包含子结构的线性结构,线性表的推广——广义表

讯享网
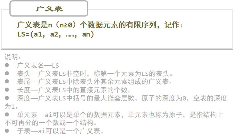
广义表的定义
- 广义表定义

约定:为了区分原子和子表,书写时用大写字母表示子表,用小写字母表示原子。 - 广义表特性
- 广义表表示方法




用圆圈和方框分别表示表和单元素,并用线段把表和它的元素(元素结点应在其表结点的下方)连接起来。树根结点代表整个广义表,各层树枝结点代表相应的子表,树叶结点代表单元素或空表。 - 广义表与其他数据结构的关系
- 广义表的运算定义
广义表的存储
- 广义表采用顺序存储结构的可行性如何?
前面讨论的树的存储,是采用了顺序存储方式,这是因为它只是一种有规则的单一的非线性结构,即每个结点不再包含子结构;而广义表中的元素还可以包含子结构,这使得结点的邻接关系可以是线性的也可以是非线性的,而且一个广义表中往往线性与非线性结构同时并存,若用顺序的存储来表示其中的特例情形是可以的,但作为一种广义表通用的存储方法,是非常困难的。 - 广义表采用链式存储结构的可行性如何?
链式存储方式的特点,一是结点分配灵活,二是在存储非线性结构时,只要增加结点指针域,即可将线性结构扩展为非线性结构,这样的特性刚好符合广义表这种复杂结构的描述要求,易于解决广义表的共享与递归问题,所以通常都采用链式的存储结构来存储广义表。 - 广义表中的结点有两类,存储时如何处理?
广义表中的结点一类是原子,一类是子表,按照存储原则之一的“存数值、存联系”,我们首先要明确的是结点本身的信息及相互联系都有哪些,原子的构成要素是数值,子表的构成应该有多个指针域

基于 C 语言对指针类型的要求,要在一个链表中实现这两类结点的链接,则原子结点与子表结点应该以一种统一的“规格”打包,即只能用一种同样的结构,才能完成设想的存储结构。(逻辑结构的存储实现与语言的特点密切相关,语言数据类型的特点决定了存储的结构。)
这两种结点的数据项类型、个数都不一样,在 C 语言中有“共用体”这种类型,可以完成我们所要求的功能,可以增加一个标志位 tag ,通过 tag 取值的不同来区分共用体中的数据含义

通过上述思考与讨论,广义表的存储方式采用链式方法,要把子表结点与原子结点构造成统一的结点形式。
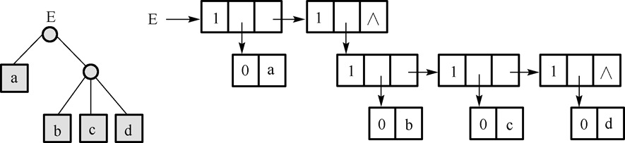
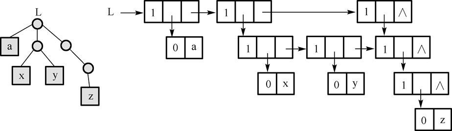
广义表的链式存储结构可以分为不同的两种存储方式,一种称为头尾表示法,其中包括“头尾分解法”与“子表分解法”,另一种称为孩子兄弟表示法。
- 广义表的头尾表示法
( a,( x,y ),(( z )) ),大概可以把圆形序号看做一个左括号。

结点类型描述:
typedef enum {
ATOM,LIST} ElemTag; // ATOM==0:原子, LIST==1:子表 typedef struct GLNode{
ElemTag tag; // 标志域 union {
AtomType actom; struct {
struct GLNode *hp,*tp;} ptr; }; }Glist;
讯享网
1)表头表尾分解法


2)子表分解法


- 广义表的孩子兄弟表示法

讯享网typedef enum {
ATOM, LIST} ElemTag; //ATOM=0:单元素;LIST=1:子表 typedef struct GLENode {
ElemTag tag; //标志域,用于区分原子结点和表结点 union {
//原子结点和表结点的联合部分 AtomType data; //原子结点的值域 struct GLENode *firstchildPtr; //表结点的表头指针 }; struct GLENode *siblingPtr; //指向下一个结点 } GList //广义表类型
例题:用孩子兄弟表示法表示下列各广义表的存储
空表: A=()
线性表: L=(a,b,c,d)
纯表: D=(a,(b,c))
纯表: D=(A,B,C)=(( ),(e),(a, (b, c)))
再入表: G(d,L(a,b),T(c,L(a,b)))
递归表: E=(a, E)

