1. 概述
1.1 概念
呼叫中心是以计算机电话集成(Computer Telephony Integration,CTI)系统为基础,将计算机的信息处理功能、数字程控交换机的电话接入和智能分配、自助语音处理技术、Internet技术、网络通信技术、商业智能技术与业务系统紧密结合在一起,将公司的通信系统、计算机处理系统、人工业务代表、信息等资源整合成统一、高效的服务工作平台。
1.2 类型
按呼叫类型可分为呼入型呼叫中心、呼出型呼叫中心和混合型呼叫中心;
按媒体形式可分为电话呼叫中心、IP呼叫中心、多媒体呼叫中心等;
按功能可分为资讯信息中心、售后服务中心、电话营销中心等;
按使用性质可分为自建式呼叫中心、外包型呼叫中心和托管型呼叫中心。
1.3 四个阶段
1.3.1 第一代呼叫中心是人工应答阶段
第一代呼叫中心由电话系统、公共电话交换网、业务系统、工作站、资料网组成。当客户需要帮助时,拨通特定服务号码,通过交换机连接到坐席电话中,坐席人员在和客户的通话中了解到客户需求,在计算机中查找相应信息并告诉客户。其功能较为单一,自动化程度偏低。

1.3.2 第二代呼叫中心是人工应答+语音自助阶段
第二代呼叫中心由电话系统、公共电话交换网、业务系统、工作站、资料网、IVR组成。其中关键性突破是采用了交互式的语音应答系统。

1.3.3 第三代呼叫中心是基于CTI技术的服务阶段
第三代呼叫中心加入了CTI技术,CTI将计算机技术应用到电话系统中,能够自动地对电话中的信令进行识别处理,并通过建立有关的话路连接,向用户传送预定的录音文件、转接来电等。
CTI技术不仅要处理传统的电路话音,还要处理包括传真、电子邮件等其他形式的信息媒体。CTI中间件与交换机之间通过数据线连接,可以向交换机发送指令,并从交换机接收数据。

1.3.4 第四代呼叫中心即NGCC(Next Generation Call Center,下一代呼叫中心)
NGCC是全新的呼叫中心技术,它基于全IP的平台,采用软交换构架,对外可提供VXML(Voice Extensible Markup Language,语音可扩展标记语音)的脚本化编程接口,处理视频、微信、微博等多媒体业务,它采用云计算构架,可实现虚拟化部署和动态容灾等。

传统呼叫中心技术与NGCC的比较:

2. 核心技术
一个完整的基于CTI技术的呼叫中心解决方案通常由以下几部分组成:电话接入设备、IVR、ACD、CTI服务器、录音设备、CRM(Customer Relationship Management,客户关系管理)、数据库服务器、普通人工坐席及相关网络设备等。
采用分层设计思想,可将呼叫中心系统的实现模型分为4层:接入层、流程控制层、业务处理层、资源层。

接入层主要负责提供呼叫建立、主叫号码获取、语音录制、语音播放、读取用户按键输入、呼叫转移、挂断检测等以及呼叫控制和语音卡底层相关的解决方案。接入层充分利用CTI技术,使得在同一时刻集中用户、合适的服务者及关联的关键数据成为可能。
流程控制层主要负责定义呼叫中心的流程,也就是用户接入后如何进行查询获取信息资源的过程。
业务处理层主要负责根据实际应用的需要,在接入层和流程控制层的基础上,加载相应的业务模块实现所需功能和系统业务的扩展。
资源层主要包括与业务处理层相关的语音文件、具体业务数据库中的数据、呼叫日志记录、主要根据业务处理层的要求,将相关的用户数据、具体业务数据库中的数据组织到一起后,及时返回给业务处理层使用,资源层主要解决了信息数据复杂的问题。
传统呼叫中心的业务流程:
1)呼叫进入交换机;
2)用户级交换机(Private Branch Exchange,PBX)应答,捕获主叫号;
3)播放语音菜单,呼叫人根据菜单提示选择;
4)主叫选择自动应答,则继续播放语音菜单;
5)主叫选择人工应答转PBX;
6)PBX寻找空闲的路由,并把呼叫转移到相应线路;
7)通过网路发送初始呼叫信息给坐席;
8)坐席计算机显示用户来电信息,使坐席人员对来电用户有预先了解;
9)坐席人员接通电话;
10)呼叫方、坐席任何一方挂机,PBX将中断呼叫;
11)坐席等待下一次呼叫。
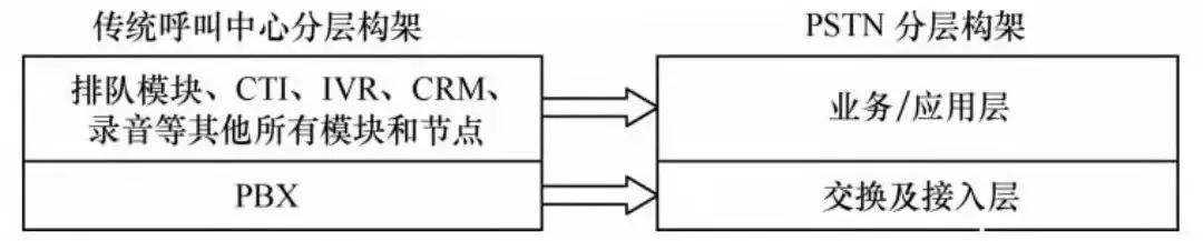
传统呼叫中心与PSTN(Public Switched Telephone Network,公共交换电话网络)分层的对应关系:

