在强化学习中(如DDPG算法),可能会用到Ornstein-Uhlenbeck(奥恩斯坦-乌伦贝克)过程,即OU过程。
这篇博客将从三个角度解释一下OU过程:
- 什么是OU过程?
- OU过程适用于哪些场景?
- OU过程的验证实验
前言: DDPG论文中使用Ornstein-Uhlenbeck噪声用于探索,为什么不用高斯噪声呢?
1. OU过程定义
OU过程有下面的随机微分方程: d x t = θ ( μ − x t ) d t + σ d W t dx_t = \theta(\mu - x_t)dt + \sigma dW_t dxt=θ(μ−xt)dt+σdWt 其中,其中 θ > 0 \theta>0 θ>0, μ \mu μ(均值), σ > 0 \sigma>0 σ>0(方差)均为参数, W t W_{t} Wt 为维纳过程(布朗运动)。
可以将OU过程表达为离散形式研究一下,暂且不考虑第二项(扰动项):
d x t = x ( t + Δ t ) − x ( t ) = − θ ( x t − μ ) Δ t dx_t = x(t + \Delta t) - x(t) = -\theta(x_t - \mu)\Delta t dxt=x(t+Δt)−x(t)=−θ(xt−μ)Δt 可以发现,OU过程是均值回归过程,当 x t x_t xt 比均值 μ \mu μ 大的时候,下一步状态值 x t + Δ t x_{t + \Delta t} xt+Δt就会变小;反之,下一步状态值会变大。简单地说就是状态值偏离均值的时候会被拉回。
那么 θ > 0 \theta>0 θ>0, μ \mu μ, σ > 0 \sigma>0 σ>0 各个参数有什么作用呢?先看结论:

讯享网
现在对OU过程有下面的随机微分方程 d x t = θ ( μ − x t ) d t + σ d W t dx_t = \theta(\mu - x_t)dt + \sigma dW_t dxt=θ(μ−xt)dt+σdWt
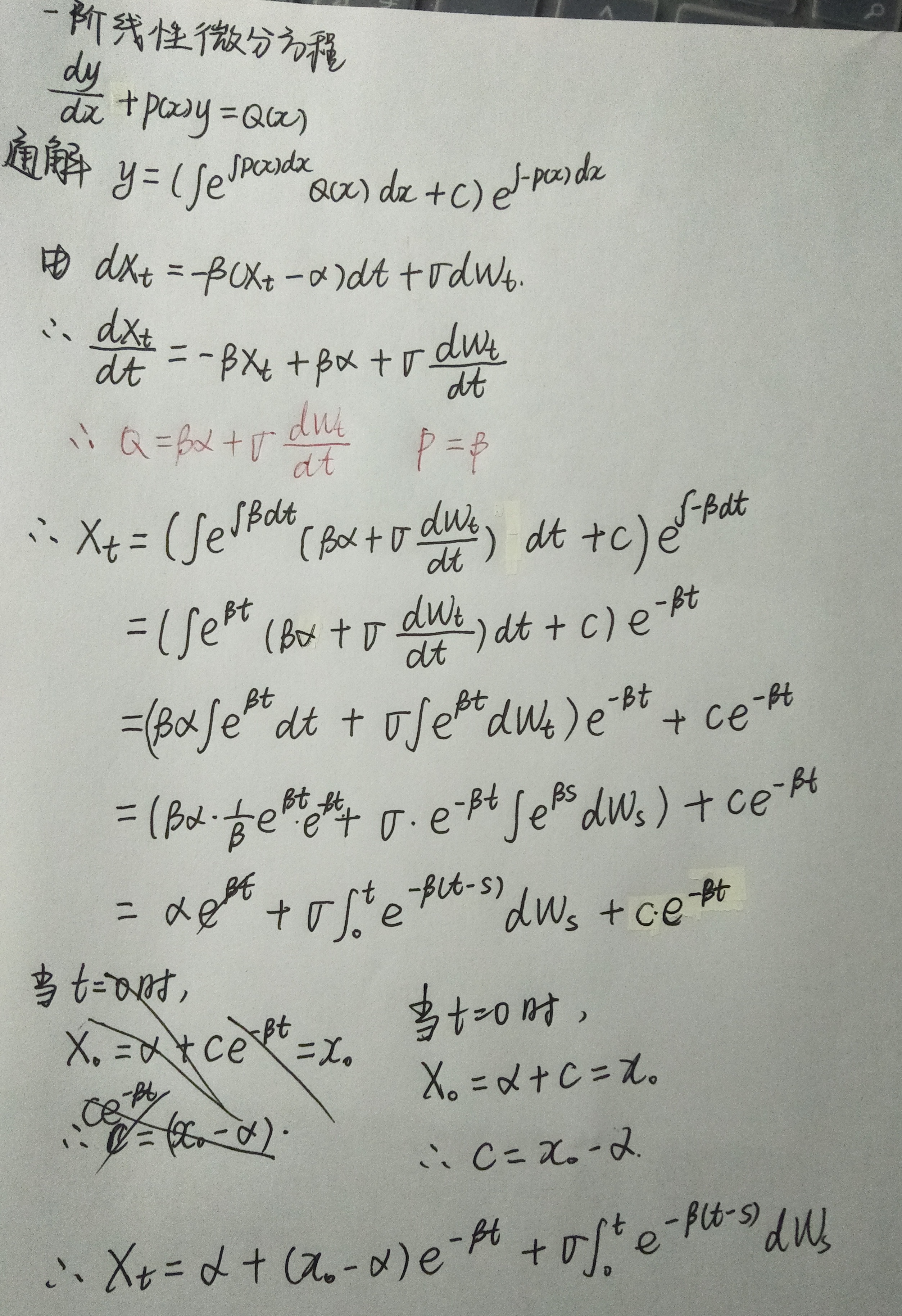
进行分析,这显然是一个一阶线性微分方程,求解过程如下:


