(IWAN)Importance Weighted Adversarial Nets for Partial Domain Adaptation笔记
关于部分域适应:https://mp.csdn.net/editor/html/115243021
上篇SAN使用了多个域判别器,这使得训练的参数过多。这篇文章使源域和目标域分别提取特征,不共享参数,可以提取到更多的域特定特征。
这篇文章的框架:
这篇文章提出了两域判别器策略:第一个分类器的输出是样本来自源域的概率,当第一个域判别器的激活量很大时(也就是来自目标域的概率小),说明该样本很可能来自于离群源类,并为该样本分配一个小的权重。因此使用第一个域判别器的激活作为每个源样本对目标域重要性的指示器。然后将学习到的权值应用于源样本,并将加权后的源域样本和目标域样本输入到第二个域判别器中对特征提取器进行优化。
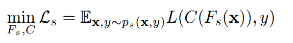
Proposed Method:
源域:
,ns个源域样本;
目标域:
,nt个目标样本
标签空间:![]()
分布:![]()
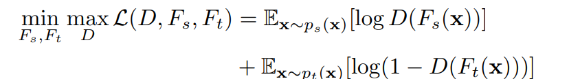
Adversarial Nets-based Domain Adaptation:
对抗网络的域适应:

通过学习源特征提取器和分类器的参数,训练源判别模型
:

Fs固定之后,D和Ft的对抗过程来减少域偏移:


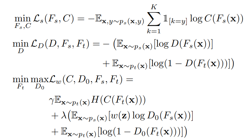
Importance Weighted Adversarial Nets-based Domain Adaptation:
D给出的是属于源域的概率,所以权重函数应该和
成反比:![]()
权重归一化:
D的作用就是基于当前的特征来获得重要性权重,如果根据特征提取器提取出来的特征判别结果接近1时,就认为该特征属于源域和目标域较为互斥的特征,那就赋予一个较小的权重;如果接近0,就认为该特征在源域和目标域中较为相似,赋予一个较大的权重。而D不会反向传播更新Ft,因为D的梯度是没有经过源域样本加权学习到的,不能对优化Ft提供好的指示。
对源域样本经过D进行加权后,加权对抗网络的目标函数:
总的目标函数:

总结:
个人看法:这篇文章的创新点就是利用了D来作为权重获取部分,先使用源域样本来训练Fs和源分类模型,然后使用当前Ft经过D获得源域样本权重,加权的源域样本和目标域样本经过D0的对抗来优化Ft和D0的参数。

版权声明:本文内容由互联网用户自发贡献,该文观点仅代表作者本人。本站仅提供信息存储空间服务,不拥有所有权,不承担相关法律责任。如发现本站有涉嫌侵权/违法违规的内容,请联系我们,一经查实,本站将立刻删除。
如需转载请保留出处:https://51itzy.com/kjqy/63536.html