<h5>回顾 动态规划/(深度优先搜索)/回溯 算法框架</h5>
讯享网
借用二叉树来回顾一下之前学习的 动态规划/(深度优先搜索)/回溯 三种框架:
动态规划框架:
讯享网
动态规划的本质是将问题分解为多个子问题,找出最优子结构,得出状态转移方程,最后递推出结果。
重叠子问题、最优子结构、状态转移方程 动态规划三要素
(深度优先搜索) 与回溯框架:
- 动态规划属于分解问题的思路,着重点在于每棵子树。
- 算法属于遍历的思路,着重点在于每个节点。
- 回溯算法属于遍历的思路,着重点在于每个树枝。
(广度优先搜索) 算法详解
的核心思想:把一些问题抽象成图,从一个点开始,向四周扩散。 算法一般都会借助队列来遍历图中的所有节点,每遍历到一个新节点,就把与这个节点相连的其他结点加入到队列之中。 算法就是典型的例子。
与 的核心区别在于:找到的路径一定是最短的,但代价就是空间复杂度可能比大很多,从后文的代码框架就很容易看出来了。
算法框架
在介绍框架之前,我们先了解一下算法使用最多的场景,问题的本质就是让你在一个图中找到【start】到终点【target】的最短路径,这个例子听起来枯燥,但其实BFS算法都在干这个事 ,把这个本质弄清楚了,解决经过包装的各种问题才能得心应手嘛。
这个广义的描述可以有各种变体:
- 比如走迷宫,有的格子是围墙,那么从起点到终点的最短距离是多少?如果有的格子会有传送门【实施瞬间传送】呢,最短距离又是多少?
- 再比如说两个单词,要求你通过某些替换,每次替换可以增加、删除或替换一个字符,最少要替换几次呢?(这个在动态规划系列里提到过,表示 转换到所需要的最少操作数)
- 再比如连连看游戏,两个方块消除的条件不仅是图案相同,还得保证两个方块之间的最短连线不能超过两个拐点。玩连连的时候,游戏是如何判断最短连线不超过两个拐点的呢?
变体有很多,但本质就是在一个【图】中,找【start】到【target】的最短路径罢了,只是加了一些限制条件。
框架:
讯享网
队列 为的核心数据结构,泛指当前节点的所有邻接节点,如果这个图我们用邻接表的形式存储的话,其实就是节点对应的邻接链表,类似的在二维数组中,上下左右四面的位置就是相邻节点,也就是邻接节点。的主要作用是为了防止走回头路,已经遍历过的节点就不要再遍历了,这对于大部分可回头的问题是必须的,但是对于二叉树这种(没有子节点指向父节点的指针)是不需要的。
二叉树的最小高度()
我们通过 判断二叉树的最小高度 这道题来实践一下框架。
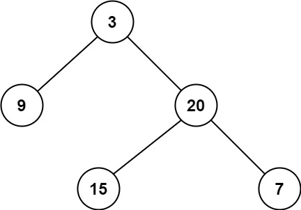
给定一个二叉树,找出其最小深度。
最小深度是从根节点到最近叶子节点的最短路径上的节点数量。
说明:叶子节点是指没有子节点的节点。
示例 1:

输入:root = [3,9,20,null,null,15,7] 输出:2
示例 2:
讯享网 输入:root = [2,null,3,null,4,null,5,null,6] 输出:5
提示:
- 树中节点数的范围在 内
怎么套框架呢,简单分析后不难发现,这道题的根节点 和 最靠近根节点的叶子节点 就是框架里的【start】与【target】。
if(cur.left == null && cur.right == null){ //一检测到叶子节点,立马结束 做出相应操作并结束程序,返回结果 }
现在我们只要对框架稍加改造,即可得出结果:
讯享网
这里注意循环与的配合,循环控制一层一层往下走,循环利用变量从左到右遍历每一层二叉树节点:

