如果你也喜欢尝试想去了解这个世界更多的东西,请关注:

讯享网
假设检验在统计分析中具有重要的作用,本篇文章主要概述如何对总体均值,成数,方差进行检验分析。
一、Z-临界值规则:先把显著性水平α值转化为一定分布下的临界值,然后在计算检验统计值,最后把检验统计值与临界值相互比较来判断是否拒绝原假设。在双侧检验时,α平分在两侧,临界值为±Zα/2(正太分布的情况)或±t(α/2,n-1)(t分布)。在正太分布时,α为0.05时,Zα/2=1.96。在单侧检验时,α处于分布某一侧,左单检验处于左侧,临界值表示为-Zα或-t(α,n-1),右单检验处于右侧,临界值表示为Zα或t(α,n-1)。在正太分布下,α为0.05时,Zα=1.64.

如果检验统计量值的绝对值小于临界值,就接受原假设;若检验统计量的绝对值大于或等于临界值,就拒绝原假设。临界值将样本统计量的概率分布区域分成了两个部分:超过临界值区域称作拒绝域,不超过临界值的区域称作接受域。

P-值规则类似。先计算检验统计值Z,然后求出统计量分布曲线图中与检验统计值相对应称之为观测到的显著性水平P值,最后把观测到的P值与显著性水平比较决定拒绝或接受原假设。
几种常见的假设检验:一、总体均值的检验:(1)总体服从正态分布且方差已知:总体服从正太分布N(X,S2),那么样本均值也服从正态分布N(X,S2/n).统计量Z服从正太分布。当原假设为真时,构造检验统计量:

(2)总体分布及方差都未知但样本容量n>30:根据中心极限值定理,样本均值服从正太分布。由于总体分布未知,用样本方差来估计总体方差,这是统计量服从正太分布。当原假设为真时,构造检验统计量:

(3)总体为正态分布,但方差未知且为小样本:用样本方差估计总体方差,此时统计量t服从自由度为n-1的卡方分布。如果原假设成立,构造检验统计量为:

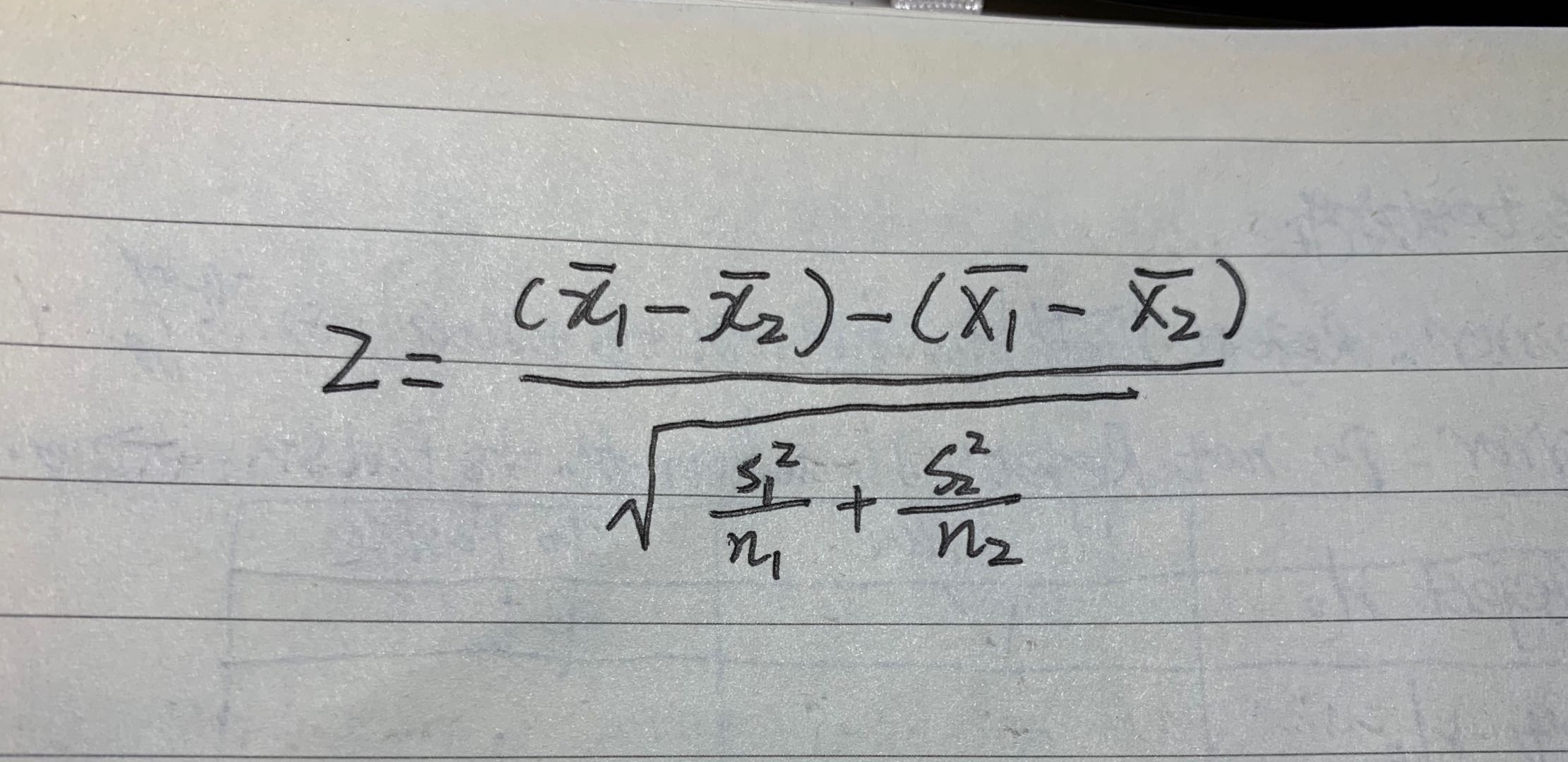
二、两个总体均值之差的检验两个总体均值分别为X1和X2,总体标准差分别为S1和S2,来自两个总体的样本容量n1和n2,样本均值x1和x2。检验的目的是两个总体的均值是否相等,或者两个总体的均值之差的是否为零。假设检验如下:

