目录
一、盒图的图形结构
二、盒图的应用
1.输入三角形三边长、判断三边构成的是等边、等腰,还是一般三角形,请画出此程序对应的N-S图。
2.请用N-S图设计一个计算5的阶乘的程序。
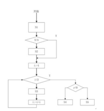
3.请将下列流程图转换成N-S图。
4.请根据下列伪码画出对应的N-S图。
一、盒图的图形结构
Nassi和Shneiderman提出了一种符合结构化程序设计原则的图形描述工具,称为盒图,又称为N-S图(以两个人的名字的第一个字母组成)。在N-S图中,全部算法写在一个大框图内,这个大框图由若干个小的基本框图构成,可以表示顺序、选择和循环三种基本控制结构,如图5.4所示三种图形结构。
(a) 顺序;(b) 选择;(c) CASE多分支;(d) 循环;(e) 调用子程序A 图5.4 盒图的基本符号

(1)顺序型:在顺序型结构中先执行A,后执行B。
(2)选择型:在选择型结构中,如果条件P成立,可执行T下面的内容,当条件P不成立时,则执行F下面的内容;另一种选择型结构中,给出了多出口的判断图形表示,P为控制条件,根据P的取值相应地执行其值下面的各框内容。
(3)WHILE重复型:在WHILE重复型循环结构中先判断P的值,再执行S,其中,P是循环条件,S是循环体;UNTIL重复型循环结构中,先执行S,然后判断P的值。
二、盒图的应用
1.输入三角形三边长、判断三边构成的是等边、等腰,还是一般三角形,请画出此程序对应的N-S图。
2.请用N-S图设计一个计算5的阶乘的程序。


3.请将下列流程图转换成N-S图。

4.请根据下列伪码画出对应的N-S图。
GET(a[1],a[2],...a[10]); max=a[1]; max2=a[2]; FOR i=2 TO 10 IF a[i]>max max2=max; max=a[i]; ELSE IF a[i]>max2 max2=a[i] ENDIF ENDIF ENDFOR PUT(max,max2) END
讯享网


版权声明:本文内容由互联网用户自发贡献,该文观点仅代表作者本人。本站仅提供信息存储空间服务,不拥有所有权,不承担相关法律责任。如发现本站有涉嫌侵权/违法违规的内容,请联系我们,一经查实,本站将立刻删除。
如需转载请保留出处:https://51itzy.com/kjqy/19889.html