解线性方程组即解一个多元一次方程组,例如
- 目录
- 分解法
- 分解法
消去法
原理
没有学过高级的解法也没关系,凭借我们初高中的知识足以解决这个问题
这是一个多元一次方程组,拥有n个未知量,也有n方程
我们可以通过对一个方程组进行同等变形后与其他方程组相加减,消去其他未知量
最后变为一个仅含有一个未知量的方程,求解后逐次回带,接触其他未知数
当我们接触了线性代数后,我们可以把这n个方程组的系数提取出来,与等号右边的值共同组成一个增广矩阵,对这个矩阵进行初等行列变换,然后求解。实质上和我们初高中的消元法是一样的。
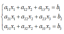
例如
这样一个方程组
我们构造这样一个
矩阵
数值计算这里把解线性方程组的方法系统化,分为消去法,分解法,迭代法。
1分解法
分解法是将我们上面构造的矩阵,进行初等行列变换后,变成单位上三角矩阵或者单位下三角矩阵,然后求解出一个未知数后逐个回带。
高斯消去法就是把矩阵变换为单位上三角矩阵
求解出X3以后逐个回带
列选消去法是在上面的基础上进行改进,每次选择对角线下那一列元素绝对值最大的元素,调整到对角线部分,在进行处理,用以减小误差。

全选消去法又是在列选消去法的基础上改进,每次选择从对角线元素开始的右下角矩形部分的最大值,把它放在对角线上,用以减小误差

由于全选消去法可能会交换列,进行列变换,改变变量的位置,所以用计算机求解时需要记录交换的情况,最后把未知数恢复为X1-Xn的顺序

高斯消去法
//高斯消去法 void GusElimination(double *p,int row) { double coef;//系数,用于归一化和行处理 int col=row+1;//保存增广矩阵的列数 int i,j,k;//循环变量,指示行和列 for(k=0;k<row;k++)//有多少个未知量即循环多少次 { coef=*(p+k*col+k); for(j=0;j<col;j++)//对增广矩阵的第k行做归一化处理 *(p+k*col+j)/=coef; for(i=k+1;i<row;i++)//消去k+1-row行对角线以下的元素 { coef=(-1)*(*(p+i*col+k))/(*(p+k*col+k));//求与第k行的系数 for(j=0;j<col;j++) *(p+i*col+j)+=(coef*(*(p+k*col+j)));//对k+1-row行所有元素都加上coef倍的第k行 }//End for-i }//End for-k //求得单位上三角矩阵后,从下往上求解未知量 for(i=row-1;i>=0;i--) for(j=row-1;j>i;j--) *(p+i*col+row)-=( *(p+j*col+row) ) * ( *(p+i*col+j) ); //求解结果保存在增广矩阵的最后一列 }
讯享网
列选消去法
讯享网//列选主元消去法 void ColumnElimination(double *p,int row) { double coef,tmp,Max; int Maxrow,col=row+1; int i,j,k; for(k=0;k<row;k++) { Max=fabs(*(p+k*col+k)); Maxrow=k; for(i=k+1;i<row;i++)//列选过程,找到当列绝对值最大的元素 if( fabs(*(p+i*col+k)) > Max){ Max=*(p+i*col+k); Maxrow=i; }//End if for(j=k;j<col;j++) { tmp = *(p+k*col+j); *(p+k*col+j)=*(p+Maxrow*col+j); *(p+Maxrow*col+j)=tmp; }//End for-j coef=*(p+k*col+k);//归一化处理,可以和上面步骤合并 for(j=k;j<col;j++) *(p+k*col+j)/=coef; for(i=k+1;i<row;i++)//消去对角线下的元素 { coef= (-1) * ( *(p+i*col+k) ) / ( *(p+k*col+k) ); for(j=k;j<col;j++) *(p+i*col+j) += coef * ( *(p+k*col+j) ); }//End for-i }//End for-k //求得单位上三角矩阵后,从下往上求解未知量 for(i=row-1;i>=0;i--) for(j=row-1;j>i;j--) *(p+i*col+row)-=( *(p+j*col+row) ) * ( *(p+i*col+j) ); //求解结果保存在增广矩阵最后一列 }
全选主元消去法
//全选主元消去法 void AllElimination(double *p,int row) { double coef,tmp,Max;//coef表系数,tmp临时变量,Max用来保存绝对值最大元素 int MaxCol,MaxRow,col=row+1;//MaxCol和MaxRow用来保存绝对值最大元素所在的行和列 int i,j,k; int *a=(int *)malloc(row * sizeof(int));//申请一个临时数组用来保存交换记录 for(i=0;i<row;i++)//对a数组进行初始化 *(a+i)=i; for(k=0;k<row;k++) { Max=fabs(*(p+k*col+k)); coef=*(p+k*col+k); MaxCol=k; MaxRow=k; for(i=k;i<row;i++)//全选的过程 { for(j=k;j<row;j++) { if( fabs(*(p+i*col+j)) >Max){ Max = fabs(*(p+i*col+j)); coef=*(p+i*col+j); MaxRow=i; MaxCol=j; }// End if }//End for-j }//End for-i if(MaxCol != k)//交换k和MaxCol两列,行i的范围从0到Row-1 { for(i=0;i<row;i++) { tmp = *(p+i*col+k); *(p+i*col+k)=*(p+i*col+MaxCol); *(p+i*col+MaxCol)=tmp; }//End for-i //交换两列时需要记录 tmp = *(a+k);//记录交换的是哪两列 *(a+k)=*(a+MaxCol); *(a+MaxCol)=tmp; }//End if for(j=k;j<col;j++) {//一起处理需要先进行列交换(如果需要) if(MaxRow != k) { tmp=*(p+k*col+j); *(p+k*col+j)=*(p+MaxRow*col+j); *(p+MaxRow*col+j)=tmp; }//End if *(p+k*col+j)/=coef; }//End for-j for(i=k+1;i<row;i++)//消去对角线下的元素 { coef= (-1) * ( *(p+i*col+k) ) / ( *(p+k*col+k) ); for(j=k;j<col;j++) *(p+i*col+j) += coef * ( *(p+k*col+j) ); } } //求得单位上三角矩阵后,从下往上求解未知量 for(i=row-1;i>=0;i--) for(j=row-1;j>i;j--) *(p+i*col+row)-=( *(p+j*col+row) ) * ( *(p+i*col+j) ); for(i=0;i<row-1;i++) {//对a进行冒泡排序,同时求解结果列进行相同操作 for(j=0;j<row-i-1;j++)//通过排序来复原未知量原来的顺序 { if( *(a+j) > *(a+j+1) ) { tmp = *(a+j); *(a+j)=*(a+j+1); *(a+j+1)=tmp; tmp = *(p+j*col+row); *(p+j*col+row)= *(p+(j+1)*col+row); *(p+(j+1)*col+row)=tmp; }//End if }//End for-j }//End for-i free(a); }
分解法
原理
消去法是增广矩阵化为单位上三角矩阵求解,除此之外,还有另外一种解题思路
那就是:将矩阵A分解成两个三角形矩阵L和U的乘积,其中L为下三角矩阵,U为上三角矩阵,则
:
可以证明,当系数矩阵的各阶顺序主子式不为0时,这样的分为有且仅有一组
在这种思路下,就有三种分解方法,
Doolitte分解法:L是单位下三角矩阵,U是上三角矩阵

