关注“心仪脑”查看更多脑科学知识的分享。
关键词:脑科学、文献综述
明明正餐吃得很饱了,听到甜品又蠢蠢欲动、胃口大开?吃完甜品感觉又能吃点炸鸡?炸鸡吃完需要再来杯酸奶解解腻……
为什么经常吃饱了还能再吃点,难道真的有不同的胃来装不同的食物吗?
1. 特定感官饱足感 Sensory Specific Satiety (SSS)
人们在吃了一定量的某种食物直至产生饱足感(satiety)后,这种食物带来的愉悦感则会降低;但对于没有吃过的食物,饱足感则不会让人们对其的渴望明显降低——这便是特定感官饱足感(sensory specific satiety,SSS)1。
这一现象最初通过动物实验发现。Rolls等人在实验中记录了松鼠猴与恒河猴在食用葡萄糖或蔗糖溶液前后,外侧下丘脑(lateral hypothalamus)的单神经元活动2。下丘脑包含了支配人食欲的神经中枢核,primary orexinergic nucleus,可发送信号至整个神经系统来调节一系列的生理过程,例如促进食欲。当猴子在饥饿状态下看到或吃到食物时,下丘脑神经元便会表现出不同的firing rate3。当猴子吃饱以后(不再主动靠近用来喂食的针管,或开始拒绝喂食的针管),由糖溶液诱发的下丘脑神经元活动呈现出与饥饿时显著不同的firing rate(图1);然而,当看到其他食物比如花生时,下丘脑的神经元活动与饥饿时相似2。
图1. 松鼠猴中单个下丘脑神经元的活动记录2。Trial表示喂食葡萄糖溶液的试次;纵坐标为神经元的firing rate。试次0-6为饥饿状态,试次12-14为饱足状态。Baseline为基线firing rate, 由回归线表示。Visual为喂食溶液针管靠近时的视觉刺激所激发的firing rate,Taste为食用溶液时的味觉刺激所激发的firing rate。同一种食物所诱发的神经元在饥饿和饱足状态下明显不同。
随后,这一现象也在人类实验中被确认。实验参与者在午餐前对8种食物(鸡肉、巧克力、面包等) 的味道愉悦度(pleasantness of taste)进行评分,并会在午餐时吃其中的一种食物(无限量直至饱腹)。在午餐后2分钟及20分钟时,参与者再次对8种食物的pleasantness of taste评分3。在午餐时吃过的食物的味道愉悦度显著下降,且下降程度比未吃过的食物显著更多(图2)。另外,参与者想要吃的某种食物的量(quantity want to eat)也会随着味道愉悦度的下降而下降
——在吃饱后,吃过的食物不太想吃了;没吃过的食物,虽然与饥饿时相比渴望度下降,但比起吃过的,也没有那么不想吃。

图2. 午餐后2分钟与20分钟实验参与者给出的不同食物的味道愉悦度(pleasantness)的评分3。横坐标为食物种类(TOTAL为所有食物的平均得分),纵坐标为愉悦度相较于午餐前的变化(change=午餐后-午餐前,负值表示愉悦度在午餐后下降)。深色条状为在午餐时吃过的食物,白色条状为午餐时未吃过的食物。吃过的食物的愉悦度的下降明显多于未吃过的食物(p < 0.001)。
2. SSS中愉悦度的变化与眶额皮质(OFC)的激活
SSS非常适合用来研究食物的愉悦感,因为通过这种现象可以在不改变食物刺激本身的情况下,改变其affective value。
眶额皮质(orbitofrontal cortex, OFC)中包含着次级味觉皮层(secondary taste cortex),从初级味觉皮层(primary taste cortex)(i.e. 岛叶皮层insula) 接收信号。早期的动物实验已发现,猴子的OFC只会在饥饿时被食物激活,所以OFC的激活可能代表着食物的奖赏价值4。
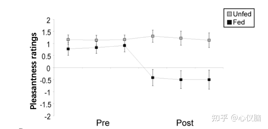
而在人类中, OFC的活动与食物的愉悦度(pleasantness)的关系则是通过SSS确立。在一项2003年发表的fMRI实验中5,实验者通过SSS改变了番茄汁和巧克力奶的味道愉悦度。实验参与者本身对于两种饮料都持喜爱态度。在实验中,参与者在断食6小时后,首先进行了fMRI 脑部扫描:在扫描中参与者会尝到番茄汁与巧克力奶(通过注射器少量、多次投喂(fed))。扫描结束后,参与者可以饮用无限量的番茄汁或巧克力奶(每个人只能喝一种),直到饱足为止。随后,再次进行和此前相同的fMRI脑部扫描。
首先,愉悦度评分的结果与SSS现象所预测的相同:在饥饿状态下,两种饮品均能带来愉悦感;而在喝了其中一种直至饱足后,喝过的那种饮品不再让人感到愉悦,但没喝过的饮品带来的愉悦感与饥饿状态时不相上下。

