
(1)端口电压与总电流同相位。
(2)谐振频率的表达式与串联谐振时一样。
(3)纯电感与纯电容并联谐振时总电流为0,等价于电路总阻抗Z有最大值,为无穷大,即Zmax=∞。
(4)电感线圈和电容并联谐振时(满足ω0L>>R)总阻抗有最大值(图35-12中并联总阻抗表达式中分母有最小值),即|Z0|=L/RC,电路呈电阻性。
(5)当电源电压恒定时,总电流最小;当为恒流源供电时,电路的端电压最大,这是因为此时总阻抗为最大值,U =IS|Z0|。
(6)支路电流为总电流的Q倍。

补充:
并联并联谐振的参数计算公式(模型 R、L、C并联):





并联谐振电路的BW和Q



并联谐振电路工作原理详解,案例 计算公式,几分钟带你搞定

版权声明:本文内容由互联网用户自发贡献,该文观点仅代表作者本人。本站仅提供信息存储空间服务,不拥有所有权,不承担相关法律责任。如发现本站有涉嫌侵权/违法违规的内容,请联系我们,一经查实,本站将立刻删除。
如需转载请保留出处:https://51itzy.com/kjqy/21575.html