软件需求分析说明书
1.引言
- 1.1编写目的
本文档的目的是详细地介绍停车场管理系统所包含的需求,以便客户能够确认产品的确切需求以及开发人员能够根据需求设计编码,以下叙述将结合文字描述,流程图来描述停车场管理系统的功能,性能,运行环境。 - 1.2系统概述
使用停车场管理系统,在停车场的出入口设置一套出入口管理设备,使停车场形成一个相对封闭的场所,用户进出停车场只需将注册个人信息并扫描二维码,系统即能瞬时完成检验、记录、核算、收费等工作,挡车道闸自动启闭,方便快捷地进行着停车场的管理。对出口管理员来讲,身份认证完毕后则可进入收费管理,期间该出口所有收费均自动记入该管理员名下并存入电脑数据库。由于值班员持操作卡受权限限制,不能进入系统中更高的软件菜单项,所以对电脑所记录的数据无法干涉;超级管理员可以登录随时查询,核对或打印一个值班段或任何一段时间乃至整个停车场的工作记录。这样就从根本上杜绝了停车费用流失和财务统计的失误。
2.需求 - 2.1需求概述
-
- 2.1.1 目标
开发意图:现在的生活水平越来越好,很多家庭都买了私家车,极大的方便了人们的出行,但随着私家车的增加,停车场也越建越多,那么停车场的管理就逐渐变成了社会秩序问题的焦点,为了停车场管理员的管理更高效和车主的体验感能得到较大的提升,受邀开发停车场管理系统。
应用目标:此停车场管理系统旨在四个目标。分别是高效、减少人力资源浪费、低误差和财务安全。首先是对于人工处理大量的车辆来去信息存储或是货币交易都很繁琐,而机器却可以高效的解决管理问题;其次是对于老旧的管理方法,需要大量的工作人员去各个职位坚守,面对需要管理的庞大的车主信息以及车辆在管理员非工作时间(比如半夜或是凌晨车流量较少时)不方便停车、取车的问题,机器可以减少人力资源浪费,并且可以不停机工作;然后是误差问题,对于人工,过多的数据进行手工录入由于不能保持长期高度严谨的这一状态会造成一定的数据错误,机器管理可以实现低误差甚至是零误差;最后是机器管控可以防止拒缴停车费事件发生,也可以防止收费人员徇私舞弊和乱收费的现象发生。
作用范围:此停车场管理系统可用于各大中小型停车场的管理,范围较为广泛,面向对象也比较和谐。
主要功能:车牌识别进入、计时收费、反向寻车、联防安保。
处理流程:首先是外来车辆前来进行车牌识别,录入信息,接着开始计费,通过智能系统提供车位引导功能进行精确停车,然后在数据库中存储车辆停放信息,考虑到在车主需要离开的时候由于车辆众多难以寻找,本系统会询问是否进行反向寻车,精确定位车辆位置信息,然后在车辆离开时会准确计算停车费用,支持支付宝、微信和银行卡等众多支付渠道进行付费。
数据流程:车辆进入时进行车辆车牌识别信息,如果是第一次来的车辆,将在数据库中创建一个新的车辆信息列表来存放此车牌的所有信息,如果不是,则修改数据库中的信息进行一个更新操作。在反向寻车时调用数据库中存储的车辆信息,比如位置和停放时间等,离开时由计费功能模块进行计算得出数据,与此同时数据库中释放车辆停放信息。
- 2.1.1 目标
-
- 2.1.2 运行环境
硬件环境(Hardware Environment):
显示器:最低60Hz刷新频率;硬盘:512G
软件环境(Software Environment):
操作系统:PC:Windows7以上,MT:Android5.5和iOS6.0.1以上。
数据库系统:MySQL 5.4
- 2.1.2 运行环境
- 2.2用户需求调研
-
- 2.2.1用户的特点
本系统适用于商场周边,大型密集的娱乐场所等,特别是节假日是一个使用本系统的高峰期,面向的人群十分广泛,在这种时候,一个一个停车场去找车位无异于浪费时间,有了本产品就能更加智能高效。
- 2.2.1用户的特点
-
- 2.2.2组织结构

