文章来源于微信公众号(茗创科技),欢迎有兴趣的朋友搜索关注。
导读
前沿的超扫描方法使社会神经科学的范式发生了转变。超扫描允许研究人员在自然环境中测量两个或多个个体之间动态交互的神经过程。随着对超扫描研究的关注不断增长,需要开发透明和有效的数据分析方法来进一步推进该领域的发展。研究者开发并测试了双脑EEG分析流程,即DEEP。在对数据进行预处理后,DEEP允许用户计算锁相值(PLVs)和跨频锁相值(cross-frequency PLVs),以及每个参与者的时频响应和EEG功率,作为脑间相位同步的指标。该流程中还包括控制伪相关性的脚本。本研究的目标是通过将DEEP与母婴EEG超扫描数据集的示例公开,为开放和可复制的科学实践做出贡献。
前言
标准的神经科学方法从脱离社交环境的观察者视角来研究社会信息加工。对社会信息加工的实验设计范式通常是参与者与电脑屏幕上呈现的刺激进行互动。虽然这些实验对我们理解社会知觉和认知做出了巨大贡献,但却未能抓住社会互动的几个关键方面,如互动过程中的双向性和动态性。客观的神经科学观点认为,互动环境下的社会认知可能与仅仅被动观察社会刺激的情况存在根本上的不同。与个体行为相比,互动双方将社会交换表现为一种交互过程,并以“我们”模式行事。基于这些理论解释,社会神经科学研究面临着在更自然、生态有效的环境中检验相互作用现象的需要。这种范式的转变为超扫描技术的出现铺平了道路:超扫描技术允许同时记录两个或多个个体的神经活动。利用这项新技术,研究人员可以在自然环境中测量互动个体之间的动态神经交互过程。
超扫描技术近年来得到了发展性研究人员的广泛关注。涉及发展人群的超扫描研究包括使用EEG和fNIRS研究婴儿和成人之间的互动;使用EEG,MEG和fNIRS研究儿童与成人之间的互动;使用EEG和fNIRS研究儿童和青少年同龄人之间的交互作用。
个体间EEG连通性的量化方法(即脑间连通性)在很大程度上与个体脑内EEG连通性(即脑内连通性)的检测方法相似。最常用的方法包括(1)振幅或功率的协方差(即振幅包络相关、功率相关、投影功率相关[PPC]);(2)相位同步,由锁相值(PLV)或循环相关(CCorr)获得;(3)基于相干指标测量功率和相位的相似性,如部分定向相干(PDC)、小波相干和虚相干。在本文中,研究者重点讨论了相位同步。Marriott Haresign及其同事在本期特刊文章中对其他方法进行了充分的讨论,感兴趣的小伙伴可以去阅读哦。
超扫描研究正处于一个转折点:迫切需要开发透明和有效的数据分析工具,以确保研究结果的可重复性。尽管人们对超扫描方法的兴趣与日俱增,但很少有人尝试在研究中验证分析技术。最近,Ayrolles及其同事(2021)在这一方向上做出了努力,他们发布了一个数据分析流程,即HyPyP,用于对MEG/EEG超扫描数据进行脑间连接分析。HyPyP包括用于自动数据预处理和各种脑间连接性测量的文件工具。这种全面、开源的超扫描分析流程对该领域的发展具有重要意义。尽管这是重要的第一步,但HyPyP并没有直接解决发展性超扫描研究中的挑战,而这正是本研究的目标。此外,虽然HyPyP工具箱与MNE-Python集成,但DEEP提供了一种基于MATLAB中的FieldTrip工具箱的可替代性解决方法,该工具箱广泛用于神经数据分析。
