一、基本介绍
应用:求图像全局阈值,适用于大多需要求图像全局阈值的需求
优点:计算简单、快速,不受图像亮度和对比度影响
缺点:对图像噪声敏感;只能针对单一目标分割;当目标和背景大小比例悬殊、类间方差函数可能呈现双峰或者多峰,效果不好
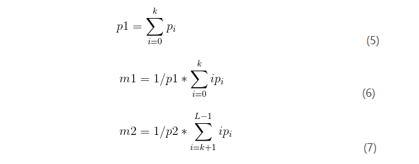
p1*m1+p2*m2=mG (1) p1+p2=1 (2) 根据方差概念,类间方差表达式为: σ^2=p1*(m1-mG)^2+p2*(m2-mG)^2 (3) 将(1)代入(3)得: σ^2=p1*p2*(m1-m2)^2 (4) 其中:
讯享网

讯享网
根据文献,对式(4)进行变形
首先灰度级K的累加均值m和图像全局均值mG分别为:

根据式(6),m1、m2变形为:
m1=1/p1m (10)
m2=1/p2(mG-m) (11)

式(10)、(11)代入(4),可得类间方差公式:

根据式(5)、(8)、(9)求得式上式(12)最大化的灰度级k就是OTSU阈值。
三、代码实现
讯享网//自适应阈值 传入图像为灰度图 int Otsu(Mat src) {
//传入的图像为灰度图 //图像宽、高 int width = src.cols; int height = src.rows; //对应像素值数量 int pixelCount[256] = {
0 }; //对应像素值占比 float pixelPro[256] = {
0 }; //图像像素数 int pixelSum = width * height; int threshold = 0; //统计灰度级中每个像素在整幅图像中的个数 for (int i = 0; i < height; i++) {
for (int j = 0; j < width; j++) {
int pixel = (int)src.at<uchar>(i, j); pixelCount[pixel]++; } } //计算每个像素在整幅图像中的比例 for (int i = 0; i < 256; i++) {
pixelPro[i] = (float)(pixelCount[i]) / (float)(pixelSum); } //经典ostu算法,得到前景和背景的分割 //遍历灰度级[0,255],计算出方差最大的灰度值,为**阈值 /* w0,w1:前景和背景所占整幅图像的比例 u0,u1:前景和背景的平均灰度 u:整幅图像平均灰度 */ float w0, w1, u0tmp, u1tmp, u0, u1, u, deltaTmp, deltaMax = 0; for (int i = 0; i < 256; i++) {
w0 = w1 = u0tmp = u1tmp = u0 = u1 = u = deltaTmp = 0; for (int j = 0; j < 256; j++) {
if (j <= i) //背景部分 {
//以i为阈值分类,第一类总的概率 w0 += pixelPro[j]; u0tmp += j * pixelPro[j]; } else //前景部分 {
//以i为阈值分类,第二类总的概率 w1 += pixelPro[j]; u1tmp += j * pixelPro[j]; } } u0 = u0tmp / w0; //第一类的平均灰度 u1 = u1tmp / w1; //第二类的平均灰度 u = u0tmp + u1tmp; //整幅图像的平均灰度 //计算类间方差 deltaTmp = w0 * (u0 - u)*(u0 - u) + w1 * (u1 - u)*(u1 - u); //找出最大类间方差以及对应的阈值 if (deltaTmp > deltaMax) {
deltaMax = deltaTmp; threshold = i; } } //返回**阈值; return threshold; }
版权声明:本文内容由互联网用户自发贡献,该文观点仅代表作者本人。本站仅提供信息存储空间服务,不拥有所有权,不承担相关法律责任。如发现本站有涉嫌侵权/违法违规的内容,请联系我们,一经查实,本站将立刻删除。
如需转载请保留出处:https://51itzy.com/kjqy/13009.html