2.1 语音平台技术
2.1.1 ACD技术
自动呼叫分配(Automatic Call Distribution,ACD)又称自动排队机,是现代呼叫中心的组成模块,也是其核心技术。
ACD主要负责根据一定的路由算法批处理用户的来话呼叫,并把大量的呼叫进行排队,分配到具有相对应技能和知识的坐席人员,同时,还具有发布公告和存取相关数据的功能。
ACD不仅可以满足首先空闲出来的坐席代表被优先接入呼叫,而且能尽量平均分配呼叫的业务量,使整个呼叫处理的过程合理化。ACD的核心是排队策略、路由算法。
ACD排队算法:
1)线性加权优先级排队算法
分别对重要程度Importance及呼叫在队列中已等待时间乘以一个系数,再将两者相加以确定呼叫在队列中的位置。
呼叫优先级 = λ1 * Importance + λ2 * 呼叫已等待时间;λ1 + λ2 = 1,λ1为呼叫重要程度的系数(默认为0.8),λ2为等待时间的系数(默认为0.2),可对这两个系数根据具体情况设定,呼叫优先级的值越大,该呼叫在队列中位置越靠前。
新呼叫进入队列时,将从队列起始位置逐一比较,直到找到其合适位置则完成一次排队。
2)预测等待时间算法
可以构造基于平均服务时长的预测等待时间系统模型。
3)基于号码识别的路由选择ACD算法
在CTI服务器中加入一个自动号码识别模块,当一个呼叫到达时,该模块很快从数据库中调出该呼叫的历史记录。根据历史记录信息来判断客户最需要的应答资源是什么,前次呼叫中心为其服务的坐席人员是哪个,从而能够更快地把呼叫转移到适当的坐席上去。
4)负载均衡路由算法
此算法按照系统资源的空闲率进行路由分配,从而使得资源得到最大程度的利用。
5)基于坐席技能级别的路由算法
可以对坐席按照技能进行分组并指定不同的级别,ACD根据接入的呼叫所需提供的服务自动地将该呼叫分配到最合适的坐席。
2.1.2 IVR技术
过去的IVR仅停留在电话呼叫接通后,根据呼叫方选择的菜单回答简单的语音信息;而基于CTI技术的IVR具有了交互性,并且可以接收各种形式的输入,访问数据库并进行运算,以多种形式向呼叫方提供动态的、有用的信息,如有声的、传真、电子邮件、模拟的语音或数据以及其他媒体,发展成交互式信息应答。
IVR节点是对自动语音交互和导航功能进行逻辑处理和控制的部分:具有解析语音流程、指示媒体服务器播放语音、接收DTMF(Dual Tone Multi Frequency,双音多频)信号、转接电话、留言、收发传真等功能,从而实现完整的语音交互功能。
IVR是一个二次开发平台,用户可基于脚本和可视化的流程编辑器进行自定义流程开发,并对应地提供基于Web的可视化VXML流程编辑器和SCE(Service Creation Environment,业务生成环境)两套工具,具备非常强大的IVR流程开发能力,可实现自助服务、语音导航、IVR、电子传真、语音信箱、可变音、随路数据等多种业务系统,可支持对第三方数据库、各种数据接口(如SOAP(Simple Object Access Protocol,简单对象访问协议)、HTTP、Socket、FTP等)的访问,实现业务系统的无缝对接。
SCE是呼叫中心系统中间件平台的业务生成环境,支持可视化的方式对IVR流程进行编辑,后台转换为SCF(Switching Controller Foundation,交换控制功能单元)自定义的脚本编程语言。也可以手动编写脚本编程语音进行IVR流程的开发。
呼叫中心的IVR系统必须支持TTS(Text To Speech,语音合成)和ASR(Automatic Speech Recognition,自动语音识别)技术。
1)TTS
TTS是一种将输入的文本转换成语音的技术。TTS输入的文本包括两部分:纯文本(指的是语音的内容)和标记(用来改变语音的声调、速度、重读等)。
TTS引擎的处理过程:

