伽罗华域(Galois Field)上的四则运算_shelldon的博客-CSDN博客_伽罗华域
伽罗华域(Galois Field)上的四则运算
Évariste Galois ,伽罗华(也译作伽瓦罗),法国数学家,群论的创立者。用群论彻底解决了根式求解代数方程的问题,而且由此发展了一整套关于群和域的理论。 本文介绍伽罗华域,以及在伽罗华域上的四则运算方式。伽罗华域上的四则运算实际上是多项式计算,后文中详细介绍。
一、相关数学概念
1、域
2、有限域
仅含有限多个元素的域。因为它由伽罗华所发现,因而又称为伽罗华域。
所以当我们说伽罗华域的时候,就是指有限域。 GF(2w)表示含有2w个元素的有限域。
3、单位元
Identity Element,也叫幺元(么元),通常使用e来表示单位元。单位元和其他元素结合时,并不会改变那些元素。 对于二元运算,若ae=a,e称为右单位元;若ea=a,e称为左单位元,若ae=e*a=a,则e称为单位元。
4、逆元
对于二元运算,若ab=e,则a称为b的左逆元素,b称为a的右逆元素。若ab=ba=e,则称a为b的逆元,b为a的逆元。
5、本原多项式
域中不可约多项式是不能够进行因子分解的多项式, 本原多项式 (primitive polynomial)是一种特殊的不可约多项式。当一个域上的本原多项式确定了,这个域上的运算也就确定了。本原多项式一般通过查表可得,同一个域往往有多个本原多项式。
通过将域中的元素化为多项式形式,可以将域上的乘法运算转化为普通的多项式乘法再模本原多项式。
二、多项式运算
由于GF(2w)上的四则运算是基于多项式运算的,这里先介绍多项式运算。 多项式一般长这个样子:f(x) = x6 + x^ 4 + x2 + x + 1。
1、多项式加减法
将两个多项式中相同阶数的项系数相加或相减。 例如 (x2 + x ) + (x + 1) = x2 + 2x +1
2、多项式乘法
将其中一个多项式的各项分别与另一个多项式的各项相乘,然后把相同指数的项的系数相加。 例如 (x2 + x) * (x + 1) = x2 * (x + 1) + x * (x + 1) = x3 + x2 + x2 + x
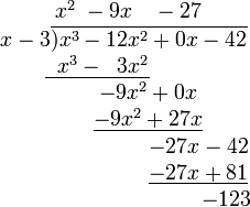
3、多项式除法
使用长除法。例如计算x3-12x2-42,除以x-3。使用长除法计算,商x2-9x-27,余数-123。
4、GF(2w)上的多项式运算
对于GF(2w)上的多项式计算,多项式系数只能取 0或1。(如果是GF(3w),那么系数可以取 0、 1、 2) GF(2w)的多项式加法中,合并阶数相同的同类项时,由于0+0=0,1+1=0,0+1=1+0=1,因此系数不是进行加法操作,而是进行异或操作。
GF(2w)的多项式减法等于加法,例如x ^4 – x4就等于x4 + x4。
三、伽罗华域
1、有限域GF(p):
有限域GF(p),其中p为素数。GF(p)里面的加法和乘法与一般的加法和乘法差不多,区别是结果需要mod p,以保证结果都是域中的元素。GF(p)的加法和乘法单位元分别是 0和1。 GF(p)加法是(a+b) mod p,乘法是(a*b)mod p。
对于域中的乘法,当p为素数时,才能保证集合中的所有的元素都有乘法逆元(0除外)。即对于域中的任一个元素a,总能在域中找到另外一个元素b,使得a*b mod p 等于1。
说明:假如p等于10,其乘法单位元为1。对于元素2,找不到一个数a,使得2*a mod 10 等于1,即2没有乘法逆元。这时,在域上就不能进行除2运算。
2、有限域GF(2w):
GF(p)中p必须是一个素数,才能保证集合中的所有元素都有加法和乘法逆元(0除外)。但实际应用中,很多场合需要 0到255这256个数字能组成一个域。但256不是素数,小于256的最大素数为251,如果直接把大于等于251的数截断为250,则会丢失一部分数据。
因此引入了GF(pw),其中p为素数,通常取p=2。计算机领域中经常使用的是GF(28),8刚好是一个字节的比特数。为了保证单位元性质,GF(2w)上的加法运算和乘法运算,不再使用一般的加法和乘法,而是使用多项式运算。
四、本原多项式
伽罗华域的元素可以通过该域上的本原多项式生成。通过本原多项式得到的域,其加法单位元都是 0,乘法单位元是1。
以GF(23)为例,指数小于3的多项式共8个: 0, 1, x, x+1, x2, x2+1, x2 + x, x2+x+1。其系数刚好就是000,001, 010, 011, 100, 101, 110, 111,是0 到7这8个数的二进制形式。
GF(23)上有不只一个本原多项式,选一个本原多项式x3+x+1,这8个多项式进行四则运算后 mod (x3+x+1)的结果都是8个之中的某一个。因此这8个多项式构成一个有限域。

