
讯享网摘要:灌注工艺在工业中越来越受到关注,用于糖蛋白的生产。这种操作模式带来的强化效应是吸引人的,并且现在经常考虑将灌注工艺纳入连续加工,包括下游加工,以实现上游生产过程的强化,或者仅在种子生物反应器层面进行强化。在所有情况下,强化都是基于在高或非常高的细胞密度下操作。本章提供了关于灌注工艺的最新知识概述,包括它们的主要概念及其发展,包括培养基开发、放大、缩小、生命周期和成本分析。
1.介绍
几十年来,生物制药领域一直由分批补料工艺主导,这种操作模式继续占据主导地位。然而,由于其潜在的工艺强化潜力,行业也在逐步采用基于灌注工艺的连续加工,详细如下。这种兴趣存在于不同层面,取决于公司的生产能力、其对连续系统的经验以及其推动新方法的愿望,这些新方法可能与更高的风险相关联。在灌注模式下,培养基不断更新,允许不断提供新营养物质,同时消除有毒副产品。培养基在细胞分离装置的帮助下,保留细胞在生物反应器中的同时得到更新。“灌注工艺基础”部分介绍了灌注工艺的基础。细胞分离装置之前已经回顾过,而“细胞分离装置”部分提供了这份报告的更新。我们同样参考了Castilho和Medronho的综述,了解基于非过滤的细胞分离装置的详细特点。灌注模式还可以提供感兴趣的产品(PoI)在生物反应器中更短的停留时间,这对产品质量有利,并且对于敏感的糖蛋白(如酶或凝血因子)是必需的。除了生产这类分子外,灌注模式还能实现高细胞密度和非常高的细胞密度,同时保持高活力,这一点在10多年前首次发表。近年来,该领域一直在追求强化,其中提高细胞密度是一个关键因素。图4.1概述了该领域基于增加细胞密度支持的介质更新所设想的主要工艺强化方式。一种方式,在稳态灌注工艺(SSPP)中,是将细胞密度增加到给定的高水平,例如100×10^6细胞/mL,并通过连续丢弃细胞以与细胞生长相同的速率来维持这一水平。在图4.1a中,可以看到在生长阶段之后,细胞密度在第10天左右维持在100×10^6细胞/mL的稳定水平,直到培养结束。产品由细胞连续生产,并导向细胞分离装置下游的收获罐。高细胞密度可以产生非常大的总累积产量,这是随时间累积的每日体积生产力。介质更新的有利环境可以支持高活力,前提是细胞分离装置不产生影响细胞的机械应力。这样的培养可以维持数周甚至数月。关于工艺长度,已发表的最长商业工艺为6个月,生产凝血因子VIII。目前的趋势是培养持续1或2个月。当然,在这些系统中维持PoI生产的细胞稳定性是一个主要限制。SSPP方法的一个缺点是收获体积非常大,因此需要在捕获步骤中处理,这给该操作带来了沉重的负担。一种不要求从大量收获中捕获PoI,同时利用介质更新支持非常高细胞密度的替代方法是在细胞分离装置中包含一个超滤器(UF)。这在图4.1b中表示,其中用于细胞分离装置的空心纤维盒是一个UF过滤器。选择过滤器的截止点,使得PoI保留在生物反应器中,而较小分子的分子通过灌注操作更新。换句话说,在这种小分子的连续更新期间,营养物质来自新鲜培养基,而存在于废培养基中的副产品则从生物反应器中移除,为细胞生长和生产创造了有利条件,而PoI留在生物反应器中。这个过程结合了灌注和分批补料操作的优点,因此被称为浓缩分批或增强分批,有时是强化分批。主要好处是这个过程只需要一次收获,而不是在培养运行期间多次收获或实施连续捕获步骤。在这种情况下,不实施细胞出血,细胞密度增加,直到UF过滤器堵塞,为什么这些过程持续几周,即通常比SSPP短得多。值得注意的是,由于实现了超过100×10^6细胞/mL的非常高的细胞密度,它们的单一收获具有挑战性。还提出了混合解决方案,如图4.1c所示,其中同时使用灌注和分批补料模式,目的是利用灌注增加细胞密度,分批补料用于生产阶段。最后,在种子生物反应器N-1中实施灌注操作,是行业采用的最强化方法。生产生物反应器的接种细胞密度可以轻易增加,代表了在分批补料或灌注模式下操作的生产生物反应器中细胞生长阶段的大量时间节省。潜在地,几个生产生物反应器可以从同一个N-1种子生物反应器中接种,如图4.1d所示。如上所述,与批处理和分批补料操作相比,灌注模式的主要好处是介质更新,这可以与非常高的细胞密度结合。与这些相比,这可以提供更高的每日体积生产力,PoI在生产生物反应器中的更短停留时间,更长的培养周期,更健康的细胞,更好且重要的是可逆的细胞环境控制。短停留时间由于蛋白酶和唾液酸酶的酶促作用减少,提供了比分批补料更优越的产品质量。高细胞密度与高体积生产力相结合,加上长培养运行,代表了商业生产在规模小得多的生物反应器中的重要强化,例如2000L,与分批补料生物反应器相比。因此,这种强化工艺与一次性/单次使用设备高度兼容。由于生物反应器尺寸较小,建造新设施所需的投资成本(资本支出,CapEx)比建造基于分批补料生物反应器的工厂要低得多,确保相同的容量。这是近年来灌注工艺在工业中兴起的主要原因之一。另一个因素是与一次性设备的兼容性,也提供了多用途工厂所需的高度灵活性,这在新方式增加的情况下,可能需要不同类型的设备,即使用舞厅概念的趋势,现在更加重要。此外,在生物制剂需求突然增加的情况下,一次性设备实现的强化工艺的生产能力可以潜在地通过扩大工艺规模迅速扩大,也有转移到另一个地点的可能性。对于已经通过配备大型生物反应器的工厂确保生产能力的公司来说,这些最后的理由可能不太重要,对于这些公司来说,灌注工艺带来的强化不是必需的。
关于N-1步骤,许多公司遵循的普遍趋势是采用高细胞密度灌注工艺,以在生产生物反应器中获得高接种量,从而缩短生产生物反应器中的生长期,并与旧的批培养相比,实现更有效的种子培养。灌注工艺的另一个流行的工业应用是制造细胞库。在波纹诱导生物反应器中以高细胞密度(例如100×10^6细胞/mL)在灌注模式下生长的细胞悬浮液,可以通过添加冷冻保护剂(例如二甲基亚砜DMSO)直接冷冻保存,无需离心,解冻时恢复良好。一个现在已变得非常重要的最终方面是,依赖一次性设备的强化工艺消耗的能源和清洁水更少,并且与大型旧的分批补料工厂相比,规模更小,因此具有更有利的二氧化碳足迹。生命周期和成本分析在“生命周期和成本分析”部分介绍。灌注工艺在2000-2010年代之前被避免的原因,除了不稳定的PoI外,是缺乏健壮和简单的细胞分离装置,更高的工艺复杂性,以及与旧的分批补料工艺相比,更高的无菌挑战。这方面的必然结果是,在由分批补料工艺主导的生物制药领域缺乏能力和知识,包括合同制造组织(CMO)。这一点从2007年以来分批补料工艺的文献比灌注工艺更丰富也可以看出,然而,这一趋势最近已经改变,即自2020年以来(图4.2)。此外,大量收获和新鲜培养基的体积也给物流和下游团队带来了挑战。
