学会它,高等数学成绩+20
What?高数??+20???

讯享网
学会它,高数成绩加不了20,算我输!

废话不多说,今天我们要讲的是函数求极限的方法。
为什么函数求极限这么重要?
极限思想贯穿于高等数学始终,比如导数的概念、定积分的概念、级数的敛散性等都要用到极限的知识。 可以说有高数的地方就有极限,你说重不重要!
下面我们来讲解一下具体求极限方法
1.利用函数的连续性求函数的极限(直接带入即可)
如果是初等函数,且点在的定义区间内,那么,因此计算当时的极限,只要计算对应的函数值就可以了。

2.利用有理化分子或分母求函数的极限
a.若含有,一般利用去根号

b.若含有,一般利用,去根号

3.利用两个重要极限求函数的极限


4.利用无穷小的性质求函数的极限
性质1:有界函数与无穷小的乘积是无穷小

性质2:常数与无穷小的乘积是无穷小
性质3:有限个无穷小相加、相减及相乘仍旧无穷小

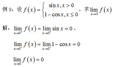
5.分段函数的极限
求分段函数的极限的充要条件是:

6.利用抓大头准则求函数的极限

其中为非负整数.

7.利用洛必达法则求函数的极限
对于未定式“ ”型,“ ”型的极限计算,洛必达法则是比较简单快捷的方法。

8.利用定积分的定义求函数的极限
利用公式:

以上就求函数极限的方法

【2023-02-03】:
bilibil账户: b站地址
拉了一个『工科交流社区』。目前成员来有上交|西交|南开|北邮|西电等国内高校,在读或在国内互联网大厂工作。
有意者申请备注,不限工科。 (vx:)

欢迎加入。
版权声明:本文内容由互联网用户自发贡献,该文观点仅代表作者本人。本站仅提供信息存储空间服务,不拥有所有权,不承担相关法律责任。如发现本站有涉嫌侵权/违法违规的内容,请联系我们,一经查实,本站将立刻删除。
如需转载请保留出处:https://51itzy.com/kjqy/68511.html