本篇内容为夹角、距离和平面束,由于这些知识如果分开进行的话太碎了,容易乱,所以特地单独开出这一篇把他们放在一起。
夹角
(一)两个向量的夹角
讯享网
(二)两个平面的夹角
两个平面的夹角范围是0°≤θ≤90°

①当平面法向量夹角为0°≤θ≤90°时

两个平面夹角等于两个平面法向量夹角

②当平面法向量夹角为90°≤θ≤180°时
两个平面的夹角与平面法向量夹角互补

结论:
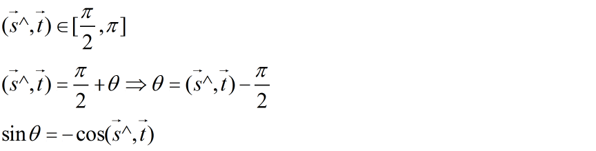
(二)两直线的夹角
两直线的夹角范围是0°≤θ≤90°
当然,两条直线不一定相交,有可能是异面直线,借助自由向量。
同样是两种情况


①法向量夹角小于90°(左图)

②法向量夹角为90°~180°(右图)

所以

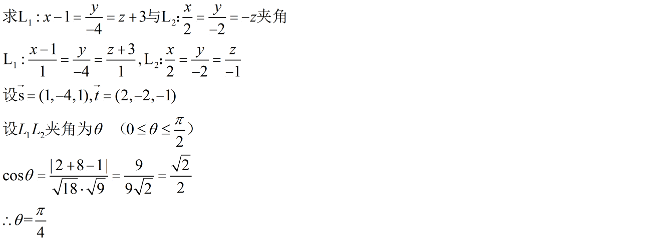
例题
例1
(四)直线和平面的夹角
上个图,理解一下直线和平面的夹角
懂了,直线和平面相交,直线在平面上会有一个投影,直线与投影所成的夹角就是直线和平面的夹角。
直线和平面的夹角范围是0°≤θ≤90°

我们还是用测试图分开讨论


①向量夹角为0°~90°

②向量夹角为90°~180°
所以

距离
(一)两点之间的距离
两点之间的距离实际上就是两点的向量的模

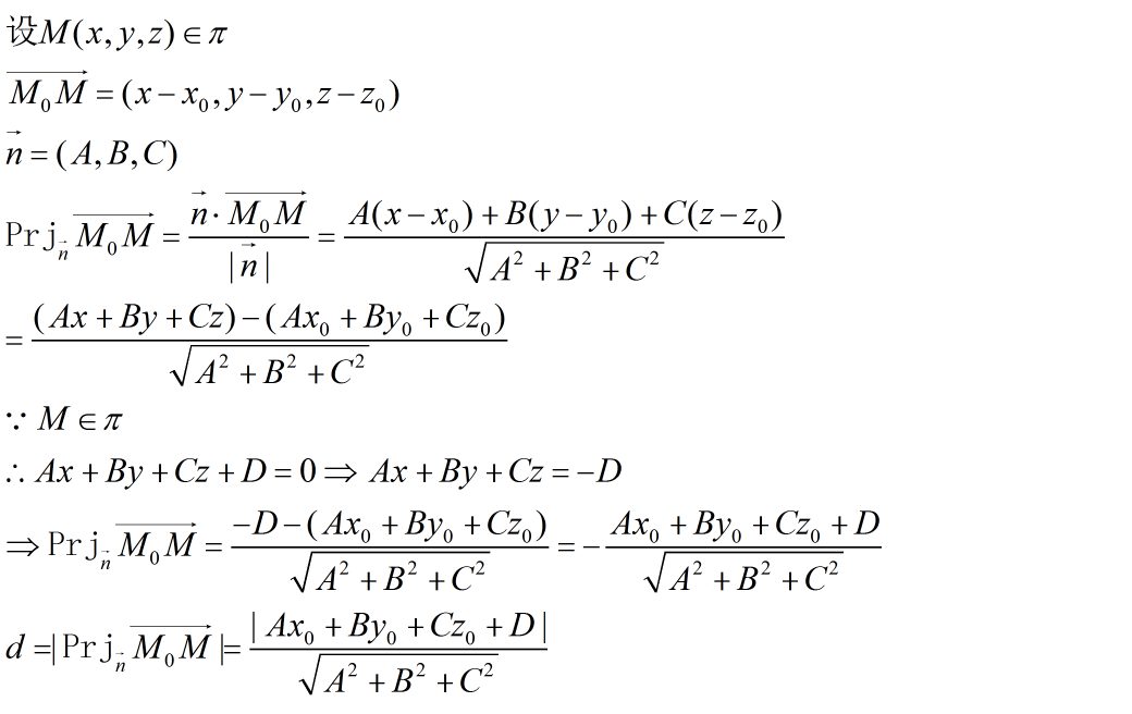
(二)点到面的距离
前置知识点——投影



利用投影求点与面的距离
如图所示,点M0到面的距离就是向量M0M在平面的法向量n上的投影。注意,平面的法向量方向未必向上。
例题
平面束
有直线L,经过L的所有平面称为直线L的平面束。
例题
题目不太好懂,画个示意图


本篇完。


版权声明:本文内容由互联网用户自发贡献,该文观点仅代表作者本人。本站仅提供信息存储空间服务,不拥有所有权,不承担相关法律责任。如发现本站有涉嫌侵权/违法违规的内容,请联系我们,一经查实,本站将立刻删除。
如需转载请保留出处:https://51itzy.com/kjqy/126538.html