使灌注技术得以实现的关键因素之一是空心纤维基础的细胞分离装置,特别是Shevitz引入的交替切向流过滤(ATF)。
2.灌注工艺基础
2.1.灌注生物反应器的操作和控制
2.1.1.灌注概念
典型的灌注工艺设置的示意图可以在图4.3中找到。培养基通过细胞分离装置不断更新,将细胞保留在生物反应器中。在SSPP中,直到给定的细胞密度为止的生长阶段,然后是在一个稳定维持在稳态(SS)的细胞浓度下的生产阶段,通过与生长速率相等的细胞出血速率进行细胞出血。细胞出血被丢弃,因此是材料的损失。然而,利用这些材料是有吸引力的,但这为工艺增加了更高的复杂性,增加了失败和验证的风险,因此不是常见的做法。在生长阶段,培养基和饲料被优化以最大限度地提高生长速率,而在SS时,细胞生长是可取的,因为它确保了健康的细胞,但不应过度,因为细胞出血中的PoI丢失了。可以通过降低温度来减缓细胞生长,温度应该被优化。请注意,另一种连续培养工艺是恒化器,在这种工艺中,细胞悬浮液以与生长速率相同的速率不断移除,而不保留生物反应器中的细胞。恒化器操作不用于使用哺乳动物细胞的生产,但有时用于开发灌注工艺。培养基在生物反应器中更新的速率由灌注率(D)表示,单位为每天反应器体积数或RV/天或天^-1。这种连续的介质更新为细胞提供了恒定的环境,这有利于细胞代谢、生长和健康。在4°C下储存收获罐中的PoI,其中酶解作用大大降低,对PoI质量非常有利,这一特性对于不稳定的糖蛋白是不可或缺的。有趣的是,即使由分批补料生产的稳定蛋白,在SSPP中也可以表现出更优越的质量概况,例如高水平的糖基化成熟。当然,浓缩分批补料的情况是个例外,在这种情况下,PoI在整个运行期间都保留在生物反应器中,因此存在酶解作用。营养物质从不断添加到新鲜培养基中以避免其耗尽,同时废培养基的移除消除了有毒副产品,即乳酸、氨中列出的其他物质,细胞产生的CO2和HCO3^-来自用于控制pH值的碱。除了糖蛋白制造外,其他领域也使用灌注操作,如干细胞、免疫或原代细胞/组织培养。
2.1.2.灌注工艺操作
在灌注工艺中,不同的流进或离开生物反应器。上一段介绍的灌注率D是整体更新流速。其设定点由操作员给出,并在工艺开发过程中选择。收获率,H [RV/天或天^-1]是无细胞上清液从细胞分离装置中泵出的速率。为了在稳态下维持工艺,细胞以出血速率B [RV/天或天^-1]被移除。当希望增加细胞浓度时,不应用出血速率,即B然后等于0。这些流速通常由泵控制。灌注率是收获率和出血率的总和;

在灌注过程中,生物反应器的体积是恒定的,这简化了质量平衡方程;
此外,在稳定状态建立的情况下,不同组分的浓度是恒定的,因此这些浓度随时间的变化为0。引入方程4.4和4.5后变为:
同时考虑方程4.2,表达稳态灌注过程中产品浓度的方程4.7变为:
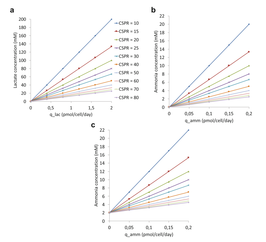
图4.4 生物反应器中乳酸和氨浓度的模拟,作为这些副产品细胞特异性产生速率的函数,当CSPR变化时(CSPR单位 = pL/细胞/天),使用方程4.8;a 乳酸浓度的模拟;b 在新鲜培养基中不含氨的情况下氨浓度的模拟;c 在新鲜培养基中含有2 mM氨的情况下氨浓度的模拟。
其中 Cs 是 s 的浓度,qs 是底物 ,s 的细胞特定消耗率,Cs,in 是培养基中底物 s 的浓度。与推导方程4.8类似,对于稳态灌注培养,可以表达为:
方程4.10可以在过程开发中使用,以识别培养基或添加剂中底物的浓度。这将在下面的“过程优化”部分进一步发展。
2.3.2.感兴趣产物(PoI)
可以类似地推导出感兴趣产物(PoI)的质量平衡方程,表达PoI浓度随时间的变化,CPoI[g/L]。注意,单位/L通常用于酶,但文本中仅指g/L以明确。然而,还有两个其他因素也很重要:在细胞出血中损失一定量的PoI,以及细胞分离设备可能部分保留PoI在生物反应器中。后者特别是在基于过滤的设备中是一个问题,见“基于过滤的细胞分离设备”部分。感兴趣产物的质量平衡方程是:
其中qPoI[pg/cell/day] 是感兴趣产物的细胞特定产生率。考虑到收获率 H[RV/day] 和出血率 B[RV/day],使得
其中 CPoI,Harvest和CPoI,Bioreactor 分别是收获线上和生物反应器中感兴趣产物的浓度。重新排列方程4.12后,感兴趣产物的细胞特定产生率可以表示为:
并且每升生物反应器体积的体积生产率,QPoI,Harvest[g/L/day],实际上是收集到的,考虑收获的产品如下:
每次运行的生物反应器每体积的总生产率是累积收获的PoI产量,Htot,POI[g/L],由体积生产率随时间
如前所述,由于收获这些材料的复杂性,细胞出血中的PoI通常被丢弃。
2.3.3.生物量
生物量的质平衡方程可以表示为:
即流失速率等于主要细胞密度设定点的生长速率。
3.细胞分离设备
细胞保留装置将细胞与无细胞上清液分开,细胞返回生物反应器,无细胞上清液转移到收获罐。该装置应对细胞产生可承受的机械应力,以尽可能少地影响细胞活性。细胞在装置中的停留时间不应过长。操作应在长时间内稳定,数周甚至可能数月。它应适合商业规模操作。PoI的保留应为零或最小。如果发生故障,如堵塞,应可以在培养过程中更换部件或整个系统。因此,优先选择外部分离设备。对于过程强化,细胞保留装置应能够在非常高的细胞密度下操作。本文提供了一个简短的概述,包括报告的更新。用于动物细胞灌注过程的分离设备基于不同的主要物理原理:(i)过滤,(ii)加速包括重力,(iii)电场,由Castilho和Medronho回顾。
3.1.基于过滤的细胞分离设备
基于切向流过滤的细胞分离设备越来越受到关注,并在过去十年中看到了新的发展。相比之下,容易堵塞的旋转纺丝过滤器并没有得到同样的关注。可以通过安装在生物反应器中的过滤器实现细胞分离,例如波诱导生物反应器的内部浮动过滤器。由于其简便性和紧凑性,该系统对细胞冷冻保存或种子生物反应器等应用越来越感兴趣。有报道称该设备可达到高达250×10^6细胞/mL的细胞密度。