超扫描方法也越来越多地与自然情景范式一起使用,在自然范式中,要求成人(例如孩子的看护人)与他们的孩子玩耍,就像实验室外的互动那样。分析使用自然主义范式获得的数据存在几个方法论上的挑战,如由于长时间的研究准备时间而缩短了记录时长,以及自然主义情境中的互动必然会有许多运动伪迹。因为这些因素造成的数据损失率(删除或剔除)较高(通常为25-75%),这也意味着,婴儿和儿童中记录的可用数据片段通常会更少、更短。这对于双脑(或组)EEG研究尤其是个问题,因为计算两个(或多个)个体之间的脑间相位校准测量需要同时记录所有参与者的干净数据片段。
研究人员在分析来自发展性人群的双脑EEG数据时面临的另一个重要挑战是,成人和婴儿的脑电图信号分解具有本质上的不同。例如,阿尔法频带的等效值,在成人中检测到是在8-12Hz范围内,而在婴儿中观察到的频率则较慢,如6-9Hz。这里,研究者通过引入DEEP的跨频率PLV模块,提供了计算成人和儿童EEG信号相位同步的独特方法,从而解决了这一挑战。跨频率PLV方法允许跨具有不同峰值频率的数据集(如成人和婴儿EEG数据)来计算相位同步。这是在发展人群超扫描研究中建立透明和稳健的数据处理方法和标准化数据分析实践方面迈出的重要一步。
近年来,针对婴儿EEG数据的分析,开发了标准化、自动化的EEG处理流程。然而,目前还没有建立标准化和自动化的预处理流程来分析成人和儿童/婴儿的双脑EEG数据。在这里,研究者提出并测试了一个双脑EEG数据处理流程,简称DEEP,旨在填补这一空白。该流程为用户提供了一个带有图形元素的逐步命令行界面,本文将其称为图形用户界面(GUI),用于分析成人-婴儿/儿童以及成人-成人EEG超扫描数据集。如图1所示,当前版本的流程具有9个数据处理步骤,包括滤波、伪迹识别、伪迹校正和拒绝、噪声通道插值、希尔伯特变换和计算脑间相位同步测量,如PLV、跨频率PLV等。
图1.DEEP的九个数据处理步骤
研究者着重于应用相位同步方法,因为这些方法比较灵活(即,可以随时间或试次进行计算),比较容易实现,并且这些方法是建立在大量使用它们来研究脑内和脑间相位同步的文献基础上。本研究目标是在新的和现有的计算EEG连接方法上的持续发展,这些方法可以应用于双脑EEG数据,并将其集成到当前的工具箱中。
除了双脑EEG数据外,DEEP还允许用户使用时频响应和/或Welch方法分析个体EEG数据。与其他超扫描流程不同,DEEP允许用户使用替代数据运行控制分析,以解释偶然在数据中观察到的相位同步水平的差异。
在概述流程之后,本研究将使用双脑EEG记录母亲及其8个月大的婴儿的数据集来测试该流程,包括休息状态和自由玩耍状态。通过提供一个随时可用的、开放获取的工具箱和完整的母婴双脑EEG数据集来促进发展研究中的开放科学实践。
该流程当前版本中使用的脚本可以在https://github.com/dmatthes1982/MPI_CBS-DEEP上找到,其中包括对代码的描述。本研究中使用的匿名数据是可公开获取的。在补充材料中,提供了关于如何使用GUI实现该流程的教程,这样用户就可以轻松地进行分析(参见补充材料S1)。

截图来源于补充材料1
流程概述
研究者接下来描述了流程中的每个处理步骤。并且在补充材料S3中提供了一个文档,该文档列出了本文中用于数据集预处理的参数和设置。注意,列出的通带值用于计算跨频率PLV。对于PLV的估计,研究者使用婴儿的通带值来处理婴儿和母亲的数据。
步骤1:数据导入
该流程的当前版本中,只有使用Brain Vision Recorder软件(Brain Products GmbH,Germany)记录的数据才能被分析。对于每个新session,首先需要导入数据。原始数据由*. eeg文件、*.vhdr文件、*.vmrk文件信息组成。文件应该按照流程中指定的名称命名(例如,Studyname_Dyadnumber)。补充材料S1提供了相关代码,用于将其他EEG系统(如BioSemi)记录的数据转换为该流程中使用的数据格式。