图3. 饱足前与饱足后的味道愉悦度评分5。Pre为pre-satiety, 即饱足前;Post为post-satiety, 即饱足后。纵坐标为味道愉悦度评分,负值表示不令人愉悦。浅色点(Unfed)为两次扫描之间未被投喂的饮品,深色点(Fed)为实验中无限量喝到饱足为止的饮品。
随后,实验者将每个大脑体素(voxel)的BOLD(血液氧饱和度)信号(由扫描时的饮料刺激激发)与相应饮料刺激所得的愉悦度评分进行相关性分析,发现左脑OFC的局部区域(图4A)的BOLD信号与给出的愉悦度评分呈正相关性。进一步地分析这一显著区域可以发现,其由喝过的饮品激发的BOLD信号在饱足后相较于饥饿时显著下降,而没喝过的饮品在饱足后依然可以激发与饥饿时相似程度的BOLD信号(图4B)。
由此可以确认,OFC区域的激活与主观感受到的愉悦度相关。

图4. A. 与味觉愉悦度呈正相关的OFC区域和B. 这一区域在饱足前后的BOLD信号变化。 A中红黄色的光点显示了与味道愉悦度呈显著相关的OFC区域,光点越亮(黄色)则相关性的显著性越强。B中Pre为pre-satiety, 即饱足前;Post为post-satiety, 即饱足后。纵坐标为BOLD信号相较于基线刺激(人工唾液)的百分比变化。浅色条装图(Unfed)为两次扫描之间未被投喂的饮品,深色条装图(Fed)为实验中无限量喝到饱足为止的饮品。
3. 不只是味觉上的SSS
在先前描述的研究中,SSS现象可以由吃过的食物的视觉和味觉刺激诱发2,5。另一研究发现食物的气味也可以诱发SSS现象6。参与者也完成了两次fMRI脑部扫描,在扫描时接受到了香蕉和香草的气味。在两次扫描之间,参与者食用了一定量的香蕉直至饱足。在饱足后的扫描中,香蕉气味诱发的OFC区域的BOLD信号相较于第一次扫描时的显著下降(图5),而香草气味诱发的BOLD信号无显著变化。

图5. 饱足前后香蕉与香草气味所诱发的OFC BOLD信号6。Pre-satiety: 饱足前,Post-satiety: 饱足后。
4. SSS的机理
a. 是否依靠对于食物的记忆?