在切向流过滤中,细胞悬浮液以切线方式循环到过滤器表面,避免了将颗粒压入过滤器孔中,这被证明对避免过滤器堵塞非常有利。一个受欢迎的过滤系统包括一个空心纤维过滤器的柱塞,在其中细胞悬浮液通过,而无细胞渗透液被泵出柱塞。在切向流过滤(TFF)中,细胞悬浮液被泵出生物反应器,循环通过过滤器柱塞并返回生物反应器。该设备的泵传统上是蠕动泵,现在可能被悬浮离心泵取代。由Shevitz引入的交替切向流(ATF)在过滤器柱塞的一端包括一个隔膜泵,它以大约60秒的周期交替拉动和推动空心纤维过滤器中的细胞肉汤。细胞分离设备TFF和ATF的主要优点是细胞在分离装置中的停留时间较短,操作相对简单灵活,可扩展性好,并已证明超高细胞密度>200×10^6细胞/mL。TFF和ATF已在搅拌生物反应器、波生物反应器和轨道摇动生物反应器中进行了比较。据报道,与ATF相比,使用TFF时细胞损伤有时更高。一个确定的原因是蠕动泵中产生的剪切,导致所谓的“泵效应”。如果泵设置选择适当,使用大管,两种系统对CHO细胞产生类似的细胞生长和活性。此外,使用硅胶平滑内表面进一步减少了泵效应。用悬浮离心泵取代蠕动泵提供了一个更好的解决方案,因为这种类型的泵剪切力低。
ATF或TFF过滤方法的一个缺点是由于在过滤器表面形成凝胶层而导致PoI在生物反应器中的保留。用于哺乳动物细胞培养的过滤器中凝胶层的形成是由于20-200纳米大小的颗粒,由DNA和其他细胞碎片组成,也可能受到消泡剂的影响。它在几天到1周后形成,并可能随着时间的推移而增加。这导致PoI通过过滤膜的传输减少。产品回收率由筛分系数σH = cPoI,收获/cPoI,生物反应器来表征。PoI通过过滤膜的筛分衰减通常导致在运行过程中更换过滤器柱塞以避免PoI损失。ATF与TFF性能的一个显著差异是后者对PoI保留的倾向更严重。与ATF相比,观察到的优越产品回收归因于由于ATF中流交替方向,渗透液通过过滤孔的反冲洗运动,防止了膜污染。PoI筛分的衰减是一个主要问题,已经寻求了解决方案。通过使用孔径≥2μm的空心纤维过滤器,即比通常的0.1-0.45μm大,可以提高产品筛分。然而,这种改进需要额外的过滤步骤,因为空心纤维柱塞的渗透液浑浊度过高,无法直接装载捕获色谱步骤。有趣的是,同一组观察到过滤器的名义孔径并不是唯一需要考虑的标准,但过滤器的结构是可能的筛分衰减的主要因素。在TFF设置中使用宽表面孔膜,锥形孔径为0.2μm的过滤器(Asahi Kasei Microza膜)产生了较低的IgG和DNA筛分衰减,因此,与同一制造商但孔形不同的0.65μm过滤器孔径相比,没有导致PoI筛分恶化。另一种解决方案是由在TFF设置中提出,使用两个悬浮离心泵,交替使用以在空心纤维柱塞中产生细胞悬浮液的交替运动,导致与ATF设置中观察到的筛分衰减类似,使用相同的过滤器柱塞。除了选择膜,如孔径、形状、材料和过滤面积外,ATF或TFF的操作设置对产品保留有显著影响。Walther等人推荐ATF操作的渗透通量≤60 L m^-2 day^-1,但必须考虑细胞密度和运行时间。此外,空心纤维腔内的剪切率,与循环流量成正比,也在ATF和TFF中不同。在ATF的循环回路中,由于交替流动,细胞悬浮液速度从0变化到最大值,这是TFF中恒定应用的速度。ATF中的平均速度比TFF低0.64。因此,ATF中的剪切应力比TFF低0.64倍。这种差异可能不会影响CHO细胞,但研究表明,对于更敏感的HEK293细胞,这种差异影响了细胞,与泵效应无关。在ATF或TFF中获得的筛分模型已经开发出来,为涉及的现象提供了一些见解。
3.2.基于加速和重力的细胞分离设备
基于重力,可以使用细胞沉降将细胞与上清液分开。单个细胞的沉降时间大约为40分钟,具体取决于细胞大小。这个时间相当长,可能会危及向细胞输送氧气和营养物质,以及细胞环境的均匀性,并可能影响活性。然而,它已成功开发并应用于小型生物反应器Ambr 15。尽管如此,已经创建了几个功能以促进沉降。倾斜沉降器由几个倾斜的板(或叶片)组成,细胞沉降就发生在这里。由于倾斜,由于对流现象,即Boycott效应,沉降速度比在细胞悬浮液中快。细胞悬浮液通过泵送进入倾斜沉降器底部附近。细胞沉积在倾斜的叶片上,然后它们被送回生物反应器。在沉降器顶部,泵取回上清液,转移到收获罐。倾斜沉降器用于大规模培养,如Pohlscheidt等人报告的16×10^6细胞/mL的灌注过程,细胞保留效率>85%,流量高达3000 L/天。为了促进沉降,在生物反应器顶部安装的细胞分离室中创建了超声波共振场(超声波),在其中产生浓缩细胞区域。当波中断时,浓缩的细胞很容易落入生物反应器。据报道,该系统能够交换200 L/天的培养基,细胞密度高达42×10^6杂交瘤细胞/mL。离心也在商业规模的灌注过程中使用,如在Centritech离心机中实现的,能够交换2880 L/天的培养基。最后,水龙卷产生应用于细胞悬浮液的离心场,而无需旋转机械部件,并且是最新技术。最近在中试规模上报道了高达50×10^6细胞/mL的细胞密度和高分离效率。这些不同的系统可以在优化后产生高细胞分离效率。它们还有通过大小分离细胞的优势,因此可以将较小的死细胞从生物反应器中移除。另一个优势是,根据物理原理,它们与过滤器相比,保留生物反应器中PoI的倾向较低。一个缺点是细胞悬浮液在这些分离装置中的停留时间可能很长。此外,报道的最高细胞密度低于使用切向流过滤。
4.生命周期和成本分析
由于涉及参数的多样性和必要的假设,更不用说不同生物制药公司的特异性,比较给料分批和灌注过程的成本和环境影响并非易事,此类比较的研究并不总是一致的。Bunnack等人得出结论,灌注模式具有类似的商品成本,但与给料分批相比,意味着增加了水消耗,因此对环境的影响更大。他们还报告说,通过增加灌注过程收获前的间隔时间来减少环境足迹。与给料分批相比,当灌注中实现的细胞密度是五倍时,商品成本降低。资本支出被证明比基于灌注的操作小42%,假设生产是在比给料分批小五倍的生物反应器中进行的,随之而来的是灌注生物反应的种子培养也减少了。灌注过程中培养基的大体积是操作成本的一个重要因素,因此寻求低CSPR,并应成为此类评估的假设之一。有趣的是,Xu等人在实际案例研究中比较了给料分批、以14 pL/cell/天进行的灌注和浓缩给料分批的性能和培养基成本。细胞密度分别为22、74和117×10^6细胞/mL,培养基相似但适应于灌注过程。他们得出结论,qPoI大约为30 pg/cell/天,所有过程都相当,浓缩给料分批和灌注的体积生产率,2.0-2.3 g/L/天,高于给料分批0.34 g/L/天,而所有过程的培养基成本每mAb相当,浓缩给料分批最高。环境影响是另一个日益重要的行业方面。从这个角度比较灌注和给料分批过程在很大程度上取决于是否使用一次性设备。一次性设备与不锈钢设备的影响共识是,后者是高能耗消费者,即电力生产蒸汽,和清洁水,即注射用水,而基于塑料的一次性设备则不是。另一个事实是,灌注过程更适用于一次性设备,因为生物反应器的尺寸。然而,Cataldo等人比较了一次性给料分批过程和基于不锈钢设备的灌注过程,并得出结论,后者每生产抗体质量的水消耗更高。如前所述,经济和环境评估是复杂的,并且高度依赖于假设。然而,这些研究说明了灌注过程在商业生产中对不同类型生物制剂的接受度和兴趣增加,为传统的给料分批操作提供了有吸引力的替代方案。
