在对控制系统进行分析的时候,角频率和频率之间的关系总是很容易搞混,需要具体探究一下角频率和频率之间到底是个什么关系,有助于我们对系统的性能分析。
1、角频率是什么?
角频率,也称圆频率,表示单位时间内变化的相角弧度值。角频率是描述物体振动快慢的物理量,与振动系统的固有属性有关,常用符号ω表示,角频率的单位是弧度/秒(rad/s)。
2、什么是频率?
物质在单位时间内完成周期性变化的次数叫做频率,常用f表示,单位为Hz。
3、两者之间的转换关系和区别
周期和频率都是描述交流电变化快慢的物理量,两者的关系为:


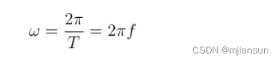
除了周期和频率描述交流电的变化快慢外,还可以用电角度(角频率)来描述。角频率用“ω”表示,单位为弧度/秒 rad/s 。因为电动势交变一周期,电角度就改变2π rad,而所需时间为T,所以电角速度(角频率)与频率的关系为:

由上式可知,周期、频率和角频率三者之间是相互联系的,如果知道其中一个,便可求得另外两个。例如我国电流系统中,交流电的频率是50Hz,则周期T=1/f=0.02s,角频率ω=2πf=314rad/s。美国、日本、西欧国家频率是60Hz,角频率ω=2πf=376.8 rad/s。

版权声明:本文内容由互联网用户自发贡献,该文观点仅代表作者本人。本站仅提供信息存储空间服务,不拥有所有权,不承担相关法律责任。如发现本站有涉嫌侵权/违法违规的内容,请联系我们,一经查实,本站将立刻删除。
如需转载请保留出处:https://51itzy.com/kjqy/14717.html