标准化(Standardization)和归一化(Normalization)
标准化和归一化,请勿混为一谈,透彻理解数据变换

讯享网
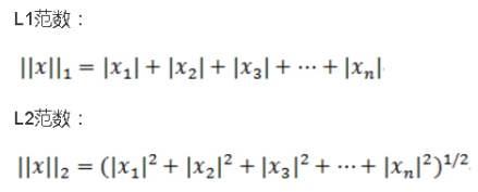
L1-normaization就是每个元素/L1范数
L2-normaization就是每个元素/L2范数


正则化(Regularization)
正则化完全不同,是为了防止过拟合在loss函数后面加了个正则项
L1正则就是后面加个L1范数
L2正则就是后面加个L2范数
至于这俩的区别:

右边L2正则会让参数尽可能非0即1,即稀疏性
标准化,归一化,正则化标准化 Standardizat 和归一化 Normalizatio 标准化和归一化 请勿混为一谈 透彻理解数据变换 L1 normaization 就是每个元素 L1 范数 L2 normaization 就是每个元素 L2 范数 正则化 Regularizati 正则化完全不同
标准化和归一化,请勿混为一谈,透彻理解数据变换

讯享网
L1-normaization就是每个元素/L1范数
L2-normaization就是每个元素/L2范数


正则化完全不同,是为了防止过拟合在loss函数后面加了个正则项
L1正则就是后面加个L1范数
L2正则就是后面加个L2范数
至于这俩的区别:

右边L2正则会让参数尽可能非0即1,即稀疏性
版权声明:本文内容由互联网用户自发贡献,该文观点仅代表作者本人。本站仅提供信息存储空间服务,不拥有所有权,不承担相关法律责任。如发现本站有涉嫌侵权/违法违规的内容,请联系我们,一经查实,本站将立刻删除。
如需转载请保留出处:https://51itzy.com/kjqy/17838.html