点击上方”蓝字”关注我们!


五年级上册数学期中测试卷
(时间:60分钟 分数:100分)
班级: 姓名:
一、填空题。(每题2分,共20分)
1、一个最简真分数,它的分子、分母的乘积是12,这个分数是( )或( )。
2、有一个三位数,它的十位上的数字是最小的质数,如果这个三位数能同时被2、3、5整除,这个三位数最大是( )。
3、在公路的一边种下21棵树(两端都种),每两棵之间距离是4米,这条路长( )米,如果在路的另一边每隔8米装一盏路灯(两端都不装),要装( )盏路灯。
4、一个正方体棱长扩大2倍,表面积扩大( )倍,体积扩大( )倍。
5、一个盒子里有8个白球、5个红球和2个蓝球,从盒中摸一个球,摸出( )球的可能性最大,摸出( )球可能性最小.
6、一个数既是36的因数,又是36的倍数,这个数是( ).
7、工人叔叔将一根圆木锯成3段需要6分钟,照这样计算,要将这根圆木锯成20段,需要( )分钟.
8、12和18的最大公因数是( ),最小公倍数是( )。
9、三个连续自然数,中间的一个是n,其余两个分别是( )和( )。
10、一根3米长的方钢,把它横截成3段时,表面积增加80平方厘米,原来方钢的体积是( )。
二、判断题(对的打“√”,错的打“×”。每题2分,共10分)
1、一个自然数不是奇数就是偶数。( )
2、如果把一个角的两条边延长,这个角就变大了.( )
3、每两个面积单位间的进率都是100,每两个体积单位间的进率都是1000。( )
4、一个假分数不能化成整数就一定能化成带分数.( )
5、所有的奇数都是质数。( )
三、选择题。(每题1分,共5分)
1、小红的位置是(2,4),她往下移了2个位置后,表示的数对是( )
A.(0,4) B.(4,4) C.(2,2)
2、一辆汽车的油箱共装了50L汽油,油箱的( )是50L。
A.体积 B.质量 C.容积 D.表面积。
3、下面的四幅图中,能按虚线折成正方体的是( )。
A.
B.
C.
D.
4、计算9.9×25的简便方法是( ).
A.9×9×25 B.(10-1)×25 C.(10-0.1)×25 D.4.9×5×25
5、一个因数不变,另一个因数扩大10倍,积( )。
A.不变 B.扩大10倍 C.缩小10倍
四、计算题。(共33分)
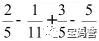
1、直接写得数。
-
=
-
=
+
=
+
=
-
= 7+
= 1-
=
-
=
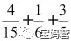
2、计算下面各题,怎样简便就怎样算。



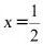
3、解方程.

五、作图题。(共8分)
1、画出下面的图形绕点O顺时针旋转90°后得到的图形.

六、解决问题。(每题4分,共24分)
1、五年级同学参加大扫除.一班来了48人,二班来了54人,如果把两个班的学生分别分成若干小组,要使两个班每个小组的人数相同,每组最多多少人?
2、淘气和笑笑一共有357.5元,如果把淘气的钱数的小数点向右移动一位就和笑笑一样多,笑笑和淘气分别有多少元?
3、学校食堂买来240千克大米,如果再买72千克就够吃8天了.平均每天吃多少千克?
4、芳芳在三个超市买同一种乳酸菌饮料.在甲超市里15元可以买7盒;在乙超市里17元可以买8盒;在丙超市里9元可以买4盒.请你帮芳芳算一算,哪家超市最便宜?
5、小明和爸爸每天围绕街心花园晨跑,小明15分钟跑一圈,爸爸12分钟跑一圈.如果父子两人同时同地起跑,至少多少分钟后两人再次在起点相遇?此时,爸爸和小明各跑了几圈?
6、甲乙两城相距263.2千米,一辆客车2.8小时行完全程,一辆货车用3.5小时行完全程.客车的速度比货车的速度快多少?
参考答案
一、填空题。(每题2分,共20分)
1、

2、720
3、80 9
4、4 8
5、白 蓝
6、36
7、57
8、6 36
9、n﹣1 n+1
10、6000立方厘米
二、判断题(对的打“√”,错的打“×”。每题2分,共10分)
1、√

2、×
3、×
4、√
5、×
三、选择题。(每题1分,共5分)
1、C
2、C
3、A
4、C
5、B
四、计算题。(共33分)
1、
;
;
;
;
;
;
2、1
;
;
;
;
;
。
3、

五、作图题。(共8分)
1、如图:

六、解决问题。(每题4分,共24分)
1、6个
2、笑笑有325元,淘气有32.5元
3、39千克
4、乙超市
5、60分钟,5圈,4圈
6、263.2÷2.8-263.2÷3.5=18.8(千米)
家校联系
共促成长




END

版权声明:本文内容由互联网用户自发贡献,该文观点仅代表作者本人。本站仅提供信息存储空间服务,不拥有所有权,不承担相关法律责任。如发现本站有涉嫌侵权/违法违规的内容,请联系我们,一经查实,本站将立刻删除。
如需转载请保留出处:https://51itzy.com/kjqy/171527.html