用户可以导入所有的通道,或者通过手动输入通道名从处理中排除某些通道。这一操作背后的原因是,一些外围通道特别容易受肌肉和运动伪迹的影响,这些通道可能不适合在许多成人-婴儿超扫描研究中进行分析。由于是独立成分分析,可以先将眼电(EOG)电极排除在外(ICA;有关更多信息,请参见步骤3和4)。
步骤2:插值通道检测和滤波
在第二步中,用户可以选择稍后需要进行插值的通道。为了帮助用户决定哪些通道需要进行插值,首先要确定噪声最大的通道。连接每个参与者的所有可用数据,每个通道的总功率从3Hz开始使用DEEP_estNoisyChan函数计算。根据极端值的一般定义,如果特定通道的值高于1.5 * IQR + Q3或低于Q1 - 1.5 * IQR,则认为该通道是有噪声的。用户应该记住,这些图只突出显示那些与其他通道相比噪音更大的通道。研究者建议用户在不对通道进行任何干预的情况下运行预处理步骤1-5,再次检查并确定在步骤5中对哪些伪迹通道进行插值。当前版本中,该流程需要一定程度的EEG处理经验来决定哪个通道需要插值。
首先,对成人数据进行检查。在GUI中,会出现两个图形和一个窗口。第一张图描述了所有通道的总功率,包括用红色标记的坏通道。使用FieldTrip数据浏览器函数(即ft_databrowser),第二张图绘制了每个通道在不同时间的原始数据。用户可以滚动查看未滤波的数据,并放大或缩小以检查数据。这些图形可以帮助用户决定在后面的步骤中插值哪些通道。
在选择坏导的窗口中,用户可以在步骤4中选择要插值的通道。如果用户选择了相邻的通道进行插值,流程将继续运行。然而,在插值坏导的相邻通道也是坏导时,那么相邻坏导将被排除在该插值坏导计算之外。如果要插值通道的相邻通道都是坏导,则该通道的值将被设为零。如果要插值的坏通道只有一个好的相邻通道(其他相邻通道都是坏导)时,则插值的通道将是相邻的好通道的‘副本’(更多信息请参见步骤4)。如果选择了参考电极点作为插值通道,则GUI将会弹出警告。
一旦选择了成人数据的坏通道,同样的过程就会用于婴儿数据。然后,使用1-48 Hz带通滤波器对数据进行滤波。为了处理当前数据集,研究者使用了DEEP的默认参数和设置,这可以在DEEP_main_2脚本中找到(详见https://github.com/dmatthes1982/MPI_CBS-DEEP/blob/master/DEEP_main_2.m)。用户可以在这些代码中更改相关设置。在补充材料S1中,研究者给出了当前研究中使用的定制通道配置的示意图。
步骤3:在ICA前清理数据
为了计划处理时间,用户可以继续对所有双分体进行ICA分解步骤,或者选择某些双分体。在此步骤中,将预处理后的EEG数据段再次拼接成连续的脑电图数据。接下来,检测并剔除所有通道中的瞬态伪迹,应用的标准是在一个200ms有50%重叠的段内:电压最大值和最小值的差值不超过200μV。这确保了较大的伪迹不会影响ICA流程。然后使用默认方法“runica”进行ICA分解(更多信息请参阅https://www.fieldtriptoolbox.org/reference/ft_componentanalysis/)。这一步只涉及ICA分解,ICA成分的选择将在下一步进行。