对于GF(23),取素多项式为x3 + x+1,那么多项式x2+x的乘法逆元就是x+1。系数对应的二进制分别为110和011。此时,我们就认为对应的十进制数6和3互为逆元。
部分 GF(2w)域经常使用的本原多项式如下:

通过本原多项式生成元素
设P(x)是GF(2w)上的某一个本原多项式,GF(2w)的元素产生步骤是:
1、给定一个初始集合,包含0,1和元素x,即 {0,1,x};
2、将这个集合中的最后一个元素,即x,乘以x,如果结果的度大于等于w,则将结果mod P(x)后加入集合;
3、直到集合有2w个元素,此时最后一个元素乘以x再mod P(x)的值等于1。
例如,GF(24)含有16个元素,本原多项式为P(x)=x4+x+1,除了 0、1外,另外14个符号均由本原多项式生成。 注意到x14=x3+1,此时计算x15=x14x=(x3+1)x=x4+x=1,生成结束。
| 生成元素 | 多项式表示 | 二进制表示 | 数值表示 | 推导过程 |
| 0 | 0 | 0000 | 0 | |
| x^0 | x^0 | 0001 | 1 | |
| x^1 | x^1 | 0010 | 2 | |
| x^2 | x^2 | 0100 | 4 | |
| x^3 | x^3 | 1000 | 8 | |
| x^4 | x+1 | 0011 | 3 | x^3*x = x^4 mod P(x) = x+1 |
| x^5 | x^2+x | 0110 | 6 | x^4*x = (x+1)*x = x^2+x |
| x^6 | x^3+x^2 | 1100 | 12 | |
| x^7 | x^3+x+1 | 1011 | 11 | x^6*x = (x^3+x^2)*x = x^4 +x^3 mod P(x) = x^3+x+1 |
| x^8 | x^2+1 | 0101 | 5 | |
| x^9 | x^3+x | 1010 | 10 | |
| x^10 | x^2+x+1 | 0111 | 7 | x^9*x=(x^3+x)*x = x^4+x^2 mod P(x) = x^2+x+1 |
| x^11 | x^3+x^2+x | 1110 | 14 | |
| x^12 | x^3+x^2+x+1 | 1111 | 15 | x^11*x=(x^3+x^2+x)*x = x^4+x^3+x^2 mod P(x) = x^3+x^2+x+1 |
| x^13 | x^3+x^2+1 | 1101 | 13 | x^12*x=(x^3+x^2+1 )*x = x^4+x^3+x mod P(x)= x^3+1 |
| x^14 | x^3+1 | 1001 | 9 | x^13*x=(x^3+x^2+1)*x = x^4+x^3+x mod P(x) = x^3+1 |
| x^15 | 1 | 0001 | 1 | x^14*x = (x^3+1)*x = x^4+x mod P(x) = 1 |
五、伽罗华域上的运算
加法和减法:
加法和减法就是多项式计算中说的异或运算。
乘法和除法:
伽罗华域上的多项式乘法,其结果需要mod P(x),可以通过以下方式简化计算。
首先,考虑x8,x8 mod P(x) = P(x) – x8 = x4 + x3 +x2 +1 。
对于一般形式的多项式f(x)=a7x7 + a6x6 + a5x5 + a4x4 + a3x3 + a2x2 + a1x + a0,乘以x得到 xf(x) = (a7x8 + a6x7 + a5x6 + a4x5 + a3x4 + a2x3 + a1x1 + a0x) mod P(x)
这时有两种情况:
1)a7 == 0,此时结果是一个小于指数小于8的多项式,不需要取模计算。
2)a7 == 1,则将x8替换为x4 + x3 + x2 +1,而不用进行除法取模计算,结果为:
xf(x) = (x4 + x3 + x2 +1) + a6x7 + a5x6 + a4x5 + a3x4 + a2x3 + a1x1 + a0x
虽然可以通过替换减少除法计算,但还是过于复杂。尤其是在需要大量运算的场合,比如图像处理。于是牛人提出通过查表来减少计算。
六、查表的原理
首先介绍一个概念,生成元。
生成元是域上的一类特殊元素,生成元的幂可以遍历域上的所有元素。假设g是域GF(2w)上生成元,那么集合 {g0 ,g1 , ……,g(2w-1) } 包含了域GF(2w)上所有非零元素。在域GF(2w)中2总是生成元。
将生成元应用到多项式中, GF(2w)中的所有多项式都是可以通过多项式生成元g通过幂求得。即域中的任意元素a,都可以表示为a = gk。