(1)两个总体服从正太分布且方差已知根据抽样分布原理。统计量Z服从标准正太分布:

若原假设成立,构造检验统计量为:

(2)两个总体方差未知但为大样本用样本方差来估计总体方差,当样本容量都足够大时,统计量Z服从标准正太分布:

当原假设成立时,构造检验统计量:

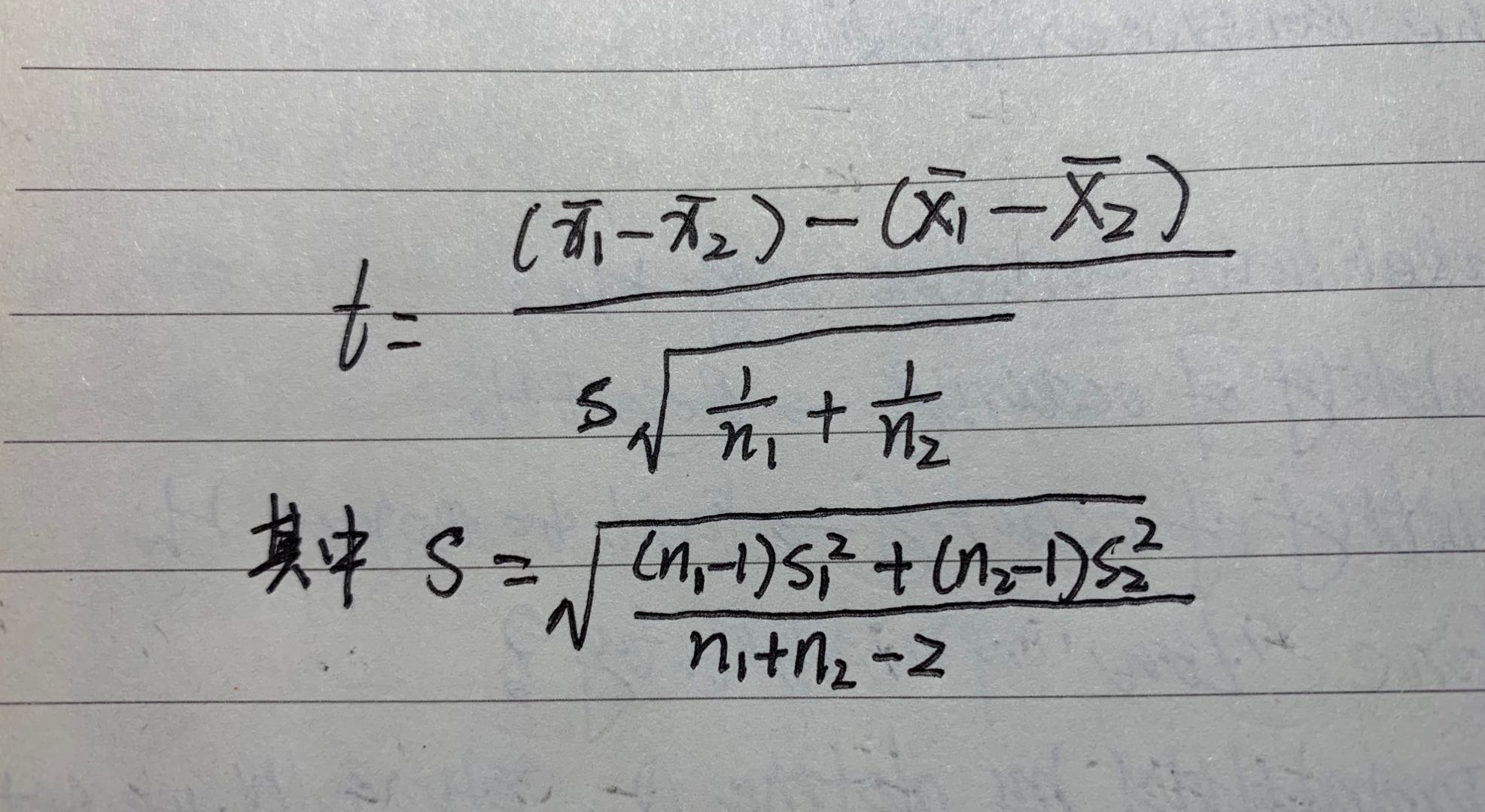
(3)若两个总体服从正太分布,但差未知且为小样本此时当n1和n2都不够大时,如下统计量服从自由度为n1+n2-2的t分布:

当原假设成立时,检验统计量为:
例子:重庆市居民随机抽查100人,平均消费支出1300元,标准差为80元;成都市随机抽查了120人,平均消费为1320元,标准差为100元。问在5%的显著性水平下,重庆市和成都市的消费水平是否有显著性差异?
分析:是双侧检验的问题,原假设两城市消费水平相等。样本均值和标准差都已知;可计算处检验统计量Z为:

在α=5%的显著性水平下Zα/2=1.96,计算得到 |Z|=-1.65<Zα/2=1.96,在接受域内,即认为两个城市的消费水平无显著性差异。

三、总体成数的检验
前面谈到总体均值的检验。接下来看看总体成数的假设检验问题。
成数:合格率、命中率、电话普及率、药物的治愈率…
判断总体成数P是否等于P0,建立如下假设:

根据抽样分布定理,当样本容量足够大时,nP和nP(1-P)都大于5时,样本成数p的抽样分布近似为正太分布,而如下统计量服从标准正态分布:

其中N一般很大,总体方差NP(1-P)/N-1近似为P(1-P),当原假设为真时,可以构造检验统计量:

对于给定的显著性水平α,可以通过临界值Zα或Zα/2来判断接受或拒绝原假设。
二、两个总体成数之差的检验两个总体成数P1和P2,来自两个总体的样本容量分别为n1和n2,样本成数分别为p1和p2。通过样本成数来检验两个总体成数是否相等,或者说两个总体成数之差是否为0.假设检验仍是:

当n1和n2都足够大时,使n1P1,n1P1(1-P1),n2P2,n2P2(1-P2)均大于5,两个样本成数之差的的抽样分布近似为正态分布:

用p1和p2来估计P1和P2,在原假设为真时,用两个样本的合成数作为两个总体成数的共同估计值:

因此,当原假设成立时,检验统计量为:

同样,对于给定的显著性水平α,可以通过临界值Zα或Zα/2来判断接受或拒绝原假设。
此外,还有用同样的方法对总体方差进行分析。
欢迎关注公众号:

喵:
版权声明:本文内容由互联网用户自发贡献,该文观点仅代表作者本人。本站仅提供信息存储空间服务,不拥有所有权,不承担相关法律责任。如发现本站有涉嫌侵权/违法违规的内容,请联系我们,一经查实,本站将立刻删除。
如需转载请保留出处:https://51itzy.com/kjqy/14761.html