步骤4:ICA成分的选择,插值坏导,重参考
①ICA成分的选择:在这一步中,如果EOG数据可用,首先检测眼动伪迹,然后根据检测到的眼动成分与水平和垂直眼电的相关性至少为80%的标准进行校正。用户可以手动降低该默认阈值。使用ft_icbrowser函数(https://www.fieldtriptoolbox.org/reference/ft_icabrowser/), GUI会呈现一个窗口,其中显示了整个头皮上检测到的成分的地形,并用“Reject”标签突出显示。此外,作为频率函数的功率谱密度图与显示功率随时间变化的图一起帮助用户更好地评估检测到的成分。
如果眼电电极缺失,就无法获得相关性,因此,该流程中不会自动生成建议。在这种情况下,用户可以检查ICA成分,并手动将某些成分标记为眼动伪迹。尽管ICA算法可以很好地处理成人数据,但要检验婴儿数据中的眼动成分,可能需要更为仔细的目视检查。所以在这种情况下,用户应该具备一些识别眼动伪迹的经验。在对婴儿和成人数据分别进行眼动成分验证后,对眼动伪迹进行校正。
②插值坏导:接下来,使用默认的FieldTrip通道校正方法,即加权邻域法,对步骤2中选择的噪声通道进行插值。加权邻域法用所有相邻通道的平均信号替换坏通道的信号。这种方法本质上需要来自周围通道的良好信号,因此,如果需要插值的几个噪声通道相邻(更多信息,请参阅https://www.fieldtriptoolbox.org/reference/ft_channelrep air/),那么此方法就不是一种**方法。DEEP默认使用插值配额,只允许插值通道总数的10%。在发展性EEG研究中,插值(最多)10%的通道数量以获得有意义的结果是比较常见的。
③重参考:在发展性EEG研究中,研究者通常使用顶点/Cz或左右乳突通道作为记录参考。在当前数据集的记录中,以左侧乳突(即TP9)为在线参考。然而,原则上,对任何其他电极或一组电极的平均值数据可以进行离线重参考。根据记录的通道数量和数据质量,允许用户选择以下重参考方法:共同平均重参考;双侧乳突重参考;稳健平均重参考。双侧乳突离线重参考法使用左右乳突两个电极的平均值(即分别为TP9和TP10),而共同平均离线重参考法则涵盖所有电极点。
在这里,研究者增添了第三种离线重参考方法,即稳健平均重参考,该方法用于示例数据集的预处理过程中。稳健平均重参考法与共同平均重参考法相似,但有一个主要区别。稳健平均重参考法不是取所有电极的平均值,而是使用一组干净通道,并计算这些通道的平均值作为重参考。研究者认为,当使用自然主义范式记录来自发展人群的EEG数据时,这种重参考方法特别有用,因为与来自成人的EEG记录相比,运动伪迹会导致可用的通道较少,但能确保数据的质量。DEEP使用了所有在稳健平均重参考步骤2中未被标记为坏导的电极。换句话说,所有未被选择进行插值的电极都包含在稳健平均重参考中。
步骤5:自动和手动伪迹检测
DEEP允许用户从四种不同的算法中选择一种来执行自动伪迹检测,以进一步清理数据。四种算法如下:(1)最小-最大阈值:该算法检查该段内的最小值或最大值是否超过了±75μV的默认值,该值用于处理本文中的数据。用户也可以通过在50-200μV范围内选择一个值来调整该默认阈值。如果电压值超过了上下限阈值,该段将被标记为伪迹段。该方法已成功应用于婴儿EEG研究中。(2)阈值范围在200ms的滑动窗口内:在200ms滑动窗口内,算法检查该段内的最大值和最小值的差值是否超过某个阈值。如果超过某阈值,该段将被标记为伪迹。这一标准也被应用于婴儿EEG研究。(3)200ms滑动窗口内的标准差阈值:在一个200ms滑动窗口内,算法检查标准差是否大于某一阈值。如果大于某阈值,该段将被标记为伪迹段。(4)滑动窗口的多个绝对中位差。成人和婴儿可分别选择阈值和通道。