5.灌注过程的特性、挑战和放大考虑
5.1.剪切应力
在通过高细胞密度灌注进行强化时,需要考虑不同的问题。在“细胞分离设备”部分讨论了细胞保留设备,主要指出了这些系统的机械应力、细胞密度限制、PoI筛分衰减以及设备的鲁棒性和复杂性。一个重要因素是目标高(或非常高)的细胞密度,需要在高细胞活性下获得。低细胞活性可能会随着时间恶化,限制了灌注过程的长度,并可能因细胞DNA和碎片的超载而危及细胞分离。细胞活性可能会受到这些过程中的不同因素的影响。细胞分离设备产生机械应力,这取决于应力幅度和细胞鲁棒性,可能或不影响细胞。高细胞密度的过程需要高氧气传输能力,通过高搅拌、适当的曝气策略以及生物反应器的有效均质化来实现。这些因素也可能增加对细胞的剪切应力。有效的均质化依赖于生物反应器的设计和叶轮。机械应力和循环回路的停留时间,将细胞悬浮液从生物反应器来回输送到细胞分离设备,应最小化。在生物反应器控制环境外花费的时间,当细胞密度高时,溶解氧浓度非常迅速地下降。Walther等人报告说,当使用ATF设备且停留时间超过75秒时,过程失败的可能性增加,显然造成了细胞应力,也与乳酸产生增加和细胞生长及PoI生产力衰减相关。这意味着需要优化该循环回路的管道尺寸和泵送设备。管道直径应设计得尽可能大,以减少壁效应,但应尽可能减少体积,以减少循环中的停留时间,需要在这些相反要求之间找到**折衷。如前所述,与蠕动泵相比,低剪切泵,如ATF中使用的隔膜泵或TFF中使用的悬浮离心泵更受青睐(见“基于过滤的细胞分离设备”部分)。然而,尺寸合适的蠕动泵也可以用于CHO细胞的基于TFF的灌注过程,例如,使用了40多天,达到了214×10^6细胞/mL。Chalmers及其合作者概述了生物反应器环境的不同部分产生的能耗速率(EDR),例如生物反应器搅拌、管道中的流动、培养表面气泡破裂,这些都可能损害细胞以及不同细胞系统的剪切应力耐受性。使用“折磨室”研究细胞的敏感性,可以评估其对流体动力的鲁棒性。这种类型的测试可以在细胞克隆选择期间进行,有助于选择更鲁棒的表型,更适合灌注操作。在ATF和TFF系统中,通过空心纤维管腔的细胞暴露于剪切应力。研究了增加这些纤维中循环流量对HEK293细胞的影响,HEK293细胞比CHO细胞更敏感,实验证明TFF中的剪切应力造成的损伤比ATF大,如“基于过滤的细胞分离设备”部分所述。研究还强调了高剪切应力引起细胞凋亡,通过内质网应激、细胞骨架重组和外源信号通路发生。高剪切应力也与炎症相关基因的更高表达相关,与未折叠蛋白反应相关的基因,可以停止蛋白质翻译,增加参与蛋白质折叠的分子伴侣,降解错误折叠的蛋白质,并最终可能导致细胞凋亡。有趣的是,低剪切应力的应用对葡萄糖/乳酸代谢和PoI mRNA表达有益处。在另一项研究中,同一研究组观察到,在高于165×10^6细胞/mL的密度下,α-actinin增加,这是应力纤维组装的标志。这些纤维通常在暴露于机械力的情况下发生,对细胞形态发生很重要,提供细胞收缩性。应力纤维组装的现象可能是解释细胞直径在非常高的细胞密度下减小的机制,这可能在细胞碰撞和与设备壁接触的频率非常高的非常密集的细胞环境中观察到。
5.2.生物反应器曝气和非常高的细胞密度
氧气需求随着细胞密度的增加而增加,因此氧气供应可能成为强化过程的限因素。氧气气体传输,由氧气体积质量传递系数kLa表征,对于不同细胞密度所需的kLa可以根据细胞特定的氧气摄取率(qO2)估算为kLa = X C_O2 - CO2 / qO2,其中CO2和C_O2分别是液相中的溶解氧浓度和空气饱和溶解氧浓度。对于CHO细胞,报告的值在0.12和0.33 pmol cell^-1 hour^-1之间。Xu等人报告了一种将给料分批培养放大到30×10^6细胞/mL的策略。这种方法和报告的数据也可以应用于更高的密度。使用中报告的qO2,可以在图4.5c中观察到,对于低(0.125 pmol/cell/day)或高氧气消耗(0.333 pmol/cell/day)的CHO细胞系,在100×10^6细胞/mL时需要13或34 hour^-1的kLa值,对于200×10^6细胞/mL需要26或69 hour^-1,如果密度达到300×10^6细胞/mL,则需要39或103 hour^-1。尽管未发表,但这种密度在理论上对于小直径的细胞是可能的,例如15μm,因为这些细胞将占总体积的53%,见图4.5。回想一下,在非常高的细胞密度下,由于增强的机械应力环境,细胞直径可能会更小(见“剪切应力”部分)。同样值得注意的是,红细胞在血液中占总体积的50%,将这个系统与另一个已知的背景进行比较。图4.6a提供了在不同生物反应器中测量的kLa,可以观察到使用烧结喷嘴,在500 L生物反应器中测量到高达65 hour^-1的kLa值,在2000 L生物反应器中测量到25 hour^-1。烧结喷嘴对于在大规模高细胞密度下所需的氧气供应是必要的,而钻孔喷嘴通常不足够。此外,除了使用富氧空气外,通常还使用纯氧进行曝气,以确保足够的曝气。总之,目前为商业规模SSPP设计的生物反应器即使在非常高的细胞密度下也能维持足够的氧气供应。
