进入无穷级数章节,我们研究的重点是级数的敛散性问题,更多的是对以前学过的求极限的知识的运用。
第一部分只会涉及其中的数项级数,
主要内容:
一、初识无穷级数
二、正项级数审敛法
知识点1:正项级数敛散性的判定
三、任意项级数
知识点2:莱布尼茨判别法
知识点3 :综合判断级数敛散性
一、初识无穷级数
- 何为无穷级数
给出一个无穷序列
讯享网, 我们把它们的和式
称为无穷级数,简记为
,其中
是通项。
根据每一项的特征,级数又分为了数项级数和函数项级数。
首先介绍的是数项级数。
- 无穷级数的敛散性

这便是级数敛散性的定义,也是我们判断级数敛散性的第一个手段——求出部分和(前n项和),判断这个部分和是否有极限。
例

例

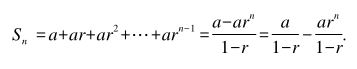
利用等比数列前n项和公式,但是要注意公比为1、-1的情况需要单独考虑。

虽然计算部分和的极限来判断级数是否收敛这种方法很直接、易懂,但是很多情况下我们很难求出部分和,更不用说求出其极限了。因此,判断级数的敛散性,我们需要用更加方便的判断方法,在后面我们会陆续学到。
- 无穷级数的性质
1.
2.
收敛级数的和、差均收敛;
收敛级数与发散级数的和、差必定发散;
发散级数的和、差的敛散性不确定。
3.

这个性质启发我们,有时候我们可以忽略无穷级数的部分有限项,仅考虑剩下的项,此时敛散性不变。
4. 收敛级数可以任意加括号(而不改变收敛性),发散级数可以任意去括号(而不改变发散性)
如:考虑通项为
的级数,发散级数不可以任意加括号,可能会改变敛散性。
5.

既然是级数收敛的必要条件,那么我们在判断一个级数是否收敛的时候,最开始就应该看看这个条件是否成立,一旦不成立,级数一定发散。
例

首先判断n趋向于正无穷大时,极限是否为零。
二、正项级数审敛法
- 何为正项级数
满足级数和式的每一项都是非负的实数的级数,是正项级数。
这里介绍一个简单的定理,是针对正项级数而言的:
正项级数收敛
正项级数的部分和数列有上界
例

考虑正项级数部分和的是否有界。用到一个重要不等式
将分式转化为对数式,再根据对数运算法则处理。

知识点1:正项级数敛散性的判定
对于正项级数,我们有五种方法,是
- 比较判别法
- 比阶判别法
- 比值判别法(达朗贝尔判别法)
- 根值判别法(柯西判别法)
- 积分判别法
在正式介绍这三种方法之前,我们首先需要记住一下可以下面两个级数的敛散性,以此方便后面的解题。
等比级数,
P-级数,
比较判别法

解读:要想使用比较判别法,就最好将一个未知的正项级数放大为一个收敛的级数,或者缩小为一个发散的级数。这两种情况下,比较法生效。
使用关键:会适当地放缩
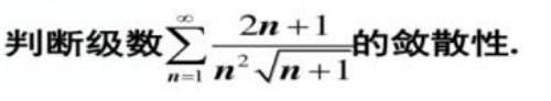
例

比较法需要我们牢记等比级数、p级数这两把标尺,即它们的敛散性情况,这样我们才可以明确待求敛散性的级数该怎么操作、敛散性如何。
(1)形式和调和级数有点像,估计是发散的,就将其缩小,即放大分母,-1去掉即可。
(2)向等比级数转化,估计是收敛的,就将其放大,即减小分母,1去掉即可。
例

一般地,我们需要首先预判一下这个级数的敛散性,如果它可能收敛,就将它放大,反之缩小,最后的放缩结果最好是等比级数或者p级数这样的“标尺”,方便我们判断。
解:
注意到通项分母比分子次数更高,它有可能收敛;可以向p级数放大转化,放大分子,减小分母,将所有的常数项要么缩小为0,要么放大为n,即可得到p级数。

当做一个结论记忆即可,有时候可以直接用。
比阶判别法

解读:比阶判别法是比较判别法的极限形式,理解为同阶的级数敛散性相同。
使用关键:可能涉及等价无穷小的知识,与极限的运算紧密关联
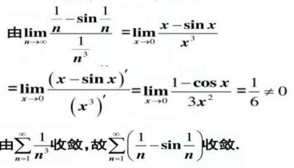
例

由于比阶法涉及极限问题,以及同阶之类的情况,我们需要回忆极限一章学过的一些结论,包括重要极限、洛必达法则等。
我们知道
(也可以当即验证)

下面给出两个例子,是想具体地展示我们怎么选取级数来用比阶法,以及整个思考过程
例

给出的待求敛散性级数的通项如果是分式,且分式仅含有n的某次幂的形式,那么比阶法很适用,因为我们要比的级数就是1/n 的某次幂(p级数),很容易判断出敛散性。
(2) 分子为n的零次幂,分母(最高)为n的3次幂,我们就选取的p级数通项就是
(它是收敛的),
,
两者同阶,敛散性一致,均收敛。
(3)分子是1/2次的,分母是1次的,我们就选取的p级数通项是
(它是发散的),


两者同阶,敛散性一致,均发散。
比值判别法(达朗贝尔判别法)

