逻辑结构:简单的来说,逻辑结构就是数据之间的关系。逻辑结构常见有四种类型:集合结构,线性结构,树形结构,图形结构。
所谓集合结构:表面意思,没有什么深刻意义,就是数据元素同属一个集合,单个数据元素之间没有任何关系。如下图所示。

线性结构类似于线性关系,也就是说,线性结构中的数据元素之间是一对一的关系。注意:重点在一对一。如下图所示。

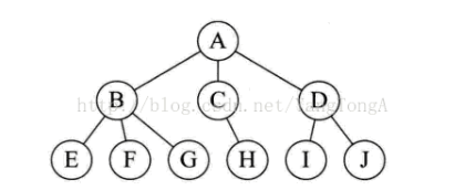
树形结构:树形结构中的数据元素之间存在一对多的关系。(各元素及元素关系所组成图形类似于树状图)。注意:关系为一对多。如下图所示。


图形结构:数据元素之间是多对多的关系。如下图所示。

物理结构:又叫存储结构,分为两种,一种是顺序存储结构一种是链式存储结构,指的是数据在物理存储空间上选择集中存放还是分散存放。假设要存储大小为 10G 的数据,则集中存放就如图 3a) 所示,分散存放就如图 3b)所示。

如果选择集中存储,就使用顺序存储结构;反之,就使用链式存储。至于如何选择,主要取决于存储设备的状态以及数据的用途。
我们知道,集中存储(顺序存储)(底层实现使用的是数组)需要使用一大块连续的物理空间,假设要存储大小为 1G 的数据,若存储设备上没有整块大小超过 1G 的空间,就无法使用顺序存储,此时就要选择链式存储,因为链式存储是随机存储数据,占用的都是存储设备中比较小的存储空间,因此有一定几率可以存储成功
并且,数据的用途不同,选择的存储结构也不同。将数据进行集中存储有利于后期对数据进行遍历操作,而分散存储更有利于后期增加或删除数据。因此,如果后期需要对数据进行大量的检索(遍历),就选择集中存储;反之,若后期需要对数据做进一步更新(增加或删除),则选择分散存储(链式存储)。
逻辑结构与物理结构这两者并不冲突,一个指的是数据之间的关系,而另一个指这种关系在计算机中的表现形式。比如,线性表中的栈,数据元素之间的关系是一对一的,除头和尾结点之外的每个结点都有唯一的前驱和唯一的后继,这体现的是逻辑结构;而对于栈中的结点来说,它们可以顺序存储(也就是顺序栈),取一段连续的存储空间,将栈结点按顺序存入,每个结点和其前驱和后继在物理上都是相邻的。同时,栈结点也可以链式存储(链栈),每个结点中包括数据域和指针域,而指针域就是用来指向其后继的,在访问时就可以通过指针来找到其后继进行访问,每个结点之间物理上可以相邻也可以不相邻。
参考:https://blog.csdn.net/YangTongA/article/details/78244252 和 http://data.biancheng.net/view/155.html

版权声明:本文内容由互联网用户自发贡献,该文观点仅代表作者本人。本站仅提供信息存储空间服务,不拥有所有权,不承担相关法律责任。如发现本站有涉嫌侵权/违法违规的内容,请联系我们,一经查实,本站将立刻删除。
如需转载请保留出处:https://51itzy.com/kjqy/12679.html