另一方面,CO2积累在高密度时也可能成为一个问题,当分压>14 kPa或98 mmHg时,需要在大规模上制定CO2剥离策略。图4.6b显示,对于给定的气体流量,钻孔喷嘴或烧结喷嘴的二氧化碳质量气体转移非常接近。另一个无法从质量气体转移测量中扣除的因素是,与大气泡相比,由于它们的氧气在较长的停留时间内扩散出气泡,可能无法到达培养表面,从而导致它们的消失,并且因此恶化了微气泡的CO2去除效果。最后,当到达表面并破裂时,大气泡比微气泡的危害要小得多,它们的泡沫也不太稳定。基于这些原因,在大规模上通常采用双喷淋系统,建议用于高细胞密度,并且现在可用于一次性设备。双喷淋系统包括一个产生微气泡的喷嘴(烧结),旨在进行曝气,可能使用纯氧,以及一个产生较大气泡的喷嘴,专门用于使用氮气或空气进行CO2剥离。此外,这种策略实现了氧气供应和CO2剥离的分离,从而减轻了两者的控制。可以应用报告的用于给料分批过程的CO2剥离的不同方法,并且可能模型可以提供更好的预测工具。较低的CO2浓度也可以通过用其他化学物质替代培养基的碳酸氢盐缓冲液来部分支持。由于对氧气供应和CO2剥离的要求更高,生物反应器的均质化非常重要。请注意,对于小规模生物反应器,表面曝气足以去除CO2。然而,即使在小规模上,优化生物反应器的均质化和氧气供应以实现非常高的细胞密度也是至关重要的。事实上,对于20×10^6细胞/mL的细胞密度来说,令人满意的氧气供应策略在细胞密度增加时可能会变得次优,氧气需求增加可能导致泡沫过剩,危及培养。其中通过包括一个Rushton叶轮和一个船用叶轮来优化200 mL工作体积的生物反应器的叶轮系统,使其能够维持≥100×10^6 HEK293细胞/mL的培养,尽管这些细胞与CHO细胞相比更敏感。
5.3.粘度
与液体中颗粒数量增加时粘度呈二次方增加类似,细胞悬浮液的粘度随着细胞密度的增加而呈二次方增加。与介质相比,需要意识到在≥50×10^6细胞/mL的培养中粘度的增加,并确保在生物反应器中有效均质化。此外,死细胞的存在可能会产生细胞碎片和DNA,从而进一步增加粘度。在基于孔径≤0.65 um的过滤器的ATF和TFF细胞分离培养中,这些碎片大部分在生物反应器中积累,因为它们只能通过细胞出血部分去除。在高细胞密度下可能需要调整搅拌速率,以维持整个生物反应器中所需的湍流流动,避免梯度形成和次优混合时间。在高细胞密度下,这一点非常关键,因为氧气和营养物质非常迅速地被消耗。这也意味着溶解氧和pH传感器及控制器需要校准/调整良好、鲁棒,并提供快速响应。
5.4.培养基和收获
如前所述,大量培养基和收获是灌注过程的主要缺点。在采用浓缩给料分批的情况下,只进行一次收获,但还有其他缺点,例如在非常高的浓度下澄清细胞(见“引言”部分)。稳态灌注过程带来更高的产量,但需要每周一次(或更多)收获,或者需要集成捕获步骤。显然,努力降低细胞特定灌注率是该领域的主要焦点,这将在“过程优化”部分介绍。特别是对于SSPP,重要的是在生产阶段的稳态期间降低CSPR,而在生长阶段降低CSPR则不那么关键,因为这段时间较短,可能不会收获材料以确保PoI的均匀性。在一份报告中,汇集了几个生物制药公司的报告,确定CSPR ≤ 17 pL/cell/day被认为是商业生产的适当目标;例如,对于100×10^6细胞/mL的密度,灌注率为≤1.7 RV/day。几个小组已经为CHO细胞报告了这样低的CSPR,甚至对于HEK293细胞。现在用于CHO细胞的培养基和饲料浓缩物非常有效,尽管为给料分批开发,但它们也可以为灌注过程提供非常好的结果,前提是调整葡萄糖浓度以适应灌注模式,否则过多的乳酸产生可能会危及培养,见“过程优化”部分。此外,现在的培养基也是为灌注操作开发的。

5.5.细胞系稳定性
细胞系需要从工作细胞库的细胞扩增开始,一直到生产生物反应器运行结束,再加上生产结束细胞培养的期间保持稳定。在SSPP中,长时间的培养需要考虑细胞选择。基因重排可能由于基因组的可塑性而自发发生,并且随着时间的推移可能会发生生产力下降。确保选择压力的化学物质,如二氢叶酸还原酶系统的甲氨蝶呤或谷氨酰胺合成酶系统的甲硫氨酸亚砜(MSX),通常不在生产生物反应器中保持,因为它们的毒性。解决细胞系稳定性的战略最近由Chen等人回顾,得出结论,组学有助于该领域识别稳定和高产细胞系的代谢和表型特征,这可以帮助细胞工程确定相关的基因整合位点。
5.6.高细胞密度灌注过程相关因素概述
总之,在“灌注过程的特性、挑战和放大考虑”部分,图4.7总结了需要在高细胞密度灌注过程中注意的不同因素。
6.工艺开发
需要优化灌注工艺以获得所需的产品产量和质量概况,并确保在可重复性、稳健性和成本方面的性能令人满意。这包括两个主要部分,即培养过程本身和细胞分离操作。虽然需要优化某些工艺参数,但其他参数并非如此优化,但工艺开发应提供对其对细胞和工艺需求影响的良好理解,特别是对于大规模生产。因此,灌注工艺的开发可以概括如下:
(a) 培养过程的优化 (a.1) 培养基、浓缩饲料和添加剂,就组成和输送而言 (a.2) 策略,包括培养基更新率,即CSPR (a.3) 细胞密度 (a.4) 物理参数,即温度、pH值、DO、pCO2 (a.5) 渗透压 (a.6) 如果应用,细胞停滞 (a.7) 抗泡沫添加 (b) 培养过程的理解 (b.1) 细胞剪切敏感性 (b.2) 泡沫形成的影响 © 选择或优化细胞分离操作,具有特定于所用技术的参数,例如 (c.1) 通过细胞分离装置的循环速率 (c.2) 泵的设置及其速度 (c.3) 系统的尺寸,即选择模型或特定尺寸 (c.4) 滤器表面积、孔径、纤维数量、膜类型和材料对于ATF和TFF (c.5) 离心机Centritech的转子速度 (d) 对细胞分离装置影响的了解或理解 (d.1) 机械损伤对细胞的影响 (d.2) 产品保留(即产品筛选衰减) 参数a.3-a.6、b.1、b.2是针对任何操作模式优化的,灌注或分批加料,尽管它们在灌注中的含义可能与分批加料过程有所不同,而a.1、a.2、c1-c.4和d1、d.2是特定于灌注过程的。
6.1.缩小系统
缩小系统用于支持工艺和细胞系开发,以减少工作量并提高效率。对于工艺开发,理想情况下,它们应该像中试和大规模系统一样表现。然而,这对于小体积和非常小的培养体积来说是非常具有挑战性的,因此缩小系统可以提供工具来理解/预测工艺并优化其参数,但了解它们的局限性非常重要。培养过程的开发,项目a和b,以及细胞分离操作,项目c和d,可以单独解决,如果考虑到彼此的约束和局限性。没有同时模拟中试或大规模行为的非常小尺寸的生物反应器和细胞分离系统的系统,因此,在5L或10L生物反应器规模进行生物反应器规模的工艺开发并不少见,但这需要相当多的资源,包括劳动力、培养基和相关的物流。该领域因此发展了小型控制生物反应器系统,通过细胞分离确保灌注 - 尽管可能不是大规模设备的真正缩小模型 - 以及提供有助于培养过程调整的信息的高通量系统,而不是真正的灌注生物反应器系统。通常使用这两种系统的组合来提高效率,通过使用高通量系统获得的信息,然后在小规模灌注生物反应器中进行进一步的调整/开发,然后在中试规模上进行确认。当然,也使用了这种描述的迭代。