在此步骤中,该流程生成了两个图,用于说明每种条件的伪迹图。每个图呈现了随着时间的推移,每个通道中的伪迹。在图的左侧,用户还可以以数字形式查看每个通道的伪迹数量。无伪迹部分用绿色表示,而超过伪迹阈值的部分用红色表示。除了自动伪迹检测之外,还可以在数据浏览器窗口中手动选择伪迹。在步骤5完成后,用户可以选择进一步的处理选项,如处理单个EEG数据(即步骤6后接步骤8)或运行脑间相位同步分析(即步骤6后接步骤7)。应该注意的是,伪迹是在这一步确定的;但伪迹删除是在步骤7或步骤8中,这取决于用户的感兴趣分析。


来源于补充材料1
步骤6:窄带滤波和希尔伯特变换
GUI要求用户选择在后续处理步骤中使用相同的默认通带设置,或者为成人和婴儿数据选择单独的通带。成人数据的默认设置包括以下通带:theta [4-7Hz];alpha [8-12Hz];beta [13-30Hz];gamma [31-48Hz]。由于成人和婴儿数据的频带不同,以下设置用于婴儿数据:theta [3-5Hz];alpha [6-9Hz];beta [13-30Hz];gamma [31-48Hz]。本文检查了theta和alpha频率,因为它们是发展研究中最常用的。需要注意的是,该流程还允许用户手动指定通频带范围,并分析频率范围,如beta和gamma。此步还估计每个通带上的希尔伯特相位。
步骤7:锁相值(PLVs)和跨频率PLVs的计算
PLV是用来估计两个信号之间锁相的主要指标。它测量两个信号在一段时间内或试次间的相角相似性。PLV的计算方法如下:

其中N是观测次数,其中Φ(t,k)是通道Φ在时间t和观测k的相位,ψ(t,k)是通道ψ在时间t和观测k的相位。如果两个信号的相位角随时间波动且相差一致,将导致PLVs接近1。如果相位角随时间波动,两个信号之间几乎没有一致性,则PLVs接近0。锁相测量信号之间的连通性与零滞。值得注意的是,由于相位同步(或锁相)是两个信号之间相角一致性的测量,所以这两个周期之间的关系相对于他们如何共变而言不重要。
跨频率相位振荡或跨频率PLV与PLV具有相同的基本假设。跨频率相位振荡或PLV m∶n的计算方法与PLV类似,如下:
N为试次数量,Δϕk(fn,fm,t,k)计算如下:

其中n和m是两个信号的中心频率,应该满足公式m∙fn = n∙fm的整数值,其中Φ(fm,t,k)是通道Φ在时间t和试次k上的相角,ψ(fm,t,k)是通道ψ在时间t和试次k上的相角。与PLV类似,跨频率PLV可以应用于试次或试次的一个时间窗。
DEEP应用以下步骤来计算PLVs或跨频率PLVs。首先将所有数据分成持续时间为1s或5s的epoch。epoch持续时间可以由用户调整。然后,拒绝所有包含在步骤5中的伪迹段(即,自动和手动伪迹检测)。对于每个epoch,估计一个PLV或跨频率PLV。在此之后,所有估计的PLVs或跨频率PLVs对所有通带的每种条件求平均。在当前数据集中,在theta和alpha频段检查PLVs和跨频率PLVs。在这里,研究者将theta和alpha频率的数据分割为1s的epoch,因为在较短的epoch持续时间里得到了更干净的数据。
步骤8:时频响应与使用Welch方法的功率谱密度
