VMD,全称是变分模态分解,是一种用来分离非固定频率信号的方法。其原理源于信号处理中的固定频率信号大小不固定的问题。与傅里叶变换等传统方法相比,VMD可以更好地处理这种非固定频率信号的问题。 VMD的目标是将一个复杂信号分解为多个本征模态函数(Intrinsic Mode Functions, IMFs)。每个IMF都具有两个特性:①在整个数据集中,环绕零的极值数量和零交叉点数量相等或相差1;②在任意点,由局部最大值定义的信号包络线和由局部最小值定义的信号包络线的均值为零。 VMD是一个非线性和自适应的过程,它利用一种迭代过程,通过将数据分解为更简单的、频率固定的信号,然后进行合并和过滤,从而实现信号的高质量重建。
具体的算法阶段如下:
1.对每一个光伏分量进行Hilbert变换得到单 侧频谱。
2.通过混合一个调至各自估计中心频率的指 数,将各光伏分量的频谱转移到基带区域。
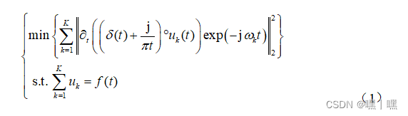
3.通过对解调信号梯度的L2正则化进行高斯 平滑估计,得到每个光伏分量的带宽。 则光伏功率输出信号VMD可以由下式(1)表示:
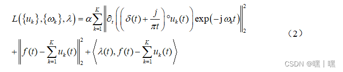
式中:∂t 表示求偏导;δ(t)为Dirac分布函数;“∘”表 示卷积运算;K为分量总数;f(t)为原始的光伏功率 输出信号。 通过拉格朗日乘子λ和二次惩罚项α将上述有 约束极值问题转换为无约束问题进行求解,如式 (2)所示


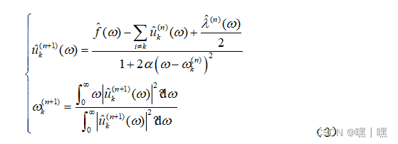
各分量及相应中心频率可以通过交替方 向乘子法优化求解,其更新方法如下:


、

版权声明:本文内容由互联网用户自发贡献,该文观点仅代表作者本人。本站仅提供信息存储空间服务,不拥有所有权,不承担相关法律责任。如发现本站有涉嫌侵权/违法违规的内容,请联系我们,一经查实,本站将立刻删除。
如需转载请保留出处:https://51itzy.com/kjqy/126347.html