6.1.1.半灌注系统中的高通量
半灌注培养,也称为伪灌注,是在给定频率下进行培养基交换,例如每天一次、每天几次或每隔一天一次,同时在每次培养基交换时保持选定的细胞密度(或选定的水平)。它产生了一种模仿稳态灌注操作的培养,可用于培养基开发或更好地理解各种刺激对灌注过程的影响。一个流行的系统是tubespin,一个50毫升的离心管,带有通风盖,可以在同一个容器中进行培养和离心,减少手动操作。它通常用于高通量作为稳态灌注模型,类似地可以使用深孔板或ambr15系统。然而,操作是手动的,劳动密集型的,特别是当每天进行一次或多次培养基更换时。或者,在ambr15系统中引入了自动化,其中通过沉降进行培养基交换的细胞分离。在后者中,环境参数的反馈控制,pH值、温度和DO,提供了与tubespin相比更高的稳健性和个性化。然而,值得注意的是,这些系统并没有真正实现与以灌注模式运行的生物反应器相同的稳态高细胞密度。半灌注的一个缺点是,培养组分在培养基交换后的水平之间进行旅行,例如新鲜培养基,和下一次培养基交换。在tubespin系统中,这代表了相当大的变化,而ambr15中的自动化可以实现更频繁的培养基交换,例如每4小时部分培养基交换,这很好地模仿了灌注过程。后者系统的一个缺点是,在细胞沉降期间,培养混合和pH值和DO控制会中断30-45分钟,这会造成次优的DO和pH值变化,将这些培养限制在25-30×10^6细胞/毫升。
6.1.2.小规模灌注生物反应器系统
使用5-10升的生物反应器尺寸可以提供一个令人满意的缩小模型,特别是对于缩小培养过程和细胞分离操作,然而,如前所述,这些系统在劳动力和培养基方面需要相当多的资源。台式生物反应器通常用于小规模工艺开发,典型的工作体积为1-3升。这些可以在模拟生物反应器培养过程和提供有关细胞分离的良好信息方面提供良好的折中,同时尺寸相当小。ATF(ATF1和ATF2)、TFF、倾斜沉降器、声波沉降器和Centritech离心机的小尺寸与这种生物反应器类型兼容,可能使用间歇模式。在间歇模式下,使用为中试规模设计的细胞分离装置,在给定频率下短时间使用,例如,Centritech离心机可以每两小时使用5分钟。这些系统在监控和工艺控制方面与中试或大规模相似,具有良好的可扩展性参数a和b。如“工艺开发”部分介绍中所列。为了减少劳动力和培养基需求,已经开发了在灌注模式下操作的生物反应器,工作体积约为200毫升,例如基于Dasbox(Eppendorf)连接到ATF或TFF,细胞密度稳定维持在100×10^6细胞/毫升,甚至更高的最大密度峰值,或基于ambr250(Sartorius),ambr250灌注操作在ATF或TFF模式下,峰值在100×10^6细胞/毫升。如前所述,这些小规模生物反应器在非常高的细胞密度下操作的一个问题是泡沫形成的风险以及细胞分离装置引入的剪切应力。Schwarz等人优化了Dasbox生物反应器的搅拌,即叶轮配置,以获得高均质化,生成一个不仅适用于CHO细胞,也适用于更敏感的HEK293细胞的系统。还探索了其他灌注系统用于生物反应器的工作体积为70-350毫升,通过螺旋微流体细胞保留芯片,达到20×10^6细胞/毫升的密度。最后,最近推出了一种2毫升工作体积的生物反应器,通过基于膜的系统在灌注中操作,即ERBI(德国达姆施塔特默克KGaA),能够将细胞密度维持在100×10^6细胞/毫升。该系统不模拟大规模细胞分离装置,但可以有利地用于开发上述列出的参数a。它包括完全自动化的灌注、培养基添加和收获,以及基于在线监测细胞密度的细胞出血,除了反馈控制pH值、DO和温度外。
6.2.灌注过程中的关键性能指标
6.2.1.细胞密度、生长速率、细胞出血和活性
过程中潜在的最大细胞密度和活性取决于几个因素,如培养基、灌注率、细胞保留装置、商业规模的生物反应器kLa以及qO2、CO2的体积质量传递系数和生物反应器。考虑到这些因素,在工艺开发期间选择细胞密度,应确保工艺的稳健性,例如,为SSPP定义了一个恒定水平的稳态细胞密度设定点。在后者中,放置了一个在恒定水平控制细胞密度的装置,其中应用了细胞出血速率以平衡生长速率。这最好通过基于在线监测细胞密度的反馈控制来实现,例如使用生物阻抗探头。值得注意的是,ERBI生物反应器中的细胞密度是通过光密度探头进行监测和控制的,即给出总细胞密度的估计,这产生了可靠的SSPP控制。或者,在工艺开发过程中,可以通过手动调整的连续泵进行细胞出血。当然,重要的是要确保细胞分离装置在培养过程中具有可靠和稳健的功能。
由于PoI在细胞出血中被丢弃,因此重要的是要确保在稳态时生长速率降低,同时保持高活性。引起部分细胞停滞的策略与分批加料过程相似,例如低温或添加化学物质,如丁酸、丙戊酸或戊酸,并且经常用于灌注过程中糖蛋白的生产。细胞停滞可以与PoI的细胞特异性生产力qPoI的增加相关联。当应用低温时,通常观察到高于37°C温度的活性,因此这也可能导致延长运行长度。然而,丁酸、丙戊酸或戊酸的补充会导致细胞活性降低(以剂量依赖性方式),因此应该评估这些化学物质,并仅在它们增加qPoI的情况下采用。另一种方法是利用高渗透压可以导致细胞生长减缓的事实。通过调整培养基中的钠和钾水平实现高渗透压,这种策略也可能潜在地增加qPoI。通过减少营养物质来减缓细胞的主要代谢,例如通过减少CSPR,也具有吸引力。然而,应该意识到,不应耗尽基本底物,如基本氨基酸或维生素,因为这可能导致凋亡。另一个风险是,降低CSPR导致生长速率降低,也可能恶化产品生产力或质量。
当灌注率降低时,细胞出血率的影响增加。这在以下示例中很容易说明。在以3RV/天的灌注率进行的SSPP中,0.3RV/天的细胞出血代表PoI的10%损失,而同样的0.3RV/天的细胞出血在灌注率为1RV/天时代表PoI的30%损失。在图4.8中给出了这种效应的模拟,包括筛选衰减,代表了收获中的产品回收,指示收获体积生产力,作为SSPP中灌注率和出血率的函数。与较高的灌注率相比,低灌注率(<1.5天-1)的PoI损失更高。还可以看到,非常高的出血率会导致体积生产力严重降低,最终在出血率和灌注率均为0.5RV/天的极端情况下导致收获的PoI消失。细胞分离装置的产品保留强调了这种效应,如图4.8b所示,50%筛选,与图4.8a,100%筛选相比。
