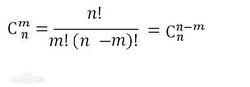
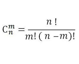
公 式:C(n,m)=n!/((n-m)!*m!)(m≤n)
性质1:C(n,m)= C(n,n-m)
性质2:C(n,m)=C(n-1,m-1)+C(n-1,m)
定义
组合是数学的重要概念之一。从 n 个不同元素中每次取出 m 个不同元素
,不管其顺序合成一组,称为从 n 个元素中不重复地选取 m 个元素的一个组合。所有这样的组合的种数称为组合数。
性质
1.互补性质
即从m个不同元素中取出n个元素的组合数=从m个不同元素中取出 (m-n) 个元素的组合数;

例如C(9,2)=C(9,7),即从9个元素里选择2个元素的方法与从9个元素里选择7个元素的方法是相等的。
规定:C(n,0)=1
2.组合恒等式
若表示在 n 个物品中选取 m 个物品,则如存在下述公式:C(n,m)=C(n,n-m)=C(n-1,m-1)+C(n-1,m)。

问题
用递归法计算从n个人中选择k个人组成一个委员会的不同组合数。
由n个人里选k个人的组合数 = 由n-1个人里选k个人的组合数 + n-1个人里选k-1个人的组合数
从n-1个人增加到n个人,最后一个人可能被选中也可能不被选中,有两种情况:
1.不被选中,即需要从n-1个人中选择k个人。
2.被选中,即需要从n-1个人中选择k-1个人。
这两种情况加起来就是从n个人里选择k个人的组合数。
#include <iostream> using namespace std; // 计算从n个人里选k个人的组合数 int comm(int n, int k) { if(k > n) return 0; else if(n == k || k == 0) return 1; else return comm(n-1, k) + comm(n-1, k-1); } int main() { int n,k; cout<<"Please enter two integers n and k: "; cin>>n>>k; cout<<"C(n, k)="<<comm(n, k)<<endl; return 0; }
讯享网
卢卡斯定理(Lacus)求大组合数

现在来了新问题,如果n和m很大呢,
比如求C(n, m) % p , n<=1e18,m<=1e18,p<=1e5
看到没有,n和m这么大,但是p却很小,我们要利用这个p
卢卡斯说要有
C(n, m) % p = C(n / p, m / p) * C(n%p, m%p) % p
于是便有了大组合数有解。
找了一个大佬的理解过程:

贴个模板:
讯享网const int p=1e9+7; ll qmi(ll a,ll k)//用到快速幂/逆元/组合公式 { ll res=1; while(k) { if(k&1) res=res*a%p; a=a*a%p; k>>=1; } return res; } ll C(int a,int b) { ll res=1; for(ll i=1,j=a;i<=b;i++,j--) { res=res*j%p; res=res*qmi(i,p-2)%p; } return res; } ll lucas(ll a,ll b) { if(a<p&&b<p) return C(a,b); return C(a%p,b%p)*lucas(a/p,b/p)%p; }
二
const int p=; const int N=; typedef long long ll; ll qmi(ll a,ll k,ll p) { ll res=1; while(k) { if(k&1) res=res*a%p; a=a*a%p; k>>=1; } return res; } ll fac[N]; void init() { fac[0]=1; for(int i=1;i<=N-10;++i) fac[i]=fac[i-1]*i%p; } ll C(ll n,ll m) { return fac[n]*qmi(fac[n-m]*fac[m]%p,p-2,p)%p; }
版权声明:本文内容由互联网用户自发贡献,该文观点仅代表作者本人。本站仅提供信息存储空间服务,不拥有所有权,不承担相关法律责任。如发现本站有涉嫌侵权/违法违规的内容,请联系我们,一经查实,本站将立刻删除。
如需转载请保留出处:https://51itzy.com/kjqy/113866.html