GF(2w)是一个有限域,就是元素个数是有限的,但指数k是可以无穷的。所以必然存在循环。这个循环的周期是2w-1(g不能生成多项式 0)。所以当k大于等于2w-1时,gk =gk%(2w-1)。
对于gk = a,有正过程和逆过程。知道指数k求a是正过程,知道值a求指数k是逆过程。
对于乘法,假设a=gn,b=gm。那么ab = gn gm = gn+m。查表的方法就是根据a和b,分别查表得到n和m,然后查表gn+m即可。
因此需要构造正表和反表,在GF(2w)域上分别记为gflog和gfilog。gflog是将二进制形式映射为多项式形式,gfilog是将多项式形式映射为二进制形式。
注意:多项式0 ,是无法用生成元生成的。g0等于多项式1,而不是 0。
根据上文的GF(24)的元素表示,生成gflog表和gfilog表如下:

查表进行乘法和除法运算的例子
在GF(24)域上的乘法和除法,已知2w-1 = 24 -1 = 15:
乘法:
7 * 9 = gfilog[gflog[7] + gflog[9]] = gfilog[10 + 14] = gfilog[24 mod 15] = gfilog[9] = 10
除法:
13 / 11 = gfilog[gflog[13] - gflog[11]] = gfilog[13 - 7] = gfilog[6] = 12
五、生成GF(2w)gflog表和gfilog表的python代码
| # coding=UTF-8 # key : value => w : primitive_polynomial primitive_polynomial_dict = {4: 0b10011, # x4 + x + 1 8: (1 << 8) + 0b11101, # x8 + x4 + x3 + x2 +1 16: (1 << 16) + (1 << 12) + 0b1011, # x16 + x12 + x3 + x + 1 32: (1 << 32) + (1 << 22) + 0b111, # x32 + x22 + x2 + x + 1 64: (1 << 64) + 0b11011 # x64 + x4 + x3 + x + 1 } def make_gf_dict(w): gf_element_total_number = 1 << w primitive_polynomial = primitive_polynomial_dict[w] gfilog = [1] # g(0) = 1 for i in xrange(1, gf_element_total_number - 1): temp = gfilog[i - 1] << 1 # g(i) = g(i-1) * g if temp & gf_element_total_number: # if overflow, then mod primitive polynomial temp ^= primitive_polynomial # mod primitive_polynomial in GF(2w) == XOR gfilog.append(temp) assert (gfilog[gf_element_total_number - 2] << 1) ^ primitive_polynomial gfilog.append(None) gflog = [None] * gf_element_total_number for i in xrange(0, gf_element_total_number - 1): gflog[gfilog[i]] = i print "{:>8}\t{:>8}\t{:>8}".format("i", "gfilog[i]", "gflog[i]") for i in xrange(0, gf_element_total_number): print "{:>8}\t{:>8}\t{:>8}".format(i, gfilog[i], gflog[i]) if __name__ == "__main__": make_gf_dict(4) |
参考
有限域GF(2^8)的四则运算及拉格朗日插值_luotuo44的博客-CSDN博客_gf有限域 伽罗华域(Galois Field,GF,有限域)乘法运算_MengBoy的博客-CSDN博客_伽罗华域乘法运算 登录 - 推酷 Galois 域上的运算(规则) - OO~'s Blog

版权声明:本文内容由互联网用户自发贡献,该文观点仅代表作者本人。本站仅提供信息存储空间服务,不拥有所有权,不承担相关法律责任。如发现本站有涉嫌侵权/违法违规的内容,请联系我们,一经查实,本站将立刻删除。
如需转载请保留出处:https://51itzy.com/kjqy/114516.html