讯享网
产品经理:进行大量的用户分析,需求过滤,将业务需求进行产品、以及信息化的转化,从而用一种新的产品理念服务于客户,具体工作包括用户体验设计、交互设计、业务流程设计、信息架构设计等等,一般产出:产品原型。
架构师:对业务进行抽象与架构设计,根据设计进行技术选型和框架搭建,制定整个软件系统的技术方向和开发方式。
UI设计师:主要负责软件的外在美观设计,增强用户的视觉感官体验。
后端开发工程师:主要就是负责编写应用系统的代码,实现产品要求中的业务功能。
前端开发工程师:实现用户的操作界面,完成人机交互,包括:App(Android、i0s)和Web。
测试工程师:在上线之前需要对软件进行全方位的测试工作,包括:功能测试(黑盒、灰盒、白盒测试)、安全测试、性能测试、压力测试、稳定性测试等等。
运维工程师:保障系统能够安全有效的、不间断的提供服务,他们需要对硬件、软件、网络、安全设备等进行实时监控、运营维护。
大数据工程师:负责数据处理,简单来说是在大数据处理平台下的数据处理,包括数据收集、存储、转换、分析与可视化。
- 2.2.2组织结构
-
- 2.2.3业务流程
1.负责每日车场停车费收入核对、确认、差异分析、统计工作;
2.负责车场固定成本、经营变动成本、人员管理成本的审核、管理与确认;
3.车场收益的增收与减耗管理;
4.负责车场相关划账的OA及流转管理;
5.VIP、月租车牌号码维护管理;
6.停车场收费管理监管,优惠政策的执行情况监管;
7.车场车流量、收费金额分析报表;
8.车场管理软件、硬件的操作使用管理,故障报修工作;
- 2.2.3业务流程
-
- 2.2.4约束条件
1.车牌识别问题:
车牌识别由车牌抓拍智能摄像机,自动拍照并智能分析出车牌信息,回传给后台。这里车牌识别本身存在一个隐形安全问题。就是:没有将车牌信息和车主身份挂钩,这就会导致有人可以用伪造车牌进入停车场,也可以伪冒月保车出场。
2.智能抬杆问题:
智能抬杆系统主要是根据车牌识别以及后台判断结果自动抬杆。但是,设计人员担心系统故障、延迟车牌录入等问题,单独保留了应急开闸的功能。也就是车场管理人员可以通过手中的遥控器手动开闸。这也就相当于保留了一个安全问题。就是车场管理员可以私自放入车辆和放出车辆。
3.自助缴费问题:
自助缴费一般都通过二维码扫码,这里会存在贴在停车场的二维码被人恶意更换的安全风险。这会造成车主缴费了却无法出场。
4.后台管理问题:
后台管理主要工作是提前录入月保车牌号,续费月保,统计收入等等。这里一般都允许管理员手动录入和月保车主扫码续月保。扫码续月保一般没啥问题。但管理员手动录入就有可能会出现私自增加月保车牌。他可以在月初私自增加月保车,月底统计时又删除该车牌,并删除操作日志。
5.网络传输问题:
目前停车场的网络传输都是采用网线或者光纤传输。传输协议都是TCP/IP协议。很多智能停车场系统的传输协议并不是加密传输。这就给技术比较厉害的人留了一个安全口子。他们可以通过监听网络来获取传输的信息,甚至篡改信息。将原本拒绝开闸的信号变成允许开闸的信号。
- 2.2.4约束条件
3.系统特性
- 3.1系统总体需求
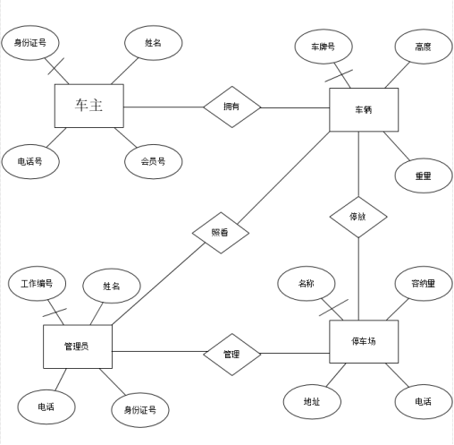
停车场管理系统E-R图:

实体如下:
车主:身份证号,姓名,会员号,电话
车辆:车牌号,高度,重量
管理员:工作编号,姓名,身份证号,电话
停车场:名称,容纳量,地址,电话 - 3.2 系统功能模型
数据流图DFD:
1)停车场管理系统顶层数据流图:

2)停车场管理系统一层数据流图:

3)停车场管理系统二层数据流图:



主要数据对象的数据字典DD:
1)数据流条目
数据流名称位:车位信息
别名:无
简述:管理系统调出车位
来源:信息管理档案
去向:加工2.1“反向寻车”
数据流量:200份/每天
组成:停车场名称+停车场楼层+停放区域
2)文件条目
数据文件名:信息管理档案
别名: Information management files
简述:存储车主基本信息
组成:车主姓名+车主身份证+车主手机号码+车主名下车辆+车主账户VIP存在性+车主账户违规率
存储方式:顺序
组织方式:以“车主身份证”为关键字
存取频率:500次/天
3)数据项条目
数据项名称:车主账户VIP存在性
别名:无
简述:显示车主名下账户是否有VIP
类型:布尔类型
长度:1
取值范围:[True | False]
4)加工条目
加工名:支付费用
编号:2.3
激发条件:得到停车费用单
优先级:优先
输入:停车费用
输出:支付结果
加工逻辑:
IF 停车时间 >= 6 and 停车时间 < 12 THEN
停车费用优惠10%
ELSE IF 停车时间 >=12 and 停车时间 < 24 THEN
停车费用优惠20%
ELSE IF 停车时间 >= 24 THEN
停车费用优惠 30%
ELSE 停车时间 < 6 THEN
不优惠
ENDIF
IF 车主身份VIP存在性 == TRUE THEN
停车费用优惠10%
ELSE 车主身份VIP存在性 == FALSE THEN
不优惠
ENDIF
- 3.3系统的行为模型
状态转换图
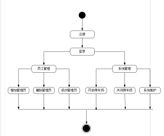
1)超级管理员状态图