文本处理是通过语音模型进行分词,消除单词的多义(如确定多音字的发音),并处理标记。
合成是把单词转换成语音。合成主要有两种,一种是基于规则的合成,主要是计算参数的轨迹,形成规则,完成语音的合成,采用的参数包括发音器官参数和声道模型参数;另一种是基于拼接的合成,合成器按照语音规则把预先录制的语音单元进行拼接,预先录制的语音单元的集合叫作音库,合成语音的音质和录音员的音质是一样的。
2)ASR
ASR是一种使用计算机来识别人通过电话或麦克风说话产生的语音信息的语音技术。
在ASR中用到的最主要的技术是隐马尔科夫模型(Hidden Markov Model,HMM)。这种技术通过判断每个相邻小区的语音信号最可能是哪一个音素来识别单词,因为词汇表里的单词其实就是音素的组合。通过一种叫作Viterbi(一种动态规划算法,一般用于序列的译码)的搜索过程来决定最有可能是哪一个因素序列。搜索局限于词汇表的单词所对应的音素序列。
ASR引擎的处理过程:

前端语音处理,完成端点(话音的起始点和结束点)检测、降噪等。
识别,根据声学模型、语言模型、语法进行识别。
产生识别结果,识别结果按照一定的文本结构返回。
ASR分为两种:一种是独立于人的识别,即不管是谁,只要他说的话是一样的,识别结果都是相同的,主要应用于人机交互;另一种是特定的人的识别,又叫声纹校验,主要用来进行身份验证。
语音识别系统的性能大致取决于4类因素;识别词汇表的大小和语音的复杂性;语音信号的质量;单个说话人还是多说话人;硬件平台。
2.1.3 录音技术
录音可以分为抓包(被动式)录音、主动录音(终端或网关将RTP(Real-time Transport Protocol,实时传输协议)流发给录音服务器)、终端录音、会议录音等。
1)抓包录音
抓包录音的结构和原理:

在这种方式中,VoIP录音仪通过数据交换机设置端口映射的方式得到相关IP坐席电话或IP媒体网关的RTP数据流,从而实现对于IP电话的录音。
这种方式对于PBX设备的要求低。扩展性好,但需要数据交换机的支持,同时只适合给IP电话录音,不适合其他类型的电话。
2)主动录音
主动录音的结构和原理:

媒体网关/IP电话主动将RTP媒体流复制,并将语音流传送给录音服务器。
这种方式需要PBX的支持,并且可能需要其配置一定的软件许可证。
3)终端录音
所谓终端录音,就是在坐席端录音,然后上传到服务器统一管理。坐席端录音的原理是,通过坐席端内置软终端记录收到和发送出去的所有语音RTP包,存为语音文件并压缩为相应格式。
终端录音方式需要通过网络将坐席端录的语音文件上传到中心机房的服务器。
4)会议录音
会议录音的构建和原理:

通过在媒体平台搭建会议桥的方式来实现对指定通话过程的录音。媒体平台对需要集中录音的通话建立三方会议,会议的参加方分别为主叫用户、话务员及录音通道。用户与话务员的通话会通过媒体平台实时保存在语音文件服务器。