DEEP允许用户分析单个EEG数据。在这个步骤中,用户可以分别计算每个参与者(例如婴儿和成人)的时频响应(TFRs)或功率谱密度(PSDs)。使用FieldTrip函数ft_freqanalysis计算TFRs(请参阅https://www.fi eldtriptoolbox.org/reference/ft_freqanalysis/)。默认情况下,响应通过使用Morlet小波的小波时频变换进行计算,以1Hz的步长在2-50Hz的频率范围内应用Hanning窗,以500ms的时间标记为中心。这些设置可以在DEEP_main_8.m函数和子函数DEEP_timeFreqanalysis.m中手动更改。
接下来,功率谱可以通过FieldTrip 函数ft_freqanalysis使用多窗频率转换(mtmfft)方法进行分析,汉宁窗的窗长默认设置为1000ms,1-50Hz的频率范围,步长为1Hz,重叠75%。整个条件的功率谱计算是一种中位数运算,允许用户消除自然主义范式中异常值带来的影响。这些设置可以在DEEP_main_8.m函数和子函数DEEP_pWelch.m中手动更改。
步骤9:对双分体或参与者的PLVs或跨频率PLVs、TFRs和PSD值进行平均
在最后一步中,用户可以选择双分体或参与者的数据来估计不同条件下的PLVs或跨频率PLVs、TFRs和PSDs的平均值。
结果
本研究采用双脑EEG数据集对70名8个月大的婴儿(36名女婴,M=8.29个月,SD=8.03天)及其母亲(M=33.40岁,SD=4.62岁)进行了记录。最终纳入分析的样本包括35名婴儿(22名女婴,M=8.27个月,SD=8.17天)及其母亲(M=34.28岁,SD=4.03岁)。研究者最初的研究包括几个实验条件。本文分析了两个条件:休息状态(45s,marker S13)和自由玩耍(150s,marker S11)。在静息条件下,婴儿和他们的母亲一起看着一个实验者吹泡泡,同时记录他们的EEG活动。在自由玩耍的条件下,要求母亲像在家里一样和她们的孩子玩耍,不使用玩具。
前人研究表明,增加功率可以降低相位估计的误差,并增强锁相。虽然这主要被当作一种事件锁定现象来研究,但这是否也可能是发展社会神经科学中很常见的连续EEG记录的特征。因此,研究者首先检查了在整个测试过程中是否可以观察到平均theta和alpha功率以及婴儿-成人平均theta和alpha的跨频率PLVs的系统关系。为了进行比较,对PLVs进行相同的分析。
结果发现在自由玩耍条件下,婴幼儿-成人的theta跨频率PLVs与婴儿theta功率之间存在显著关系,而在静息条件下则没有,这表明在自由玩耍条件下,婴幼儿theta功率与婴幼儿-成人theta跨频率PLVs之间存在正相关。婴儿-成人alpha跨频率PLVs与婴儿alpha功率之间的关系在任何条件下都不显著。无论是在theta波段还是alpha波段,婴儿-成人跨频率PLVs和成人功率之间都没有观察到一致的关系。与跨频率PLV研究结果相似,研究者发现在自由玩耍条件下,婴儿theta波功率和婴儿-成人PLVs之间存在边缘显著,而在静息条件下则不存在。这表明当考虑整个测试session的平均值时,获得的相位同步值在很大程度上与功率无关。然而,与静息条件相比,自由玩耍条件下的功率和锁相关联更强的一个可能解释是自由玩耍条件下的功率显示出更快速的瞬态波动。
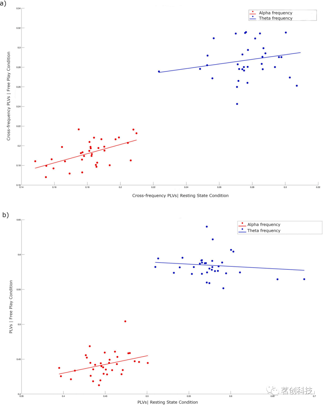