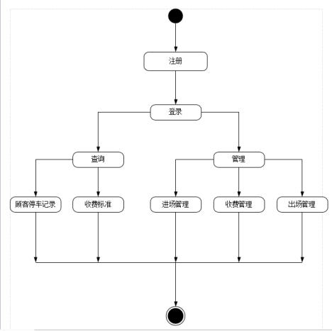
2)管理员状态图

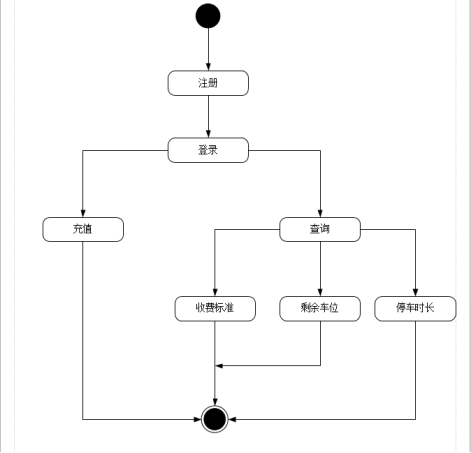
3)车主状态图
4非功能性需求
- 4.1性能需求
-
- 4.1.1计算机硬件需求
设备:计算机电动栏杆读卡机监视器
车辆检测设备收费显示屏
- 4.1.1计算机硬件需求
-
- 4.1.2计算机硬件资源利用需求
CPU:1.0GHZ及以上
硬盘:80G或以上
内存:512M及以上
- 4.1.2计算机硬件资源利用需求
-
- 4.1.3计算机软件需求
开发环境:操作系统:Windows xp/7/8/10
运行环境:操作系统:Windows xp/7/8/10
数据库管理系统:SQL sever 20005及以上版本
- 4.1.3计算机软件需求
-
- 4.1.4计算机通信需求
通信接口:停车场管理员主要在局域网环境下使用系统,而车主则可能在外网进行访问系统查询信息,所以系统应同时支持局域网协议和广域网协议。
- 4.1.4计算机通信需求
- 4.2安全性需求
-
- 4.2.1保密性需求
系统被现有的工作人员快速掌握并使用第三方控件的使用,原则是不使用,但必须使用时必须通知提出,讨论通过后方可使用.系统要有足够的防御能力,防御普通黑客的攻击,尽量减少各种可出现的漏洞,防止用户信息被不良分子窃取.保证用户权限的正确设置,防止出现各种越权行为,保证系统的正常良好运行.用户的信息保存采用国际流行的MD5加密,保证安全。
- 4.2.1保密性需求
-
- 4.2.2保密性和私密性需求
数据精确度:由于涉及到定位数据,对于数据类的信息要保证足够的精确,精确到度。
时间特性:页面刷新时间不超过3秒,页面直接跳转不超过4秒。满足用户需要快速得到信息的要求,页面的优化要做好,使得每个用户感觉到能够迅速流畅地查找到自己所需要的信息。
故障处理:页面长时间无响应,提出警告,要求用户刷新.页面载入时间过长,要有提示,防止用户认为系统有问题。
应用日志必须在现有基础上进行精简,对于重复日志记录、无用日志记录进行删减。
应用日志必须按日保存,每个文件保存应用一天的完整日志历史应用日志必须压缩后按日保存,以减小历史日志文件对硬盘空间的占用.历史应用日志必须保留一个月(30天),以保证问题出现后,日志可以得到较好的保存。
- 4.2.2保密性和私密性需求
- 4.3接口需求
外部接口需求:
硬件接口考虑到数据的备份等要求,需要外部存储设备,如管理员电脑的硬盘等,这较易实现。软件接口这里,主要考虑软件与操作系统、数据库管理系统的接口,以及局域网和互联网软件之间的微据交换。考虑到文档处理时有可能需要较常用的办公软件。例如office系列,所以应尽量实现他们之间的数据格式的自动转换。 - 4.4其他需求
有关人员需求:
同时存在的用户数量的需求,内在帮助和培训能力的需求,这些需求包括对人员在能力与局限性方面的考虑:在正常和极端条件下可预测的人为错误,人为错误造成严重影响的特定区域。
【注】博文里有停车场管理系统其他设计说明书










版权声明:本文内容由互联网用户自发贡献,该文观点仅代表作者本人。本站仅提供信息存储空间服务,不拥有所有权,不承担相关法律责任。如发现本站有涉嫌侵权/违法违规的内容,请联系我们,一经查实,本站将立刻删除。
如需转载请保留出处:https://51itzy.com/kjqy/128162.html