解读:比值判别法操作起来很直接,它不需要其他的级数作为判定标尺,使用本身即可判定。它和后面的根值法将会是判定正项级数敛散性的首选方法。
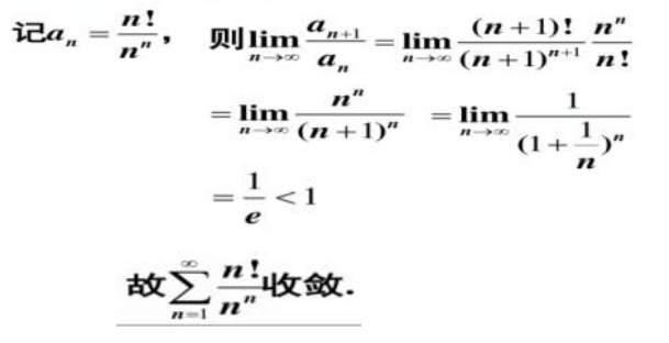
例

首选比值法,计算一个极限即可。

关于上面用到的重要极限,有一点说明:
其实e是它的一个上限,下面这个不等关系很重要。
例
判断下列级数的敛散性。

直接使用比值法:

根值判别法(柯西判别法)

解读:当级数的通项中有n次幂时,根值判别法很适用。
注意:对于比值判别法和根值判别法,当算出来的极限值为1时,此时比值法、根值法失灵,需要更换方法了。

例

积分判别法

由判断级数的敛散性转化为判断一个广义积分的敛散性。
例


这也是一个结论性的级数,其敛散性可以记下来。
小结:
以上的这五种判别方法,都是针对正项级数才能使用的方法(负项级数加上负号转化为正项级数也可以使用),在不清楚级数是否是正项级数的情况下,不能贸然使用。
判断正项级数敛散性的大致步骤:
- 首先判断通项在n趋向于无穷大时极限是否为0(级数收敛的必要条件)
- 首选比值法、根值法;
- 然后选用比较法、比阶法;
- 用定义判断(求部分和)。
三、任意项级数
既有正项、又有负项的级数,称为任意项级数。为了能够将研究任意项级数的问题向研究正项级数的问题转化,我们需要对任意项级数作出一些处理。
- 绝对收敛与条件收敛

我们把任意项级数中正项和负项分别抽离组成新的正向级数(负项都添加负号即可),分别称为正部级数和负部级数:
那么有 绝对收敛
正部级数和负部级数都收敛
证明方法略(用到了比较法,它们都是正项级数)
1. 我们可以得到一个非常重要的结论:
绝对收敛
收敛
即一个(任意项)级数如果绝对收敛,那么它必然收敛。
注意这是判断级数收敛的充分条件,也就是说一个级数收敛,它也可能并不绝对收敛(此时它就是我们所说的条件收敛),一般来说我们并不能这样判断:
不绝对收敛 => 发散
2. 同时我们也可以得到(逆否命题一定也成立)
发散
不绝对收敛
3. 但是也有例外情况,如果我们使用了比值法或者根值法判断出来原级数并不绝对收敛,那么它时发散的。即
用比值法或者根值法判断出不绝对收敛
发散
- 交错级数
正项与负项相间的级数,为交错级数,它也是一种比较特殊的级数,形如:

知识点2:莱布尼茨判别法

莱布尼茨判别法专用于判定交错级数的敛散性,注意两个使用条件
例
判断下面的级数的敛散性。
它是一个交错级数,并且满足两个使用条件,所以由莱布尼兹判别法,它收敛。
至此,我们已经学习了正项级数审敛法、任意项级数的绝对收敛和条件收敛、交错级数的莱布尼茨判别法,已经初步具备了判断任意一个级数敛散性的能力。而题目的考查往往也是比较综合性的,很多时候需要我们判断完级数收敛之后,仍需要我们判断它属于何种收敛(绝对收敛、条件收敛)。
比如,我们首先用莱布尼茨判别法判断出来一个交错级数是收敛的(但是不知道是否是绝对收敛),这个时候我们还需要再判断通项的绝对值组成的正项级数的敛散性即可(它若收敛,即为绝对收敛,否则为条件收敛)。
知识点3 :综合判断级数敛散性
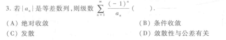
例

感谢评论区有伙伴指出此题解析存在错误,因为等差数列公差为零时,下面的分析有误,且显然原级数发散(不妨令
,不满足
)。现今对题目加上公差不为零、
的约束条件。
解析:
首先,我们发现题目给出的级数的形式很像交错级数,但是这里并不是,因为分母的符号会变化,并不是恒大于零(或者恒小于零也可),不过好在它是一个等差数列,形如

可以看出,一定有这样的特点:从数列的某一项开始,往后每一项的符号不会变化, 那么我们就可以忽略前面这有限项,仅考虑后面的级数(级数敛散性不变)
满足莱布尼茨判别法:

所以原级数收敛,现在还需要判断它是否绝对收敛:

所以它条件收敛。
例


例







版权声明:本文内容由互联网用户自发贡献,该文观点仅代表作者本人。本站仅提供信息存储空间服务,不拥有所有权,不承担相关法律责任。如发现本站有涉嫌侵权/违法违规的内容,请联系我们,一经查实,本站将立刻删除。
如需转载请保留出处:https://51itzy.com/kjqy/69712.html