航摄像片的变形(重点改正)
航摄像片变形的原因:
摄影处理:显影、定影、水洗和干燥等一条列处理过程,使像片产生仲缩
极影曝光,为使像片压平,航摄像片要承受一定的拉力
底片老化
摄影材料本身的质量,制作工艺的不足
航摄像片变形的种类
偶然变形:某一局部产生的偶然伸缩,这种变形无法用摄影测量的处理方法加以改正,只能用改进摄影材料的制造工艺,提高摄影材料质量的办法限制。
系统变形:每张像片产生同样规律的伸缩,通常可用计算方法加以消除。主要有均匀变形和不均匀变形(可利用框标坐标改正)。
改正航摄像片变形的方法

讯享网



影像的内定向可改正的像点误差
内定向:将像点在扫描坐标系下的坐标变换为其在像平面坐标系下坐标的过程(加上主点偏移改正)。
注意:在影像内定向过程中已经顾及了像片变形的改正,若进行了像片内定向,可不必做摄影材料的变形改正。
利用框标坐标改正像点坐标步骤
在航摄质量整定表中查出标准框标坐标(x,y’)
量测航摄像片上扣描坐标(x,y)
选择数学模型,计算变换参数ai,bi
利用变换参数和相应方程,计算改正后像点坐标
物镜畸变差(重点改正)
物镜畸变差的定义
在理想情况下,通过物镜前节点的入射光线与相应的通过后节点的出射光线是平行的,因此才可把航摄像片看作是地面的中心投影。但在实际情况下,由于摄影机物镜在加工和安装的过程中存在一定的误差,使得物方入射光线经过航摄仪物镜之后与像方出射光线不再平行,破坏了中心投影的几何条件。

物镜畸变差的种类和产生原因
由于理论上和技术上的原因,制造严格无畸变的物镜是不可能的。物镜畸变主要可分为径向畸变和切向畸变。
径向畸变是由镜头的形状缺陷所造成的,会使像点产生径向位置的偏差,其像点移位位于像主点与像点的连线上。
切向畸变是由于物镜透镜组中各个透镜中心不位于同一光轴上所造成的,其像点移位不位于像主点与像点的连线上。
切向畸变仅为径向畸变的1/5-1/7,多数情况下仅考虑径向畸变的影响。
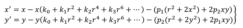
物镜径向畸变’

物镜畸变差纠正公式

摄影机检校


大气折光差
大气折光差产生的原因
光在不均匀介质中传播时要发生折射现象。由于大气的密度随着高度的增加而减少,因而空气的折射率也随着高度的增加而减小。因此,光线在大气层中行进的路径不是直线,而是一条曲线,破坏了共线关系。
大气折光差的公式

地球曲率的影响

地球曲率的影响
摄影测量中,物方坐标系是一个空间三维直角坐标系统,其将一个水平面作为基准面。然而,在实际测量中,控制点是建立
在大地测量坐标系(高斯平面坐标和高程)中,其基准面为大地水准面(椭球面),这种矛盾的存在,会导致物点的构像发生位移。
解决地球曲率的影响
改变已知控制点的坐标系统。采用地心坐标系统,将加密计算过程建立在严格的数学基础上。
“改正”像点坐标。将像点坐标加曲率改正,使得所建立的立体模型的水准面是一平面,而且对各点的平面位置不产生明显的影
响。这是一种近似的办法。
地球曲率改正公式

版权声明:本文内容由互联网用户自发贡献,该文观点仅代表作者本人。本站仅提供信息存储空间服务,不拥有所有权,不承担相关法律责任。如发现本站有涉嫌侵权/违法违规的内容,请联系我们,一经查实,本站将立刻删除。
如需转载请保留出处:https://51itzy.com/kjqy/122487.html