1.什么是锁相环
锁相环电路是使一个特殊系统跟踪另外一个系统,更确切的说是一种输出信号在频率和相位上能够与输入参考信号同步的电路,它是模拟及数模混合电路中的一个基本的而且是非常重要的模块。
2.锁相环的基本理论
2.1 锁相环的工作原理
锁相环作为一个系统,主要包含三个基本模块:鉴相器(Phase Detector:PD)、低通滤波器(LowPass Filter:LPF),亦即环路滤波器(L00P Filter:LF),和压控振荡器(Voltage Controlled Oscillator:VCO)。这三个基本模块组成的锁相环为基本锁相环,亦即线形锁相环(LPLL),如下图所示。实际中使用的锁相环系统还包括放大器、分频器、混频器等模块,但是这些附加的模块不会影响锁相环的基本工作原理,可以忽略。

讯享网
当锁相环开始工作时,输入参考信号的频率 fi 与压控振荡器的固有振荡频率 fo 总是不相同的。这一固有频率差必然引起它们之
间的相位差不断变化,并不断跨越2π 角。由于鉴相器特性是以相位差2π 为周期
的,因此鉴相器输出的误差电压总是在某一范围内摆动。这个误差电压通过环路
滤波器变成控制电压加到压控振荡器上,使压控振荡器的频率 fo趋向 于参考信
号的频率 fi ,直到压控振荡器的频率变化到与输入参考信号的频率相等,并满足
一定条件,环路就在这个频率上稳定下来。两个频率之间的相位差不随时间变化
而是一个恒定的常数,这时环路就进入“锁定”状态。
当环路已处于锁定状态时,如果输入参考信号的频率和相位发生变化,通过环路的控制作用,压控振荡器的频率和相位能不断跟踪输入参考信号频率的变化而变化,使环路重新进入锁定状态,这种动态过程称为环路的“跟踪”过程。而环路不处于锁定和跟踪状态,这个动态过程称为“失锁”过程。
锁相环功能总结
- 频率牵引
- 相位锁定
2.1.1.鉴相器
锁相环中的鉴相器(PD)通常由模拟乘法器组成,利用模拟乘法器组成的鉴
相器电路如图示:

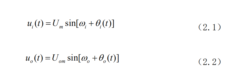
鉴相器的工作原理是:设外界输入的信号电压和压控振荡器输出的信号电压分别
为:

式中的ωO 为压控振荡器在输入控制电压为零或为直流电压时的振荡角频率,称
为电路的固有振荡角频率。则模拟乘法器的输出电压UD 为:

鉴相器的传输特性为:

鉴相器有两个主要功能:
- 频率牵引
- 相位锁定
鉴相器的电路种类很多,大致可以分为四种常用类型:
- 乘法鉴相器:一般应用在模拟锁相环(LPLL)中,即线性锁相环,鉴相的
范围是[+90°,-90°];- 异或门鉴相器:较多应用于数字锁相环中,鉴相范围同为[+90°,-90°]
中,要考虑鉴相器输入的两个信号是对称的还是非对称的,如是非对称还要考虑
其对 PLL 增益及锁相宽度的影响;- JK 触发器型鉴相器:这种鉴相器由边沿触发,利用边沿间的间隔进行鉴
相,相位误差为[+180°,-l80°];- 鉴频鉴相器(phase—frequency detector):其优势就在于失锁时,它的角频
率容易描述。这种角频率的描述就可以实现鉴频的功能。鉴相范围为[+360°,
-360°]。
2.1.2.低通滤波器
低通滤波器(LF)的将上式 2.3 中的和频分量滤掉,剩下的差频分量作为压
控振荡器的输入控制电压 Uc( t) 。即为:

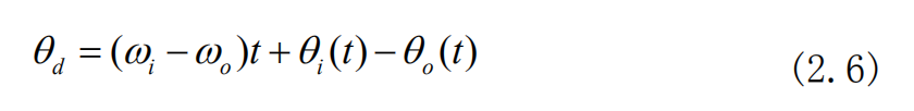
式中的ωi为输入信号的瞬时振荡角频率, θ1(t) 和 θ2(t) 分别为输入信号和输出信号的瞬时位相,根据相量的关系可得瞬时频率和瞬时位相的关系为:

