一.复变函数
柯西黎曼方程(C-R条件)(复变函数解析的必要条件):解析函数的实部与虚部二者相互依赖。令F(Z)=U+iV,U(x,y),V(x,y),U对x的偏导等于V对y的偏导,U对y的偏导等于V对x的偏导的负值。这个条件我们经常用于计算给定条件的解析函数。
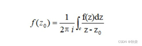
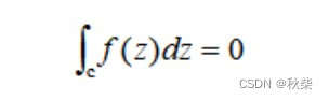
柯西积分公式:当复变函数在封闭区域内解析,则在该封闭区域内任一点的值由f(z)/z-z0在边界上的积分所决定。

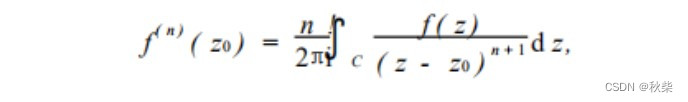
如果一个函数在某点解析,那么它的各阶导函数在该点仍解析 。设 f ( z)在简单正向闭曲线 C 及其所围区域 D 内处处解析, z0 为 D 内任一点, 那么:


二.初等复变函数
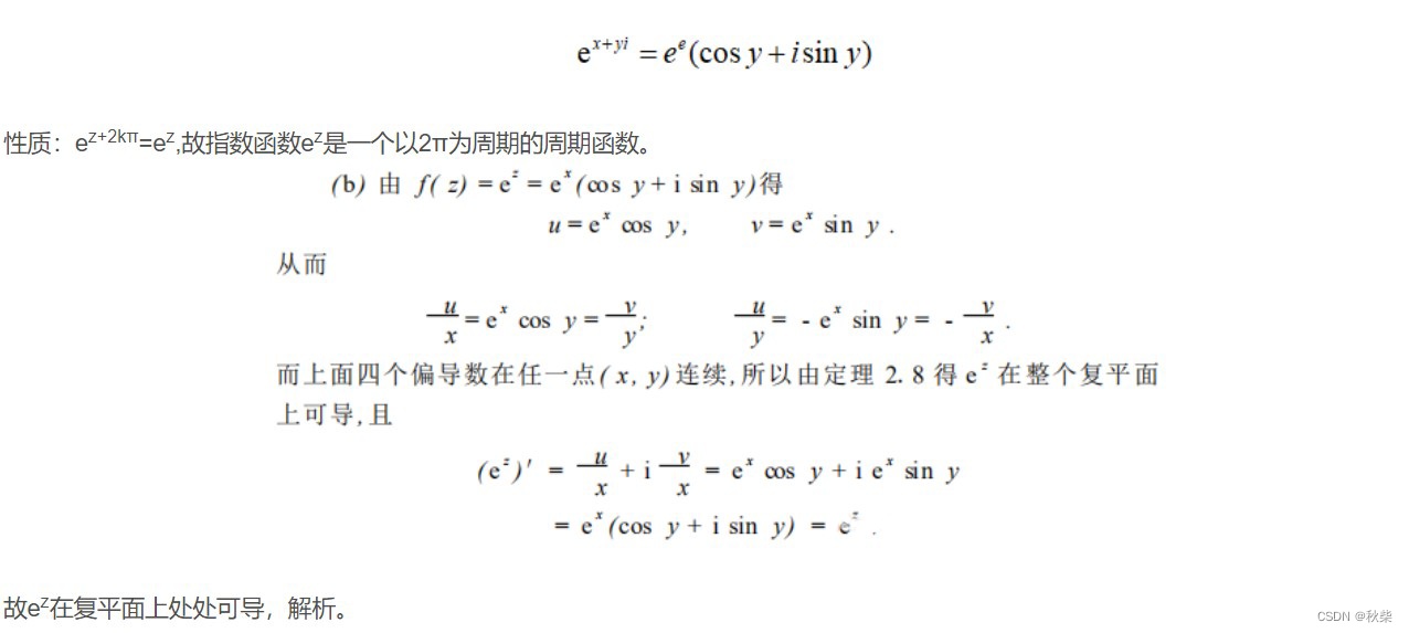
1. 指数函数(重点)
复变指数函数是实变量一般指数函数在复数域中的推广。若a≠0,∞,则称函数w=az=ezlog a为复变一般指数函数。
2. 对数函数

3. 幂函数

4. 三角函数与反三角函数


版权声明:本文内容由互联网用户自发贡献,该文观点仅代表作者本人。本站仅提供信息存储空间服务,不拥有所有权,不承担相关法律责任。如发现本站有涉嫌侵权/违法违规的内容,请联系我们,一经查实,本站将立刻删除。
如需转载请保留出处:https://51itzy.com/kjqy/61504.html