互感器(变压器或电流互感器)电磁感应和减极性分析
互感器电磁转换理解两个难点:一、电能转换为磁能。二、互感器二次侧绕线方式是减极性
一、电能转换为磁能:
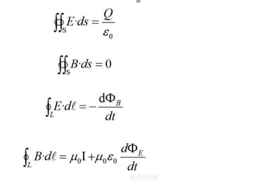
麦克斯韦方程组:
尤其第四个方程:等号左边表示沿着任意一个路径的磁场路径积分,右侧的μ0表示真空磁导率,I表示电流,Ф表示这个路径上所包围的电场通量。这个方程表示:电流(普通的传导电流)和变化的电场(不产生传导电流,而是产生有效果假设而来的位移电流)都可以引起磁场。电路中或者只有一种电流,常见的传导电流(自感或者变压器一次侧,当用了传导电流的公式,就不能在计算产生传导电流的电场的公式,一个原因是重复两次计算属于错误,再一个原因是变化的电场,指的是不产生传导电流的电场,而不是一次侧的产生传导电流的励磁电场),或者只有位移电流(电磁波传播过程),或者两者都有,到时磁感应强度就不是单纯一种电流引起的算法。需要两种相加正如公式所列。
二、互感器二次侧绕线方式是减极性

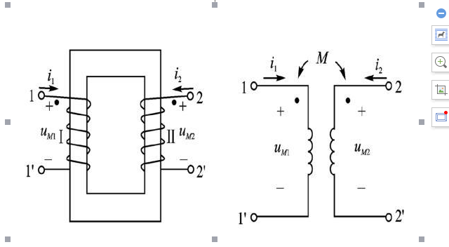
图3-3 变压器绕组的极性,左边正极性,右边负极性,和下面的变压器形式的图是相同的只是上图更便于分析电路,下面图更符合变压器实物

减极性图

加极性图
加减极性:同名端有两种绕法,一种是加极性,一种是减极性。加减极性是在变压器两侧线圈下端共地的前提条件下二次侧感应电压相对于一次侧的励磁电压(外加加压)而言,不是两个电流的磁通量相加或者相减:
(变压器下面)另一对同名端连接在一起,共地(公共端或者0电势),(变压器上面)两个同名端之间的的电压值是两侧电压的差值,则是减极性,这时候二次侧感应电压和一次侧的励磁电压(外加加压)的同名端相位是相同的。

上图是减极性的相量图
(变压器下面)另一对异名端连接在一起,共地(公共端或者0电势),(变压器上面)两个异名端之间的的电压值是两侧电压的和值,则是加极性,这时候二次侧感应电压和一次侧的励磁电压(外加加压)的同名端相位是相差180°。

上图是 加极性的相量图
正如下文所讲:为了描述电动势方向问题,先得标定回路的绕行方向。不标定这个前提,电动势方向无法讨论正负






三、互感器一二次侧端子电压(和线圈感应电动势极性相反)分析
1、自感的线圈的端子电压,感应电动势,励磁电流和励磁电流的变化率(导数)分析
感应电动势的方向和磁通量的导数是相反的,大小相等。和励磁电流的方向有时相同,有时相反。
励磁电流的变化率也就是导数,决定感应电动势的大小和方向。而不是由励磁电流的大小和方向决定
磁通量的变化率也就是导数和u的曲线是相同的,但是代表的物理量,含义却是不同的
上图是自感电动势相关量微观函数分析
2、互感的线圈的一二次侧端子电压,感应电动势,励磁电流和励磁电流的变化率(导数)分析

图1
按照上图,加极性绕法。如果想从一次侧励磁电流的增大减小还有方向周期变化角度分析需要考虑一次侧励磁电压超前一次侧励磁电流90°(电感自感的作用),一次侧励磁电流产生的主磁动势IN,主磁动势IN产生的主磁通,这三个量是正比关系。一次侧电流I,产生磁动势,磁动势产生磁通,磁通变化产生电动势。磁动势F=Φ·Rm,Φ=B*S(S为与磁场方向垂直的平面的面积),Rm=L/μA(L表示磁路长度,A表示磁路横截面积)
磁动势F=N·I,N表示线圈匝数,I表示线圈中的电流大小。百度百科一次和二次侧的产生的感应电动势
一次线圈施加电压,一次线圈相当于电感,会产生一次侧电压相位超前电流90°,一次侧电流建立磁动势,磁动势和磁通的相位和一次侧电流相位相同。(这和交变电场的变化率是磁场不矛盾,应该是相同结果的两种角度的解释。可以用一施加正弦电压验证2020.4.13)括弧中的结论是错误的,有麦克斯韦电能转化为磁能公式得出,产生电流(该电流产生磁通)的电场或者电压,应该由电流部分的公式计算磁场强度。而不能再计算这个电场或者电压的变化率产生的磁场强度,这样是重复计算了两次。变化的电场产生磁场是指,没产生传导电流的电场,该变化的电场产生位移电流的效果,而产生磁场

自感磁通和互感磁通公式不能理解。但是主磁通是相同的容易理解,可以从这个角度分析2020.6.19


上面几张图对变压器的一二次侧电压的相位极性分析的很清楚。从宏观的端电压的电动势相反的角度得出加极性绕法的变压器一次侧励磁电压和二次侧输出电压极性相反
互感器一次,二次感应电动势的极性,采用基尔霍夫电压回路定律的方式分析,两个线圈作为电源处理,感应电动势的极性方向从互感线圈绕向角度分析。回路电压的和是0,为了分析方便,这时候先不考虑0点参考电势。最后二次线圈输出的时候再考虑0电势,以及两个线圈的端子电压(极性和感应电动势相反)和公共的0电势,在考虑加减极性。先考虑0电势分析的结果是一样的但是两个线圈相当于两个电源,极性有正有负,增加了分析的难度
加极性的互感器一二次侧端子电压的分析和上述过程相同。只是最后结果是加极性
电动势和端电压理解在线圈感应电动势中很重要。电动势一般按照负值理解表示吸收能量,端电压和电势压降是消耗能量,电动势和端电压的组成的环路中电动势和端电压的代数和是0
自感磁通和互感磁通公式不能理解。但是主磁通是相同的容易理解,可以从这个角度分析2020.6.19

版权声明:本文内容由互联网用户自发贡献,该文观点仅代表作者本人。本站仅提供信息存储空间服务,不拥有所有权,不承担相关法律责任。如发现本站有涉嫌侵权/违法违规的内容,请联系我们,一经查实,本站将立刻删除。
如需转载请保留出处:https://51itzy.com/kjqy/122880.html