即:

则,瞬时相位差θd 为:

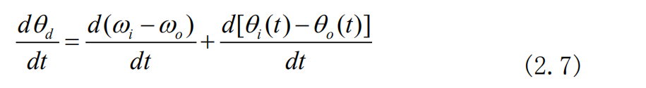
对两边求微分,可得频差的关系式为:

上式2.7等于零,说明锁相环进入相位锁定的状态,此时输出和输入信号的频率
和相位保持恒定不变的状态, θc(t) 为恒定值。当上式不等于零时,说明锁相环
的相位还未锁定,输入信号和输出信号的频率不等,θc(t) 随时间而变。其数学
模型为:

环路滤波器的分类:
- RC积分滤波器:这是结构最简单的低通滤波器,它具有低通特性,且相位
滞后。当频率很高的时候,幅度趋于零,相位滞后接近于 2
π ;- 无源比例积分滤波器;
- 有源比例积分滤波器:它由运算放大器组成,高增益的有源比例积分滤波
器又称为理想积分滤波器。
2.1.3 压控振荡器
压控振荡器(VCO)的压控(Uc为交流电压)特性如图所示:


2.2 锁相环的工作状态
锁相环有四种工作状态,即锁定状态、失锁状态、捕获过程和跟踪过程。
- 锁定状态:
整个环路己经达到输入信号相位的稳定状态。它指输出信号相位等于输入信号相位或者是两者存在一个固定的相位差,但频率相等。在锁定状态时,压控振荡器的电压控制信号接近平缓。
- 失锁状态:
环路的反馈信号与锁相环输入信号的频率之差不能为零的稳状态。当环路的结构设计有问题,或者是输入信号超出了锁相环的应用范围的时候都会进入失锁状态。这个状态意味着环路没有正常工作。
- 捕获过程:
指环路由失锁状态进入锁定状态的过程。这个状态表明环路已经开始进入正常工作,但是还没有达到锁定的稳态。此过程应该是一个频率和相位误差不断减小的过程。
- 跟踪过程:
是指在 PLL 环路处于锁定状态时,若此时输入信号频率或相位因其它原因发生变化,环路能通过自动调节,来维持锁定状态的过程。由于输入信号频率或者相位的变化引起的相位误差一般都不大,环路可视作线性系统。
PLL的这四种状态中,前两个状态称为静态,后两个状态称为动态。优秀的设计可以使 PLL 在上电后立刻进入捕获状态,从而快速锁定。
一般用四个参数指标来描述 PLL 的系统频带性能:

- 同步带:它指的是环路能保持静态锁定状态的频率范围。当环路锁定时,
逐步增大输入频率,环路最终都能保持锁定的最大输入固有频差。 - 失锁带:锁相环路稳定工作时的动态极限。也就是说 PLL 在稳定工作状态
时,输入信号的跳变要小于这个参数,PLL 才能快速锁定。若输入信号的跳变大
于该参数而小于捕获带,则环路还是能锁定,但是需要较长的时间。 - 捕获带:只要反馈信号和输入信号的频差在这一范围内,环路总会通过捕
获而再次锁定,随着捕获过程的进行,反馈信号的频率向着输入信号频率方向靠
近,经过一段时间后,环路进入快捕带过程,最终达到锁定。 - 快捕带:在此频差范围内,环路不需要经历周期跳跃就可达到锁定,实现
捕获过程。
2.3 锁相环的非线性工作性能分析
当锁相环的相位误差大于 π/6 时,正弦鉴相器将不再能够线性化,环路成为非线性系统,其非线性性能表现为以下三种情况:
- 已处于锁定状态的锁相环,当输入信号频率或压控振荡器自由振荡频率变化过大或变化速度过快时,使环路相位误差增大到鉴相器的非线性区,这种非线性环路的性能为非线性跟踪性能;
- 从接通到锁定的捕获过程中,相位误差的变化范围是很大的,环路处于非线性状态;
- 失锁状态时环路的频率牵引现象。
2.3.1 跟踪性能
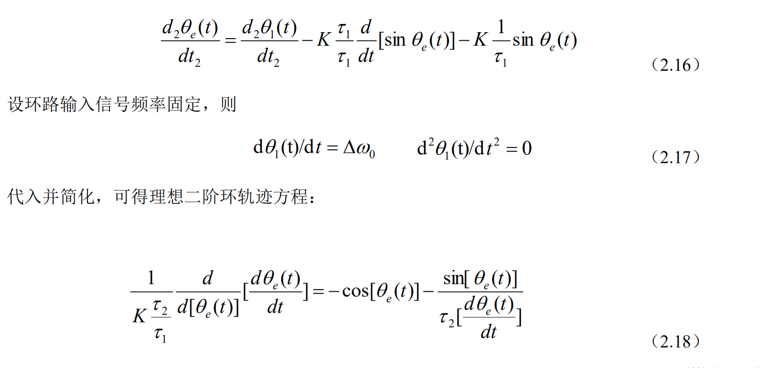
环路非线性跟踪性能指标包括稳态相位误差见θe(∞)、同步带∆ω H 和最大同步扫描速 Rh ,在这里从环路动态方程对其进行分析。输入固定频率信号的条件下,锁相环路的动态方程可变为:

环路锁定时瞬时相差 P θe(t) 等于零,且鉴相器输出误差信号和压控振荡器控制信号均为直流,由此可得环路的稳态相位误差为:

上式 2.10 中 F (jo) 为环路滤波器的直流增益。理想二阶环的 F(jo) = ∞,其稳态
相位误差为: θe(∞) =∞对于已经锁定的环路,缓慢增加其固有频率,环路如果还能保持锁定,则 θe(∞) 有解。使上式有解的环路固有频差的最大值就是环路的
同步带,即:

则可得理想二阶环路的同步带:

上式2.12成立的前提是环路滤波器和压控振荡器都有无限大的线性工作范围,这
是不符合实际的。理想二阶环的同步带是有限的,它往往受限于压控振荡器的最
大控制范围。理想二阶环可以跟踪频率斜升信号,其稳态相位误差为
。加大频率斜升信号的斜率R,就可能使环路进入非线性跟踪状态。进一步加大R,环路就可能失锁。使环路不致失锁的尺的最大值就是最大同步扫描速率。在输入频
率斜升信号的条件下有

把理想二阶坏的传输算子F(P )代入上式2.13可得锁定时坏路的相位误差为:

当
上式无解,意味着环路失锁,因此理想二阶环的最大同步扫描速率为:

2.3.2 捕获性能
实际工作过程中,锁相环初始状态往往是失锁状态。环路经由失锁进入锁定状态,需要经历一个捕获过程。捕获过程分为频率捕获和相位捕获两个过程。在相位捕获中环路相位误差不会发生2π 周期跳跃,捕获时间比较短,因此相位捕获也叫做快捕。与相位捕获相比,频率捕获时间较长,它构成了捕获时间的主要部分。一般而言,捕获过程中环的瞬时相差将在大范围内变化,使捕获过程表现为一种非线性现象。要想获得环路捕获性能的全部结果,需要求解环路非线性动态方程,二阶环路的动态方程是二阶非线性微分方程,在数学上是无法精确求解的,只能用近似求解的方法求解。理想二阶环的方程为:


2.3.3 失锁状态
锁相环失锁时,具有频率牵引现象。当环路失锁时,环路中误差电压为上下不对称的周期性差拍信号,此差拍电压的直流分量使压控振荡器的平均频率向输入信号频率靠近,从而使环路输出信号的平均频差小于环路固有频差。
2.4 锁相环的优良特性
锁相环广泛应用于无线领域,是其自身具有较好的特性:
- 载波跟踪特性:无论输入锁相环的信号是已调制好的或未调制的,只要信号中包有载波频率成分就可将环路设计成一个窄带跟踪滤波器,跟踪输入信号载波成分的频率与相位变化,环路输出信号就是需要提取(或复制)的载波信号。这就是环路的载波跟踪特性载波跟踪特性包含这三重含义:一是窄带。环路可以有效地滤除输入信随的噪声和干扰。环路主要是利用环路滤波器的低通特性来实现输入信号的载频上的窄带带通特性的,这比制作普通的窄带带通滤波器容易得多。在高载频上,用锁相环路可将通带做到几赫兹那么窄,这是普通带通滤波器难以实现的。二是跟踪。环路可以在保持窄带特性的情况下跟踪输入载波频率的漂移。普通带通滤波器的频率特性是固定的,为了能接收载频漂移的输入信号,滤波器的通带带宽必须设计漂移范围,因而无法利用窄带特性来过滤噪声与干扰。三是可将弱输入载波信号放大到强信号输出。因为环路输出的是压控振荡器的信号,它是输入弱载波信号频率与相位的真实复制品,其幅度则比输入信号强的多。
- 2.调制跟踪特性。只要让环路有适当宽度的低频通带,压控振荡器输出信号的频率与相位就能跟踪输入调频或调相信号的频率与相位的变化,即得到输入角调制信号的复制品,这就是调制跟踪特性。利用环路的调制跟踪特性,可以制成角调制信号的调制器与解调器。
- 3.低门限特性。锁相环路不像一般非线性器件那样,门限取决于输入信噪比,
而是由环路信噪比决定的。一般环路的通频带总比环路输入端的前置通频带窄的多,因而环路信噪比明显高于输入信噪比,环路能在低输入信噪比条件下工作,即具有低门限的优良特性。这样,只要将环路设计成窄带,就可把淹没在噪声中的微弱信号提取出来。这样的环路用于解调调频、调相信号时,可取得门限扩展的效果;用于解调数字调制信号时,可使误码率降低
3.锁相环的噪声分析
锁相环的输入信号和各个模块都包括了噪声源,其输出信号必然包含噪声。噪声是锁相环的重要特性,设计中必须考虑。本章节主要分析了输入信号的噪声和压控振荡器的噪声。在实际的工作过程中,压控振荡器的相位噪声是锁相环最主要的噪声。
3.1 锁相环的输入噪声


3.2压控振荡器的噪声





为了减小VCO的相位噪声的影响,环路带宽应该尽量取大,而这与抑制输入相位噪声将环路噪声带宽尽量减小相矛盾。实际工程中,输入信号主要来自晶体振荡器,噪声非常小,所以,PLL的输入相位噪声主要来自内部的VCO,因此可以将环路带宽适当取大.
3.3 相位噪声的抑制
锁相环的抖动主要是由相位噪声或边带引起的。而产生随机抖动和相位噪声的原因,可以简单认为是电源噪声、衬底噪声和器件噪声。边带则基本上是由控制路径上的周期性扰动引起的。
结合实际,抖动产生的原因如有:
1.电源噪声和衬底噪声,引起了受电压影响的电容(如MOS管的Cgd)的变化,导致振荡器频率的变化。可以把电源和衬底也作为VCO的控制电压来分析VCO的频率特性;
2.衬底噪声,衬底噪声会导致器件阈值电压Vth 的改变;
3.器件噪声(热噪声、闪烁噪声),闪烁噪声随着振荡器(VCO)的频率慢慢变
化,它能够通过增加PLL的带宽来抑制。热噪声可以通过版图的方法减小。减小
1/f 噪声要增加器件面积。
在PLL设计过程中,应当尽量遵循以下原则来减小抖动:
1.将缓冲控制电压(buffered control voltage)作为电源电压。
2.用缓冲控制电压去产生偏置电流,电流源隔离。
3.采用Cascode电流源或镜像电流源,可以将敏感性降到O.5%。
4.用阱器件来做电流源和环路滤波电容。
5.将控制电压做在阱上面(避免衬底的影响)。
6.控制电压仅与阱器件连接,不与引脚直接连接
版权声明:本文内容由互联网用户自发贡献,该文观点仅代表作者本人。本站仅提供信息存储空间服务,不拥有所有权,不承担相关法律责任。如发现本站有涉嫌侵权/违法违规的内容,请联系我们,一经查实,本站将立刻删除。
如需转载请保留出处:https://51itzy.com/kjqy/20941.html