失忆症患者仍然表现出对吃过的食物下降的食欲和没吃过的食物的食欲维持7,所以SSS并不依靠最近的饮食记忆。
b. 如果只改变食物的外观还会有SSS吗?
在一项早期研究中,研究者只变换了巧克力的外观颜色但其味道气味等均相同,实验参与者也对吃过的颜色和没吃过的颜色表现出了SSS8。
c. 增加食物的种类可以延缓SSS现象吗?
早期实验发现只要让参与者产生一种在吃许多不同种类食物的感觉,便可延迟饱足感9,10。然而,2019年发表的研究中发现如果单单增加食物的总共品种而不改变某种食物的摄取量,该食物的SSS不会受到食物品种的影响11。
d. 如果改变吃东西的环境可以延缓SSS现象吗?
如果单单改变环境而不改变吃的食物,SSS依然会产生,不会受到环境影响12。
e. 将吃过的食物变得不再可得(unavailable)能否使SSS现象消失?
根据商品理论(Commodity Theory),不可得的或限量的商品会让人们觉得其价值更高、更想得到。而没吃到的食物可能是由于其不可得性让其奖赏价值升高,对比之下吃过的食物的奖赏价值就会降低。一项研究改变了未吃过的食物的可得和不可得性,并对比了两种情况下的SSS现象,发现并无影响13。
所以SSS并不依靠认知高层的决策和价值评估,而主要依靠底层、基础的habituation。
5. 总结
没吃过的食物在吃饱后依然能激发我们的食欲,所以多种多样的餐食可以不断地激发食欲、促进进食。这也解释了为什么套餐里的憨八嘎和快乐水总能这么配、吃自助餐时总能吃得更多。除了潜在的发胖一面,SSS也能促进我们摄取多种多样的饮食、达成营养均衡。
在吃完饭想吃甜的的时候,先吃点水果,说不定就能压制住吃甜品的欲望,从而避免不太健康的选择。
参考文献
1. Burton, M. J., E. T. Rolls and F. Mora. Effects of hunger on the responses of neurones in the lateral hypothalamus to the sight and taste of food. Expl Neurol. 51: 668-677, 1976.
2. Hendriks AE, Havermans RC, Nederkoorn C, Bast A. Exploring the mechanism of within-meal variety and sensory-specific satiation. Food Quality and Preference. 2019 Dec 1;78:.
3. Hendriks AE, Nederkoorn C, van Lier IM, van Belkom B, Bast A, Havermans RC. Sensory-specific satiety, the variety effect and physical context: Does change of context during a meal enhance food intake?. Appetite. 2021 Aug 1;163:.
4. Higgs S., Williamson A.C., Rotshtein P., Humphreys G.W. Sensory-specific satiety is intact in amnesics who eat multiple meals. Psychological Science. 2008;19(7):623–628. [PubMed: ]
5. Kahn B.E., Wansink B. The influence of assortment structure on perceived variety and consumption quantities. Journal of Consumer Research. 2004;30(4):519–533.
6. Kringelbach ML, O’Doherty J, Rolls ET, Andrews C. Activation of the human orbitofrontal cortex to a liquid food stimulus is correlated with its subjective pleasantness. Cerebral cortex. 2003 Oct 1;13(10):1064-71.
7. O'doherty J, Rolls ET, Francis S, Bowtell R, McGlone F, Kobal G, Renner B, Ahne G. Sensory-specific satiety-related olfactory activation of the human orbitofrontal cortex. Neuroreport. 2000 Feb 7;11(2):399-403.
8. Redden J.P. Reducing satiation: the role of categorization level. Journal of Consumer Research. 2008;34(5):624–634.
9. Rolls B.J., Rolls E.T., Rowe E.A., Sweeney K. Sensory specific satiety in man. Physiology & Behavior. 1981;27(1):137–142. [PubMed: ]
10. Rolls B.J., Rowe E.A., Rolls E.T. How sensory properties of foods affect human feeding behavior. Physiology & Behavior. 1982;29(3):409–417. [PubMed: ]
11. Rolls BJ, Rolls ET, Rowe EA, Sweeney K. Sensory specific satiety in man. Physiology & behavior. 1981 Jul 1;27(1):137-42.
12. Rolls ET, Sienkiewicz ZJ, Yaxley S (1989) Hunger modulates the responses to gustatory stimuli of single neurons in the caudolateral orbitofrontal cortex of the macaque monkey. Eur J Neurosci 1:53–60.
13. Wilkinson LL, Brunstrom JM. Sensory specific satiety: More than ‘just’habituation?. Appetite. 2016 Aug 1;103:221-8.
全文完结,整理不易,看不完记得收藏,最后希望点赞支持一下!
了解更多,请关注“心仪脑”公众号!

版权声明:本文内容由互联网用户自发贡献,该文观点仅代表作者本人。本站仅提供信息存储空间服务,不拥有所有权,不承担相关法律责任。如发现本站有涉嫌侵权/违法违规的内容,请联系我们,一经查实,本站将立刻删除。
如需转载请保留出处:https://51itzy.com/kjqy/125029.html