录音文件存于文件服务器(为逻辑节点,可能和其他设备合设)上,每个坐席形成一个文件夹,相应的文件夹下每次录音都会在数据库中形成一条此次录音的记录,其中包含了录音的日期、时间、时长、主叫号码、被叫号码、坐席号等信息,以及存储在文件服务器上的录音文件名称(以递增序号作为文件名)。
ACD控制用户和坐席的信令流程,将用户终端和坐席终端的媒体流都搭接到媒体服务器上,在媒体服务器上实现用户和坐席的同时进行录音。将录音同时压缩后,再写到共享磁盘上。
SIP(Session Initiation Protocol,会话初始协议)是由IETF(Internet Engineering Task Force,因特网工程任务组)制定的多媒体通信协议。
会议录音的技术特点:
①.录音和呼叫完全同步,录音随着通话的开始而开始,随着通话的结束而结束;
②.录音记录和通话记录完全同步,录音和通话记录都由ACD同一个模块产生,起始时间和结束时间完全一致;
③.录音在录制时就直接被压缩为MP3格式,节约磁盘空间。
2.2 计算机电话集成技术
计算机电话集成(CTI)技术可使电话与计算机实现信息共享,CTI应用系统通过特定交换机的CTI连接,实现后台计算机对交换机进行呼叫控制和呼叫状态传递,而且可以全面控制交换机的电话、呼叫、分组、引导和中继线,实现灵活的呼叫管理和监控。
CTI服务器通过CTI Link与PBX连接,通过网络与坐席计算机相连,是实现ACD交换机和计算机系统之间双向信息传递的中间件。通过CTI服务器,允许电话与计算机系统实现信息通信和共享。基于CTI技术的中间件技术,能够提供呼叫管理服务,连接呼叫中心各部件,将ACD、IVR、应用软件、数据库集成。
2.2.1 CSTA标准
CTI实现的关键在于计算机与电话系统(通常是企业交换机PBX)之间的接口。由于众多厂家的不同交换平台产品的存在,使得CTI的实现也各不相同。
ECMA开发的CSTA(Computer Supported Telecommunications Applications,计算机支持的电信应用)标准实现CTI应用在不同交换平台上的可移植性。CSTA中主要采用制定标准的呼叫模型和行为,定义完备的服务功能的策略来达到其目的。
CSTA是CTI标准中最关键的部分,它规定了计算域(CTI服务器)与通信域(PBX/ACD)之间的接口。CSTA为集成计算机和电信网平台定义了总体结构、要求和协议。这项技术标准强调了计算和交换的灵活性、双向通信和分布模型。CSTA服务是独立于交换平台的,它并不知道交换机是如何完成CSTA服务请求的特殊细节。
2.2.2 CSTA定义的CTI与ACD交互流程
1)呼叫路由、有坐席空闲的流程

2)呼叫路由、坐席全忙的流程

3)呼叫路由、坐席全忙、路由请求排队后产生坐席空闲的流程

4)来电应答的流程

5)外线挂断流程

6)坐席本方挂断流程

7)外拨空闲用户或空闲外线成功的流程

8)外拨忙用户或无效号码失败的流程

9)坐席保持的流程

10)坐席取回话路(接回)的流程

11)坐席发起咨询、被咨询方空闲的流程

12)坐席发起咨询、被咨询方忙或无效号码的流程

13)咨询后接回的流程

14)咨询后转移的流程

15)咨询后会议的流程

16)多方通话后时,删除连接的流程

17)单步转移的流程

18)单步会议的流程

19)转接话路的流程

20)二次拨号的流程

2.2.3 CTI功能要求
1)呼叫中间件功能
呼叫中心系统提供了普通话务员、班长席、质检席3类话务员坐席。普通话务员具备基本的电话控制功能;班长席则在普通话务员的基础上可以进行监听、强插、强拆等对组内成员的话务管理功能;质检席则在班长席的基础上,进一步增加了监控、报表、录音监听等更高一级的管理功能。
2)路由功能
呼叫中心CTI平台具有强大的呼叫路由能力,满足呼叫向坐席智能分配的要求。CTI需要与业务系统对接,在获得客户信息的基础上进行路由。
CTI的路由策略及功能说明:

3)监控功能
CTI监控功能通过Monitor监控模块实现,Monitor模块与所有的CTI模块建立连接,从CTI获取实时的呼叫事件,并以此进行话务的计算汇总和状态监控汇总。Monitor可以将计算汇总得到的数据和状态数据,根据设置的权限分发给不同的监控终端,如坐席状态、实时话务、排队信息等,并可以显示在大屏上。
CTI的监控功能:

4)外拨功能
① 预览式外拨
② 自动式精确外拨
③ 预测式外拨
2.3 统计报表系统
报表系统使用专门的报表结构来动态地加载数据,同时满足了报表格式的多样化,实现了数据动态性和格式多样化的有效结合。
报表就是使用表格、图表等多种不同的、多样化的格式来动态显示数据的一种方式,是多样化格式和动态数据的有效结合,可以简单地表示为:报表 = 多样的格式 + 动态的数据。
2.3.1 呼叫中心和统计报表系统的关系

2.3.2 统计报表系统的分层构架

2.3.3 统计KPI指标
1)整体指标
呼叫中心话务量统计表:统计时段、电话总量、呼入量、转坐席量、呼出量、成功呼出量、内线量、内转量、排队电话量、排队放弃量、振铃放弃量、IVR应答量、坐席应答量等。
呼叫中心效率统计表:统计时段、转坐席率、外拨成功率、内转电话率、平均排队时间、平均排队放弃时间、平均振铃放弃时间、平均响应时间、坐席应答率、呼叫放弃率等。
呼叫中心呼叫明细表:呼叫流水号、话路属性、主叫、被叫、开始时间、通话时长等。
呼叫中心呼出统计表:统计时段、IVR呼出量、IVR呼出成功量、IVR呼出工作时长、坐席呼出量、坐席呼出成功量、坐席呼出工作时长等。
2)IVR工作量指标
统计时段、IVR呼入量、IVR应答量、IVR呼出量、IVR呼出成功量、IVR呼入工作时长、IVR呼出工作时长等。
3)坐席工作量指标
坐席话务量统计表:统计时段、坐席工号、坐席姓名、客户来话量、应答客户来话量、坐席振铃放弃量、客户呼叫放弃量、外呼量、外呼通话量、内部通话量、咨询量、被咨询量、会议量、转移量、被转移量、保持量等。
坐席话务时间统计表:统计时段、坐席工号、坐席姓名、应答通话时长、应答转移通话时长、最长通话时间、振铃时长、呼入通话时长、呼出通话时长、咨询时长、被咨询时长、会议时长、保持时长等。
坐席工作效率统计表:统计时段、坐席工号、坐席姓名、实际工作率、电话响应率、平均响应时间、平均通话时间、平均咨询时间、平均保持时间、内转电话率等。
坐席状态统计表:统计时段、坐席工号、坐席姓名、客户呼入量、外呼客户量、登录时长、通话时长、保持时长、振铃时长、置忙时长、就绪时长等。
坐席状态明细表:坐席工号、坐席姓名、坐席状态(被锁定、已登录、未登录、未就绪、就绪、呼入振铃、咨询振铃、正在外拨、会议通话、咨询通话、保持呼叫、双方通话、未知等)、状态开始时间、状态结束时间、状态持续时间等。
坐席呼叫明细表:坐席工号、坐席姓名、话路属性(呼入、呼出、内线等)、主叫、被叫、开始时间、通话时长等。
坐席未接电话明细表:坐席工号、坐席姓名、来电时间、振铃时长、客户电话号码、技能描述等。
排队放弃电话明细表:入队时间、排队时长、主叫号码、被叫号码、技能描述等。
4)服务指标
统计时段、技能描述、技能组呼入电话量、技能组接听电话量、排队放弃量、振铃放弃量、最长排队时间、累计排队时间、平均排队时间、平均振铃时间、溢入呼叫量、溢入接听量、溢入呼叫量、平均响应时间、平均通话时间、平均放弃时间、最大放弃时间、呼叫放弃率等。
2.4 呼叫中心的CRM系统
2.4.1 CRM的软件架构

2.4.2 CRM的系统架构


版权声明:本文内容由互联网用户自发贡献,该文观点仅代表作者本人。本站仅提供信息存储空间服务,不拥有所有权,不承担相关法律责任。如发现本站有涉嫌侵权/违法违规的内容,请联系我们,一经查实,本站将立刻删除。
如需转载请保留出处:https://51itzy.com/kjqy/13012.html