广义表的基本运算
约定所讨论的广义表都是非递归表且无共享子表,存储结构采用二叉链表方式(孩子兄弟存储)
- 建立广义表的链式存储结构
假定广义表中的元素类型 ElemType 为 char 类型,每个原子的值被限定为英文字母。
并假设广义表是一个表达式,其格式为:元素之间用一个逗号分隔,表元素的起止符号分别为左、右圆括号,空表在其圆括号内不包含任何字符。
树的括号表示到树的链表表示的转换算法——用栈实现。
从左到右扫描树的括号表示;
(1)遇到左括号,其前一个结点出栈1至prePtr
创建子表结点;
子表结点入栈1;
若为一级子表则入栈2;
将子表结点链入prePtr的右兄弟域;
(2)遇到原子,其前一个结点出栈1至prePtr
创建原子结点;
原子结点入栈1;
若prePtr为LIST结点,则将原子结点链入prePtr的首孩子域;
若prePtr为ATOM结点,则将原子结点链入prePtr的右兄弟域;
(3)遇到逗号或右括号时跳过。
注:一级子表对应逗号后的左括号
/*======================================= 函数功能:生成广义表链式存储结构 函数输入:char *s——树的括号表示字符串 函数输出:GLNode *head——链式广义表头地址 =========================================*/ GLNode *CreatGL(char *s) {
GLNode *NodePtr,*prePtr,*head;//当前结点,前一结点,广义表头结点 GLNode *stack[MAXSIZE];//双向栈 //双向栈——左端栈1记录广义表结点地址,右端栈2只记录一级子表结点位置 int topH=-1;//栈1顶指针 int topB;//栈2顶指针 topB=MAXSIZE; int flag=1;//首次'('标志 while(*s!='\0') {
//字串处理未结束 switch(*s) {
case'(': //遇到左括号 //创建子表LIST结点 NodePtr=(GLNode *)malloc(sizeof(GLNode)); NodePtr->tag=LIST; NodePtr->val.firstchildPtr=NULL; NodePtr->siblingPtr=NULL; //判断当前左括号是一级子表 if(*(s-2)==')') {
//将栈2记录的上一个一级子表位置压入栈1 if(topB!=MAXSIZE) stack[++topH]=stack[topB++]; } if(flag==1) {
//若是首次遇到左括号 flag=0; head=NodePtr;//记录广义表表头地址 stack[++topH]=NodePtr;//LIST结点入栈1 break; } prePtr=stack[topH--];//从栈1取前一结点地址 stack[++topH]=NodePtr;//LIST结点入栈1 if(topB==MAXSIZE) {
//若LIST为一级子表则入栈2 stack[--topB]=NodePtr; } //LIST结点为其前一结点的右兄弟 prePtr->siblingPtr=NodePtr; break; case')': break; case',': break; default://遇到原子 //创建原子结点ATOM NodePtr=(GLNode *) malloc(sizeof(GLNode)); NodePtr->tag=ATOM; NodePtr->val.data=*s; NodePtr->siblingPtr=NULL; prePtr=stack[topH--];//从栈1取前一结点地址 stack[++topH]=NodePtr;//ATOM结点入栈1 if(prePtr->tag==LIST) {
//若前一结点为子表,则ATOM结点为其首孩子 prePtr->val.firstchildPtr=NodePtr; prePtr->siblingPtr=NULL; } else {
//若前一结点为原子,则ATOM结点为其右兄弟 prePtr->siblingPtr=NodePtr; } break; } s++;//取下一个扫描字符 } return head; //返回广义表头指针 }
- 输出广义表
以 h 作为带表头附加结点的广义表的表头指针,打印输出该广义表时,需要对子表进行递归调用。
讯享网/*======================================= 函数功能:打印括号表示形式的广义表 函数输入:链式广义表头指针 GLNode *gPtr 函数输出:无 =========================================*/ void DispGL(GLNode *gPtr) {
if (gPtr!=NULL) {
//表非空 if (gPtr->tag==LIST) {
//为表结点时 printf("("); //输出空子表 if(gPtr->firstchildPtr==NULL) printf(""); //递归输出子表 else DispGL(gPtr->firstchildPtr); } else printf("%c",gPtr->data); //为原子时输出元素值 if(gPtr->tag==LIST) printf(")");//为子表结点时输出')' if(gPtr->siblingPtr!=NULL) {
printf(","); DispGL(gPtr->siblingPtr);//递归输出逗号后续表的内容 } } }
若为表结点重复1过程。










版权声明:本文内容由互联网用户自发贡献,该文观点仅代表作者本人。本站仅提供信息存储空间服务,不拥有所有权,不承担相关法律责任。如发现本站有涉嫌侵权/违法违规的内容,请联系我们,一经查实,本站将立刻删除。
如需转载请保留出处:https://51itzy.com/kjqy/64926.html