接下来,研究者分别在alpha和theta频率下研究了静息条件和自由玩耍条件下的跨频率PLVs和PLVs之间的关系。虽然观察到在alpha频率下,跨频率PLVs和静息条件下的PLVs之间存在边缘显著性关系,但其他相关关系没有达到显著性。这些发现如图2a和b所示。

图2
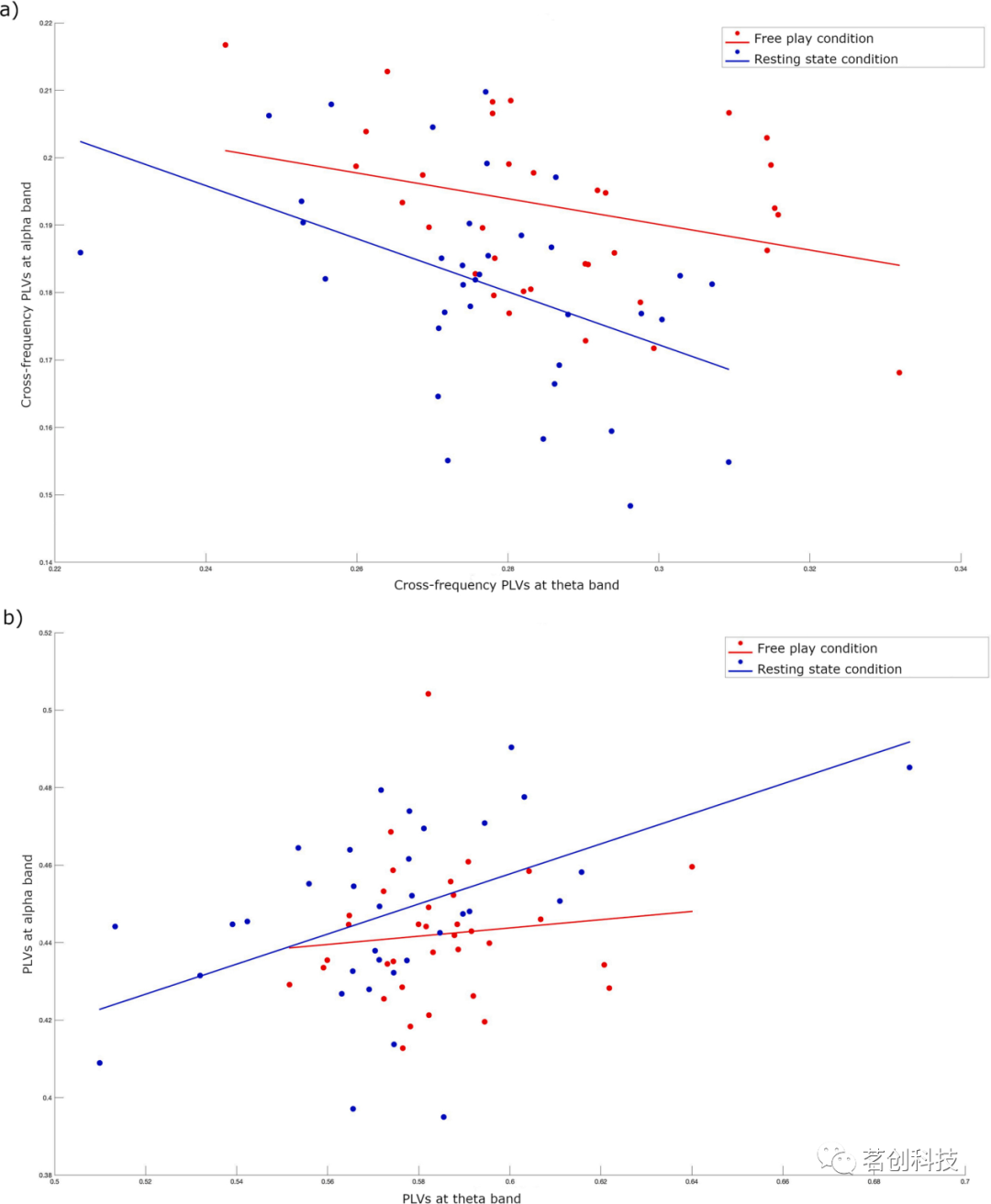
作为一项探索性分析,研究者检验了静息条件和自由玩耍条件之间的alpha和theta跨频率PLVs的一致性。如图3a和b所示,在alpha波段观察到自由玩耍和静息条件下的跨频率PLVs之间具有很强的相关性,而在theta波段的相关性不显著。同样,在alpha波段观察到两种条件之间的跨频率PLVs存在显著相关,而在theta波段则不显著。

图3
研究者还检验了alpha跨频率PLVs和theta跨频率PLVs在不同条件下的关系(见图4a和b)。结果发现,它们在自由玩耍条件和静息条件下都呈负相关关系,尽管只有后者的负相关关系显著,即更强的alpha跨频率PLVs与更低的theta跨频率PLVs相关。关于PLVs,可以观察到反向的关系(更强的alpha PLVs与增加的theta PLVs相关),但这仅仅在静息条件下才显著。

图4
讨论
最近,人们开始使用自然主义范式来研究社会感知和认知,这为超扫描等前沿数据记录技术铺平了道路。这些方法使社会神经科学家能够研究现实生活中两个或多个个体之间的动态互动过程。然而,EEG超扫描的结果并不总是能够很好地复制(研究结果的再现性不是很好)。导致这一现象的根本原因尚不清楚,但明确的是,该领域需要透明和标准化的数据分析方法,以促进研究结果的再现性。据我们所知,目前在双脑EEG研究领域中,只有HyPyP旨在满足该领域的迫切需求。然而,目前还没有尝试开发和测试数据分析的流程,特别是针对发展性EEG超扫描研究。在这里,研究者提出了DEEP,它允许分析从发展性人群获得的双脑EEG数据。通过让用户灵活选择成人和婴儿数据的不同参数和设置,DEEP优化了对不同年龄组参与者的超扫描数据的分析。用户可以对两个个体的数据进行预处理,然后计算脑间相位同步指数,如PLVs或跨频率PLVs。DEEP还对随机生成的数据进行控制分析,以验证结果。这是第一个包含替代分析步骤的双脑EEG流程。除了同时分析从婴儿/儿童和成人获得的数据,DEEP还可以用来分析从两个成人或年龄相似的参与者同时记录的EEG数据。
研究者使用包含静息条件和自由玩耍条件下的婴儿-成人EEG超扫描数据集对该流程进行了测试。有趣的是,在静息条件下,脑间相位同步值,由theta和alpha频率的跨频率PLVs量化,且呈负相关。虽然还需要更多的研究来理解在脑间同步方面的theta同步和alpha去同步分别代表什么,在注意力和学习的个体内部测量中,通常可以观察到theta和alpha频率之间的分离,在这种情况下,alpha功率抑制(即,去同步化)往往伴随着theta功率的增加(即,同步化)。
由于这是DEEP的第一个版本,所以在未来的版本中仍会有一些待解决的问题。首先,DEEP目前只允许用户分析Brain Products EEG记录系统采集的EEG数据集。研究者将会对该流程进行调整,使多个EEG数据结构可以被读取到流程中。同时,研究者为用户提供了BioSemi数据的数据转换方法,可以在补充材料S1中找到。此外,目前的版本只处理双脑EEG数据集,如婴儿/儿童和成人二人组或者两个成人之间的EEG数据。研究者也在努力拓展该流程,以便能够检查三个或更多个体的EEG数据,这对群体背景下的研究将是非常有用的。