6.2.2.产品生产
过程的体积生产力QPoI,收获由细胞密度、该细胞密度下的细胞特异性生产力qPoI和产品筛选决定。运行的总生产力Htot_POI是随时间积累的收获PoI产量每生物反应器体积,QPoI,收获,见“产品利益”部分。重新排列方程4.12和4.14,在稳态下,得出以下结论:
并回忆方程 4.15。
POI随着细胞密度的增加而增加,前提是qPoI保持不变。POI细胞特异性生产力qPoI可能受到工艺条件的影响,例如培养基、进料、添加剂、CSPR、副产品和物理环境。我们观察到qPoI在细胞密度达到160×10^6 CHO细胞/mL时仍能维持,并且这对产品质量也是如此。重要的是要记住,细胞出血率等于生长速率,代表产品损失。图4.9通过模拟说明了细胞密度、筛选和出血率对Htot POI的影响。当细胞密度增加、筛选增加或出血率降低时,收获的POI量更高,这当然是额外的。正如图4.8所示,非常高的出血率可能导致丢弃的产品比例高于收集在收获罐中的产品比例。
6.3.工艺优化
6.3.1.CSPR优化
如前所述,使用CSPR是一种基于以下原则的常用方法:在给定的细胞密度下,包括添加剂和进料浓缩物在内的培养基的更新,适用于另一个细胞密度。据报道,在恒定的CSPR下,从5到120×10^6细胞/mL的CHO细胞培养中,代谢组和蛋白质组的轮廓得以保持,产生mAb。CSPR最小化的目标是减少新鲜培养基和收获的体积。在细胞生长期间、稳态或浓缩进料批处理期间,可以应用恒定的CSPR。对于稳态灌注过程,可以为细胞生长阶段和稳态生产阶段采用不同的CSPR值,这些阶段之间有(或没有)培养基的切换。在生长阶段,目的是尽可能快地增加细胞密度,并且可以决定丢弃产品,因为质量可能不同。在生产阶段,细胞生长减少以最小化细胞出血中的产品损失,如“产品生产”部分所述。生长和生产阶段因此可以从不同的培养基和不同的培养基更新中受益。在生产阶段,鉴定出的生产培养基在最低CSPR(CSPRmin)下更新,必须稳健地支持高POI生产力、高细胞健康和令人满意的代谢轮廓,以提供所需的产品质量属性,例如副产品的产生不应超过会恶化POI质量的限度。当然,培养基可以与减少CSPR的努力一起修改/丰富。如“培养基和收获”部分所述,17 pL/细胞/天的CSPRmin被指定为工业过程的目标。此外,灌注率也可以由POI在生物反应器中的停留时间决定,这对于不稳定的糖蛋白非常重要。通常采用的识别CSPRmin的策略是“推向低”优化。在这种方法中,灌注率逐步降低,同时,对于每一步,细胞密度在几天内保持在稳定的稳态水平,同时监测培养性能。每一步7天的时间允许收集3-4天的稳态数据,而过渡期约为3-4天。基因表达分析表明,大多数转录本在大约4天内达到稳态。如果由于操作限制,例如细胞分离装置、收获能力,或对于在生物反应器中POI停留时间限制已知的不稳定糖蛋白,已经决定了灌注率,灌注率保持在期望的水平,细胞密度逐步增加,探索减少CSPR值的效果。表4.1列出了不同CSPR和目标细胞密度的报道实例,可以看到,即使对于大于100×10^6细胞/mL的细胞密度,也有报道称CSPR非常低,小于17 pL/细胞/天。此外,为了节省培养基消耗,已经研究了在高细胞密度灌注中回收使用过的培养基,这在90年代就已经探索过。
6.3.2.培养基优化
如上一节所述,CSPR的范围及其最小值CSPRmin取决于培养基,这被描述为对培养基深度的依赖。用于灌注操作的培养基可以从批处理/进料批处理过程的现有知识中推导出来。如果采用适当的策略,包括对灌注和进料批处理模式中营养物质消耗和副产品积累的不同动态的认识,进料批处理培养基和进料浓缩物在灌注模式下可以表现出非常好的表现。CSPR的降低可以利用培养基中关键营养物质如氨基酸、维生素或脂类的富集。理想情况下,当在推向低优化实验期间CSPR降低时,应测量这些物质,并在培养基中补充以补偿其耗尽。实际上,当培养基富集时,培养基沉淀的风险是一个问题。这可以通过减少培养基中的盐和缓冲液浓度来解决,他们重新利用了进料批处理培养基进行灌注过程。另一种可能的补充方法是使用多个进料。
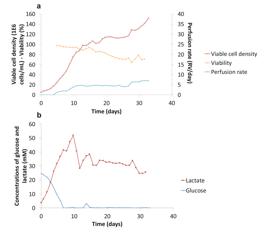
在灌注模式下,培养基或进料浓缩物中的葡萄糖浓度可能导致乳酸水平过高,这对细胞是有毒的。如在“副产品和底物”部分的理论分析中所述,高浓度的乳酸比高浓度的氨更有可能对细胞健康构成威胁。图4.10给出了一个说明,可以观察到乳酸浓度在第10天超过了50 mM,而生物反应器中残留的葡萄糖浓度几乎为0。必须记住,在灌注过程中,培养基的更新在物理上消除了培养物中的一部分乳酸,然而新鲜的培养基重新引入了葡萄糖。这意味着葡萄糖的可用性可能非常高,并产生大量的乳酸。同样重要的是要强调,在第7天后残留的葡萄糖浓度非常接近0。因此,基于生物反应器中葡萄糖浓度调整灌注率的策略,如进料批处理过程所建议的(即当残留葡萄糖浓度过低时添加更多的培养基)是不恰当的。相反,策略应该是在工艺优化期间考虑将葡萄糖(或糖)的输送与培养基的其余部分分开考虑。图4.10所示的结果是我们开发出一种系统的方法来输送葡萄糖并避免过高的乳酸形成之前发表的先前工作。这种方法,目标给料策略,简称为TAFE,通常适用于灌注过程中的底物,并在下面针对葡萄糖进行描述,然后推广到其他糖。它也适用于氨基酸的输送。
另一种限制乳酸产生的策略,高端pH控制灌注,HIPCOP,由辉瑞的Hiller及其合作者开发,源自他们为进料批处理过程开发的策略,HIPDOG。在这种方法中,高端pH通过自动添加含有葡萄糖的培养基来控制,这种基于葡萄糖的添加导致乳酸的产生,从而导致pH降低。灌注培养基也含有乳酸作为碳源。这种策略导致整体灌注率由细胞密度驱动,并减少葡萄糖的输送。
6.3.3.针对糖类的目标给料TAFE
目标给料TAFE的原理是,操作者选择细胞特异性底物(这里指葡萄糖)的摄取率,并通过应用的底物输送强制细胞执行,该输送基于灌注率和灌注培养中的细胞密度计算。选择的细胞特异性摄取率被称为目标细胞特异性摄取率,qt_galruceotse,并选择以根据细胞的需要获得这种底物的适当可用性,从而减少副产品乳酸的产生。它还允许调节产品的糖基化,如下所示。得益于TAFE设计,灌注培养基中或单独进料中的葡萄糖浓度,Cglucose, in,根据目标细胞特异性摄取率确定,如下所示。让我们重新排列方程4.10如下;
