一、线性函数与非线性函数的区别
- 线性Line,是指量与量之间按照比例成直线关系,在数学上可理解为一阶导数是个常数;
- 非线性non-line则指不按照比例不成直线关系,一阶导数不为常数。
参考链接:
机器学习中的线性和非线性判断
这篇博客的结论是:
下面可以快速判断是为非线性的三种常见情况:
- (变量)^n,且n不为1
- |变量| 有变量在绝对值內的为非线性
- sgn(变量) 有变量在符号函数之内
做一点补充理解:
线性定义:F(ax+y) = aF(x) + F(y),x,y为变量,a为常数;
问题:一个显而易见的事实,一次函数 F(t)=3t + 2 (t为标量实数)是一个线性函数,那么根据线性定义,应有F(2t) = 2F(t),然而
F(2t) = 32t + 2 = 6t + 2;
2F(t) = 2(3t+2) = 6t + 4;
看起来两者并不相等,为什么?
得出两者并不相等的原因是将变量 t 当做标量,也就是认为线性定义中的变量 x,y 是标量,但实际上线性定义中的变量x,y是指向量,F是向量变换,满足线性定义的向量变换可称为向量的线性变换。
一次函数F(t)=3t + 2 (t为标量实数)也是线性函数,那么根据前面的线性定义,应当如何解释 F(2t) 与 2F(t)的关系?
从向量视角下去理解一次函数 F(t)=3t + 2 (t为标量实数),t 是只有一个标量作为分量的向量,2F(t)和F(2t)亦如此,向量F(2t)平移即可得到2F(t)。
两个向量是同一个向量的条件:方向相同;长度相等。向量
F(2t)=6t + 2;
2F(t)=6t + 4;
两者都可以通过向量 6t 平移得到,由于平移不改变向量的方向和长度,故向量F(2t)=2F(t)=6t。
怎样区分线性和非线性:
- 非线性函数:不满足线性定义的函数即为非线性函数。
- 线性可以认为是1次曲线,比如比如y=ax+b ,即成一条直线;
非线性可认为是2次以上的曲线,比如y=ax2+bx+c,(x2是x的2次方),即不为直 线的即可。 - 两个变量之间的关系是一次函数的关系图像是直线,这样的两个变量之间就是“线性关系”如果不是一次函数关系,图像不是直线,就是“非线性关系”。
- 线性与非线性,常用于区别函数y = f (x)对自变量x的依赖关系。线性函数即一次函数,其图像为一条直线。其它函数则为非线性函数,其图像不是直线。
- 在数学上,线性关系是指自变量x与因变量yo之间可以表示成y=ax+b ,(a,b为常数),即说x与y之间成线性关系。
二、线性模型和非线性模型的区别
1、线性模型可以是用曲线拟合样本,但是分类的决策边界一定是直线的,例如logistics模型
2、区分是否为线性模型,主要是看一个乘法式子中自变量x前的系数w,如果w只影响一个x,那么此模型为线性模型。或者判断决策边界是否是线性的
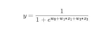
3、举例:

画出y和x是曲线关系,但是它是线性模型,因为x1*w1中可以观察到x1只被一个w1影响

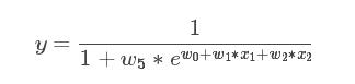
此模型是非线性模型,观察到x1不仅仅被参数w1影响,还被w5影响,如果自变量x被两个以上的参数影响,那么此模型是非线性的!
4、其实最简单判别一个模型是否为线性的,只需要判别决策边界是否是直线,也就是是否能用一条直线来划分
神经网络是非线性
虽然神经网络的每个节点是一个logistics模型,但是组合起来就是一个非线性模型。
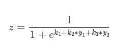
此处我们仅仅考虑三层神经网络

第一层的表达式

第二层的表达式

将第一层的表达式带入第二层表达式中,可以观察到x1变量不仅仅被w1影响还被k2影响,所以此模型不是一个线性模型,是个非线性模型。

版权声明:本文内容由互联网用户自发贡献,该文观点仅代表作者本人。本站仅提供信息存储空间服务,不拥有所有权,不承担相关法律责任。如发现本站有涉嫌侵权/违法违规的内容,请联系我们,一经查实,本站将立刻删除。
如需转载请保留出处:https://51itzy.com/kjqy/127147.html