信道相关概念释义
CSI:(本条及下一条整理自知乎用户甜草莓的回答)
1.是衡量信道情况的信道状态信息(Channel State Information)。CSI代表着通信链路的传播特性,它描述信道中散射,衰落,功率衰减等等多种效应的联合影响(信道状态信息说白了就是传播路上的路况)。
2.获取CSI的方式称为信道估计。
3.CSI分为两种,发射机侧的和接收机侧的(路况有出门前得到的,以及到达后的,显然出门前获得的重要)。
4.获得发射机侧的CSI,可以采用功率分配,波束赋形,天线选择等等手段提前补偿这些衰减(发现路况不好可以在出门前采取措施)。
> 5.有两种CSI,一种是暂态的CSI,一种是统计上的CSI。
6.CSI获得的前提是先有信道模型。y=飞鸽传书(x), 鸽子的负重,飞行所需时间,迷路概率,路上被人烤了吃的概率等等就是csi。
瞬时CSI:
信道估计有几种方法:
频域下的信道模型:
信道可以被 Y=HX+N
模型表示Y,X各自代表接受到的和发射的信号向量,N代表信道噪音向量,H是信道矩阵,信道矩阵H以信道状态信息的格式表示。
高频率信号:
频率越高,穿透能力(不变方向)越强,信号穿透会损失很大能量,所以传输距离越近,波长越短,饶射(衍射效果)能力越弱。
MIMO(Multiple-Input Multiple-Output,多输入多输出)技术:
指在发射端和接收端分别使用多个发射天线和接收天线,使信号通过发射端与接收端的多个天线传送和接收,从而改善通信质量.
分集与复用技术:
其中分集和复用又是MIMO的两项最基本的技术。简单来说,分集就是把一个数据重复发送多次,以保证接收端能够正确收到,在MIMO系统中,可以利用多个发射天线同时发送相同的信息,接收端也同时接收并解析出来,从而提高了传输准确性。而复用则是指利用所有的资源来发送不同的数据,在MIMO系统中,可以利用多个天线对发送不同的信息,从而提高通信的速度。从概念上来说,这又是一个鱼与熊掌兼得的问题?事实上,一套完整的通信物理层协议会定义许多种发送方式。在实际通信过程中,收发双方会根据即时的通信条件和传播环境等因素,自适应的调整并选择最优的方式进行通信。比如,当无线信道条件很差的时候,会更多的用到分集技术,来保证通信的可靠性;当信道条件良好的时候,就会选择复用,每次多发一些数据,以提高传输的速率。具体的发送方式也更加复杂,采取的是从时间和空间的两个角度发送——空时编码(具体与本研究无关,但需要注意的是,因为分集的存在,设备收发天线可能存在选择问题)。
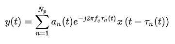
接收端的等效基带信号、多径衰落:
在静态场景下(每条路径的多普勒频移为0), 设发射信号的等效基带信号为x(t), 其共沿Np条路径到达接收机, 忽略噪声的影响,
则接收端的等效基带信号为
讯享网
式中,n=1时对应LOS路径,a_n(t)表示第n条路径在时刻t的幅值,
其值与大尺度路径损耗和阴影衰落相关。Tn(t)表示第n条路径的传播时延,fc为载波频率,-2πfcTn(t)则为时延Tn(t)造成的相位偏移。由此可见,
由于an(t),Tn(t) 的不断变化,会使得多径信号幅值和相位不断变化。根据信号同相增强,反相消减原理,
具有不同幅值和相位的多径信号叠加后会造成合成信号y(t)的幅度和相位发生剧烈波动, 即产生多径衰落。
时间色散:

除了引发接收信号强度衰落或波动以外, 不同多径信号由于到达时间的差异在时域上叠加会产生时间色散现象,
从而容易造成两个连续发送的符号数据(码元)之间发生混叠, 引起符号间干扰(Inter-Symbol Interference, ISI),
影响网络通信质量。无线网络受时间色散的影响程度可通过时延扩展来衡量,如最大时延扩展Tmax其表示最早和最晚到达接收机的多径分量之间的时延差。
相干带宽:
与时延扩展相关的另一个信道参数是相干带宽Bc, 实际应用中其数值可定义为Tmax的倒数。 无线通信中的信道基本均为包含一定频段的带宽信道,
相干带宽则用于表征信道中两个频率分量之间相关性程度。 当两个不同频率信号间隔小于Bc时, 信号间的相关性较高,
信号呈现一致性衰落;而当信号间隔大于Bc时, 不同频率信号的相关性减弱, 呈现近似独立性衰落 。
频率色散:
多普勒扩展:
相干时间:
可定义为Tc= 1/Bd。 在相干时间间隔内, 两个到达信号的相关性较强,受频率色散影响程度相近;反之,两个到达信号相关性较小,
受频率色散的影响差别较大。 在无线通信中, 当符号周期T>Tc或信道带宽Bw<Bd时, 频率色散会严重影响正常通信, 此时信道为快衰落信道。
而当T<Tc或Bw>Bd时, 信道受频率色散影响较小, 信道变为慢衰落信道。
信道频率响应(ChannelFrequence Response,CFR):
信号在不同频率范围内,信号特性的响应,一般包含幅度/频率和相位/频率两种响应。
信道冲激响应(Channel Impulse Response, CIR):
信号经过不同时间(不同的传播路径导致传播所需时间不同)到达接收方的信号能量值。CIR和CFR满足互为傅里叶变换。
RSS:
是指客户端接收的无线信号强度(Received Signal Strength),属于MAC层,来自每个数据包。比如手机上,我们经常会看到
Wi-Fi 信号不满格,一般认为信号不好。我个人理解就是指 RSS 不够强。一般 RSS
的强度受到三个方面影响:1)路径衰减;2)遮挡;3)多径效应。利用当前的WiFi设备获取的RSS不太精确,不过可以利用RSS信息做一些应用,例如室内定位、目标对象移动侦测一类的。

版权声明:本文内容由互联网用户自发贡献,该文观点仅代表作者本人。本站仅提供信息存储空间服务,不拥有所有权,不承担相关法律责任。如发现本站有涉嫌侵权/违法违规的内容,请联系我们,一经查实,本站将立刻删除。
如需转载请保留出处:https://51itzy.com/kjqy/118351.html