注:求解过程中用 α \alpha α 表示 μ \mu μ,用 β \beta β 表示 θ \theta θ。
不考虑维纳过程,可以得到: x t = μ + ( x 0 − μ ) e − θ t x_t = \mu + (x_0 - \mu)e^{-\theta t} xt=μ+(x0−μ)e−θt 所以 θ \theta θ 表示系统对干扰的反映程度,即 θ \theta θ 越大,干扰变得越小,保持状态值在均值附近。
再考虑扰动项(维纳过程),每一段时间间隔内的增量是服从高斯分布的:
W ( t ) − W ( s ) ∼ N ( 0 , σ 2 ( t − s ) ) W(t) - W(s) \sim N(0, \sigma^2(t - s)) W(t)−W(s)∼N(0,σ2(t−s)) 所以 方差 σ \sigma σ 表示噪音的大小或变化,即决定扰动的变化尺度。
2. OU过程适适用场景
OU过程是时序相关的,所以在强化学习的前一步和后一步的动作选取过程中可以利用OU过程产生时序相关的探索,以提高在惯性系统(即环境)中的控制任务的探索效率。(注:高斯噪声是时序上不相关的,前一步和后一步选取动作的时候噪声都是独立的。前后两动作之间也只是通过状态使其独立。)
所以OU过程的适用场景有:
- 相比于独立噪声,OU噪声适合于惯性系统,尤其是时间离散化粒度较小的情况。
- 可以保护实际系统,如机械臂。
本部分参考知乎专栏强化学习中Ornstein-Uhlenbeck噪声是鸡肋吗?
3. OU过程实验
import numpy as np import matplotlib.pyplot as plt class OrnsteinUhlenbeckActionNoise: def __init__(self, mu, sigma=1.0, theta=0.15, dt=1e-2, x0=None): self.theta = theta self.mu = mu self.sigma = sigma self.dt = dt self.x0 = x0 self.reset() def __call__(self): x = self.x_prev + self.theta * (self.mu - self.x_prev) * self.dt + \ self.sigma * np.sqrt(self.dt) * np.random.normal(size=self.mu.shape) self.x_prev = x return x def reset(self): self.x_prev = self.x0 if self.x0 is not None else np.zeros_like(self.mu) def __repr__(self): return 'OrnsteinUhlenbeckActionNoise(mu={}, sigma={})'.format(self.mu, self.sigma) if __name__ == "__main__": ou_noise = OrnsteinUhlenbeckActionNoise(mu=np.zeros(1)) plt.figure() y1 = [] y2 = np.random.normal(0, 1, 1000) t = np.linspace(0, 100, 1000) for _ in t: y1.append(ou_noise()) # plt.plot(t, y1, c='r') plt.plot(t, y2, c='b') plt.show()
讯享网
![]() |
![]() |
|---|
从上面结果可以很清楚地区分了OU过程的时序相关性与高斯随机过程的前后无关性。OU noise往往不会高斯噪声一样相邻的两步的值差别那么大,而是会绕着均值附近正向或负向探索一段距离,就像物价和利率的波动一样,这有利于在一个方向上探索。


版权声明:本文内容由互联网用户自发贡献,该文观点仅代表作者本人。本站仅提供信息存储空间服务,不拥有所有权,不承担相关法律责任。如发现本站有涉嫌侵权/违法违规的内容,请联系我们,一经查实,本站将立刻删除。
如需转载请保留出处:https://51itzy.com/kjqy/119221.html