如果葡萄糖的输送正好满足细胞根据目标细胞特异性摄取率qtarget_glucose的需求,但没有过量,可以假设Cglucose为0,Cglucose, in可以根据方程4.19表示如下:

目标细胞特异性摄取率qt_galruceotse的选择可以根据对细胞的先验知识来确定,也可以通过研究不同qt_galruceotse值对POI生产力、副产品形成、细胞生长和产品质量的影响来进行实验调整。
为此,在一周的稳态期间应用了不同的Cglucose, in,对应于不同的qtarget_glucose,并研究了培养性能。这一概念是在2016年在Chotteau实验室开发的,用于HEK293细胞的灌注培养,细胞密度高达80×10^6细胞/mL,在那里它已经成功地应用于四种HEK293细胞系,细胞密度高达120×10^6细胞/mL,以及四种CHO细胞系,细胞密度高达180×10^6细胞/mL的许多灌注培养,并且已经扩大到100×10^6细胞/mL的中试规模。对于CHO细胞和HEK293细胞,qtarget_glucose为1.0 pmol/细胞/天在细胞生长和POI生产力方面是完全令人满意的,并且导致qlactate远低于0.5 pmol/细胞/天,在0.2到0.5 pmol/细胞/天之间。qtarget_glucose为1.2 pmol/细胞/天与qlactate约为0.6 pmol/细胞/天有关。图4.11给出了HEK293细胞培养的说明,可以看到应用qtarget_glucose为1.2 pmol/细胞/天,然后是1 pmol/细胞/天,分别产生了低于10 mM和8 mM的乳酸浓度,而残留的葡萄糖浓度接近0,对于维持在不同稳态水平高达约72×10^6细胞/mL的灌注培养,细胞活力非常高,超过90%。
TAFE概念可以推广到其他糖类,也可以推广到其他底物,如氨基酸。Zhang等人将这种方法应用于葡萄糖、甘露糖和半乳糖的联合给料。尽管这些糖并不是完全可以互换的,但CHO细胞可以将它们作为能源和糖基化底物,但它们各自的摄取率是不同的。这些糖的目标消耗率qtarget_si,对于si = 葡萄糖、甘露糖或半乳糖,可以事先决定,考虑到已知的最大摄取率,例如半乳糖的最大摄取率为0.4 pmol/细胞/天。当同时提供不同的糖时,由操作员选择qtarget_si的总和qtarget_sugar,T。考虑到将方程4.20推广到这些糖类,进料介质中每种糖的浓度可以按如下方式确定;

qtarget_sugar,T的值为1.2和0.8 pmol/细胞/天,并且在生产mAb的CHO细胞灌注培养中进行了葡萄糖、半乳糖和甘露糖的不同给料。这种策略使得这些糖的同时消耗成为可能,尽管通常由于其更快的摄取率,葡萄糖会被优先吸收,见图4.12。有趣的是,它还导致了不同的糖基化轮廓,提供了调节和控制这一质量属性的工具(见图4.12)。TAFE策略是工艺开发的工具。当一个工艺通过TAFE优化后,它可以“翻译”成使用包括葡萄糖在内的培养基或进料浓缩物,其浓度是根据TAFE选择的。也可以选择一个qtarget_sugar范围,并平衡CSPR和细胞密度,同时使用已经包括特定浓度葡萄糖的商业培养基和进料浓缩物。在100×10^6细胞/mL的SSPP中实现了中试规模,在与连续纯化过程集成的灌注过程中。

6.3.4.针对氨基酸的目标给料TAFE
上述为糖类开发的方法是用于氨基酸的。通过适当平衡进料批处理过程的基础培养基和进料浓缩物,迅速开发了高细胞密度灌注过程,该过程在CHO细胞中生产酶。为此,平衡旨在获得关键氨基酸和葡萄糖的细胞特异性消耗率,这些消耗率是从使用TAFE策略的SSPP和浓缩进料批处理中选择的,两者都达到了100×10^6细胞/mL。TAFE策略也被用于一项旨在使用实验设计方法优化氨基酸的研究,见“实验设计”部分。
6.3.5.实验设计
实验设计可以用于培养基和工艺优化。可以设置筛选实验,研究不同培养基组分、混合物或CSPR在不同稳态下对培养性能的影响。同样,可以研究不同pH或温度的影响,因为在每种条件下,不同的稳态在几天内达到。优化的目标可以是最大化POI体积生产力qPoI、细胞活力,最小化细胞生长速率、副产品产生速率和/或实现所需的质量轮廓。如前所述,在稳态下,通过最大化qPoI以及确保细胞生长速率不是过高,可以获得最大的POI体积生产力,因此可能最高的qPoI并不是最优的,因为它与高生长速率相关联。分数阶实验设计用于筛选灌注培养的进料补充物。随后,专注于选定的进料,使用二次模型研究相互作用并实现培养基优化。为此,研究在摇瓶中进行批处理实验,随后在管式纺丝中进行伪灌注,最后在生物反应器中进行。Kuiper采用了一种类似的基于进料批处理培养基和进料的方法,通过DoE重新用于灌注。培养基优化侧重于使用基于单纯形中心点DoE方法的原型培养基,该培养基的氨基酸组成减少,允许筛选**氨基酸混合物。单纯形中心点DoE基于以不同比例混合不同的候选混合物,总是加起来等于100%,因此该方法的优点是可以减少过高渗透压或培养基沉淀的问题。研究首先在管式纺丝中进行筛选,然后通过ERBI微生物反应器中的DoE优化选定的氨基酸,并在搅拌罐生物反应器中确认。氨基酸浓度是根据TAFE策略决定的。
7.展望
灌注过程满足了生物制药领域在生物制药需求不断增长的情况下对强化的需求。抗体在这一类中占有很大比例,然而,多功能分子也带来了新的挑战,其中灌注对体积生产力和产品质量有所帮助。强化依赖于增加的细胞密度,这也支持了N-1步骤中的传统进料批处理过程。强化灌注过程的小占地面积非常吸引人,因为它们与一次性设备兼容,以及这在灵活性、放大潜力、环境影响等方面所代表的优势。将灌注过程与纯化过程集成是一些公司正在探索的额外可能性。灌注模式对于先进治疗药物产品(ATMPs)中的细胞健康和工艺性能也很有趣,这是一个可以从生物分子生产过程中有利地借鉴学习的领域。大约10年前,对灌注过程及其开发缺乏能力和知识是一个担忧。这种情况已经改变,很明显,这种类型的强化将在生物制药行业中以不同的水平保持。

版权声明:本文内容由互联网用户自发贡献,该文观点仅代表作者本人。本站仅提供信息存储空间服务,不拥有所有权,不承担相关法律责任。如发现本站有涉嫌侵权/违法违规的内容,请联系我们,一经查实,本站将立刻删除。
如需转载请保留出处:https://51itzy.com/kjqy/207809.html