虽然婴儿和成人的数据是用用户定义的不同参数和设置进行逐步处理的,但对这两个数据集应用的基本预处理步骤大致相同。在未来的版本中,研究者的目标是改进该流程,使婴儿和成人数据能够分别进行预处理步骤。例如,考虑到婴儿数据中,外围通道电极特别嘈杂,可以选择删除婴儿而不是成人在该外围电极上的数据,这对于脑内分析是非常有用的(如,参见步骤8)。同样,考虑到ICA方法在校正成人和婴儿数据的眼动伪迹的有效性方面存在差异,应用单独的ICA处理将是有用的。此外,通过处理两个信号(即一个信号预测另一个信号)之间的方向性的人际同步测量来扩展流程将是非常有趣的,例如此前被用于发展研究的部分定向相干性。最后,在未来的版本中,研究者希望进一步实现可替代性的分析方法,例如相位随机化方法,以检查使用不同的替代方法是否会影响结果。
在婴儿EEG数据分析中,为了减少伪迹,一种常见的做法是手动或自动拒绝EEG伪迹段。因为对成人EEG数据的伪迹自动检测方法进行了优化,但在婴儿EEG数据中往往无法检测出超过拒绝阈值的伪迹。因此,基于目视检查的伪迹剔除等手动程序被发展研究者广泛使用。然而,这种方式降低了研究方法和结果的可重复性。推进这一进程的另一个重要步骤是整合自动独立成分分析(ICA)分类和检测算法,这些算法是专门为发展性群体建立和测试的。例如,最近Marriott Haresign等人(2021)对广泛使用的MARA系统(用于成人数据的ICA分类)进行了改进,以处理使用自然范式记录的发展性EEG数据的特征。在婴儿EEG数据中,经过训练的iMARA分类器可以区分ICA伪迹成分和ICA神经成分,准确率达到75%。集成这些算法将进一步扩大该流程,使其能够自动识别和删除婴儿数据中的ICA伪迹成分。
结论
发展性研究实验室处理EEG数据的方法各不相同。尽管由于个体间的差异较高,使用自动化的EEG数据处理工具仍然是一个挑战,但在建立标准化的EEG数据分析工具方面取得了一些进展。本文介绍的DEEP,允许研究人员分析婴儿/儿童-成人双分体或者两个成人的双脑EEG数据。DEEP促进了标准化和透明的数据分析方法,同时适应各种数据处理方法,以解决研究结果的再现性问题。该流程包括几个预处理步骤,然后计算作为脑间相位同步指标的PLVs和跨频率PLVs。DEEP还允许研究人员通过对伪高相关性进行控制分析来验证其研究结果。研究者计划在未来进一步扩展DEEP。该流程的最新版本以及代码和相关描述可以在https://github.com/dmatthes1982/MPI_CBS-DEEP**问。研究者还发布了一个婴儿和成人超扫描示例数据集。DEEP的目标是为发展社会神经科学家提供一个易于使用的工具来分析EEG超扫描数据集。通过将代码和示例数据集公开,研究者致力于促进科学开放和可复制的过程中,将推进该领域的进一步发展。
原文:DEEP: A dual EEG pipeline for developmental hyperscanning studies.
https://doi.org/10.1016/j.dcn.2022.
文章来源于微信公众号(茗创科技),欢迎有兴趣的朋友搜索关注。


版权声明:本文内容由互联网用户自发贡献,该文观点仅代表作者本人。本站仅提供信息存储空间服务,不拥有所有权,不承担相关法律责任。如发现本站有涉嫌侵权/违法违规的内容,请联系我们,一经查实,本站将立刻删除。
如需转载请保留出处:https://51itzy.com/kjqy/61757.html