题目描述:
主持人给你两个信封,并且告诉你两个信封里有现金,其中一个信封里的钱是另一个信封里的m倍(m>1,且是一个整数).当你打开其中一个信封,看到信封里面的钱数以后,你可以收下这个信封里面的钱作为你的奖金,也可以要另一个信封里的钱作奖金.有什么好的策略可使你拿到较多的奖金?下面有一个推理,其结论是有利于换信封的.令A是你打开的信封,B是你可能换的信封.令x和y分别为信封A和B中的钱数.论证如下:
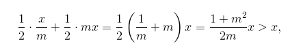
y=mx或y=x/m,两种情况发生的概率分别为1/2.因此,给定x,则y的期望值为:
当m>1时,上式总是满足的。这样你应该总是转向信封B 。然而当你转向B的时候, 由于同样的理由, 又得转回到A.这样陷入了矛盾 之中,悖论由此产生
上面内容来自:伯特瑟卡斯(Dimitri P.Bertsekas); 齐齐克利斯(John N.Tsitsiklis). 概率导论 第2版·修订版 (图灵数学·统计学丛书) (Kindle 位置 2229-2230). 人民邮电出版社. Kindle 版本.

我的解答:
两个信封的悖论是一道有名的概率论趣味问题,这里给出我的解答
产生悖论的关键在于玩家采用了一个错误想象的样本空间,与实际的样本空间不符,从而导致了错误的概率模型
按照题目描述,先取一个固定的倍数m(m>1),并产生一个随机数h,主持人在两个信封中分别放入金钱h,mh后,玩家挑选一个信封A,另一个信封为B,假设X为A中的现金数,Y为B中的现金数,则由二元随机变量(X、Y)构成的样本空间{(h,mh),(mh,h}就确定了。此时如果X=h,则Y的条件期望值确定为mh;如果X=mh,Y的条件期望值确定为h。X取h,mh的概率各为1/2,所以X、Y的无条件期望值都等于(mh+h)/2。这个期望值是在主持人准备好信封后就确定了的,无论怎样选,两个信封的期望值都是一样的。
本题的陷阱在于玩家事先并不知道样本空间是{(h,mh),(mh,h},当他看到一个金额x时,x既可以等于h,也可以等于mh,即这个时候玩家面临的样本空间既可以是{(x,mx),(mx,x}(x=h时),也可以是{(x,x/m),(x/m,x}(x=mh时),他假设碰上这两个样本空间的概率是相同的,各为1/2,正是这个不成立的假设导致了Y期望结果的计算错误。这种假设等价于对试验做了这样的改动:当玩家选择信封A后,主持人暗地抛一次均匀的硬币,如果是正面,则主持人在另一信封放入A中m倍的现金,如果是反面,放入1/m倍的现金,但是玩家并不知道抛掷硬币的结果。这种场景下,B中的金额的期望值就等于悖论中的计算结果,为(x/m+mx)/2。
所以悖论的产生在于玩家想象出来的试验场景与真实的试验场景并不一致,基于错误的假设得出了错误的Y期望值

版权声明:本文内容由互联网用户自发贡献,该文观点仅代表作者本人。本站仅提供信息存储空间服务,不拥有所有权,不承担相关法律责任。如发现本站有涉嫌侵权/违法违规的内容,请联系我们,一经查实,本站将立刻删除。
如需转载请保留出处:https://51itzy.com/kjqy/69023.html