这一点非常重要,这个形式在问题中非常常见,但是在 Dijkstra 算法模板框架 中我们修改了这种代码模式,读完并理解本文后你可以去看看 算法是如何演变成 Dijkstra 算法在加权图中寻找最短路径的。
话说回来,二叉树本身是很简单的数据结构,我想上述代码你应该可以理解的,其实其他复杂问题都是这个框架的变形,再探讨复杂问题之前,我们解答两个问题:
- 为什么可以找到最短路径,而不行?
首先,看的逻辑,每增加一步,队列中的所有节点都往前迈一步(队列中存的是一层一层的节点),这保证了第一次到达【target】时的步数是最小的。!!!只是找到了最短路径的长度(从【start】到【target】的最少步数而已)。
如果想找到最短路径的整个路径,即最短路径经过了哪些节点,需要从【target】开始回溯,拿这个【求二叉树的最小深度】举例,我们从终点【target】开始回溯,依着父节点找,一直找到【start】,这条路径就是我们要找的最短路径。
其实也能找到最短路径,只是需要遍历所有的分支,遍历完才能得出最短的路径,而且是依靠递归堆栈来记录走过的路径,这些缺点大大增加了时间复杂度,而借助队列一次实行【齐头并进】,不用遍历完树的所有节点就可找到最短距离。
形象地说,是线,时面,单打独斗,一个节点就往深处走,是集体行动,一层遍历完了之后再进入下一层。
- 为什么可以找到最短路径,而不行?
虽然可以找到最短距离,但是空间复杂度较大,而所需要的空间复杂度就比较小。
还是拿刚刚的【二叉树最小深度】举例,在最坏情况下,的空间复杂度为最后一层的节点个数,也就是N/2,用Big O 表示的话也就是
O(N),而的空间复杂度也就是递归堆栈所占空间,最坏情况下为O(logN)。
一般来说,一般在寻找最短路径的时候用,其他时候还是用
打开转盘锁
你有一个带有四个圆形拨轮的转盘锁。每个拨轮都有10个数字: 。每个拨轮可以自由旋转:例如把 变为 , 变为 。每次旋转都只能旋转一个拨轮的一位数字。

锁的初始数字为 ,一个代表四个拨轮的数字的字符串。
列表 包含了一组死亡数字,一旦拨轮的数字和列表里的任何一个元素相同,这个锁将会被永久锁定,无法再被旋转。
字符串 代表可以解锁的数字,你需要给出解锁需要的最小旋转次数,如果无论如何不能解锁,返回 。
示例 1:
输入:deadends = [“0201”,“0101”,“0102”,“1212”,“2002”], target = “0202” 输出:6 解释: 可能的移动序列为 “0000” -> “1000” -> “1100” -> “1200” -> “1201” -> “1202” -> “0202”。 注意 “0000” -> “0001” -> “0002” -> “0102” -> “0202” 这样的序列是不能解锁的, 因为当拨动到 “0102” 时这个锁就会被锁定。
示例 2:
讯享网 输入: deadends = [“8888”], target = “0009” 输出:1 解释:把最后一位反向旋转一次即可 “0000” -> “0009”。
示例 3:
输入: deadends = [“8887”,“8889”,“8878”,“8898”,“8788”,“8988”,“7888”,“9888”], target = “8888” 输出:-1 解释:无法旋转到目标数字且不被锁定。
提示:
- 不在 之中
- 和 仅由若干位数字组成
这道题的密码锁和我们行李箱上的密码锁很类似,如果没有限制的话,我们直接向着密码拨动就行了【第一个位置的数字转换成密码对应位置的数字需要几步 + … + 最后一个位置的数字转换成密码对应位置的数字需要几步】。
但是现在有了这个限制条件,也就是说不能直接拨过去,可能需要绕一段路,这又该如何计算最少步数【最短距离】呢?
第一步,我们不管与限制条件,就思考一个问题,该怎么设计一个算法穷举所有可能的密码组合?
穷举呗,再贴合题目一点,如果只转一下锁,有多少种可能?很显然,有八种。四个位置,每个位置可以向上转,也可以向下转,总共八种可能。
比如从初始密码状态‘0000’开始,经过一次转锁操作,可以转成‘1000’,’9000’,’0100’,’0900’…等八种密码状态,再以这八种密码状态为基础,每个状态又可以延伸为另外八种状态。
仔细想想,这个问题就可以抽象为图的问题,每个节点有八个邻接节点,又让你求最短距离,这不就是典型的框架吗,我们先写一个适应这个问题的简陋的【先不考虑限制条件和】的框架:
讯享网
这段代码可以遍历所有密码组合,但是仍然不能解决问题,有以下问题还没解决:
- 会走回头路,比如说我们从‘0000’拨到‘1000’,但是从队列中拿出‘1000’时,可能还会拨出‘0000’,这样的话会产生死循环,我们需要建立一个集合。
- 没有终止要求,按照要求,遍历到【target】时就要结束遍历并返回拨动的次数。
- 没有对的处理,按道理这些【死亡密码】是不能出现的,也就是说你遇到这些密码时需要跳过。
只要稍作修改就可得出最终代码:
讯享网

版权声明:本文内容由互联网用户自发贡献,该文观点仅代表作者本人。本站仅提供信息存储空间服务,不拥有所有权,不承担相关法律责任。如发现本站有涉嫌侵权/违法违规的内容,请联系我们,一经查实,本站将立刻删除。
如需转载请保留出处:https://51itzy.com/kjqy/137304.html