Crout分解法:L是下三角矩阵,U是单位上三角矩阵

Cholesky分解法:L和U互为转置矩阵
要进行这样的分解,系数矩阵A就要满足是对称正定矩阵
对称:矩阵中的元素关于对角线对称
正定:矩阵所有的特征值都大于0
三角分解法不需要特别记住什么公式,只需要知道矩阵乘法的运算方式
进行一次逆运算,先计算某一个矩阵的行,在计算另外一个矩阵的列,以此往复。
杜立特尔分解法
讯享网//杜立特尔分解法,分解为单位下三角和上三角矩阵 void Doolittle(double *p,int row) { int i,j,k,col=row+1;//增广矩阵的列 double sum;//保存求和结果 for(k=0;k<row;k++)//K表示循环次数,也指示矩阵的行和列,即沿对角线移动 {//先计算U矩阵的K行 for(j=k;j<row;j++)//控制U矩阵列的移动 {//从对角线后面开始求,所以下标从k开始 sum=0;//L矩阵固定K行 for(i=0;i<k;i++)//乘到对角线前一个数字 sum+= ( *(p+k*col+i) ) * ( *(p+i*col+j) ); *(p+k*col+j) = ( *(p+k*col+j) ) - sum; }//End for-j //计算L矩阵的列 for(i=k+1;i<row;i++)//控制L矩阵行的移动 {//只需要计算对角线下面的元素,所以下标从k+1开始 sum=0; for(j=0;j<k;j++)//U矩阵固定K列 sum+= ( *(p+i*col+j) ) * ( *(p+j*col+k) ); *(p+i*col+k)=( ( *(p+i*col+k) ) -sum)/( *(p+k*col+k) ); }//End for-i }//End for-k for(i=0;i<row;i++) //通过Ly=b求Ux的结果y {//结果保存在增广矩阵最后一列 sum=0; for(j=0;j<i;j++) sum+=( *(p+j*col+row) )*( *(p+i*col+j) ); *(p+i*col+row)-=sum; }//End for-i for(i=row-1;i>=0;i--)//通过Ux=y求解x { for(j=row-1;j>i;j--) *(p+i*col+row)-=( *(p+j*col+row) ) * ( *(p+i*col+j) ); ( *(p+i*col+row) )/=( *(p+i*col+i) ); }//End for-i for(i=0;i<row;i++) { for(j=0;j<col;j++) printf("%lf ",*(p+i*col+j)); printf("\n"); } }
克洛特分解法
//克洛特尔分解法,分解为单位上三角和下三角矩阵 void Crout(double *p,int row) { int i,j,k; int col=row+1; double sum; for(k=0;k<row;k++)//先求L矩阵的列 { for(i=k;i<row;i++)//i控制矩阵L行的移动 { sum=0; for(j=0;j<k;j++)//j控制L矩阵列的移动,需要累乘至对角线前一个 sum+= ( *(p+i*col+j) )*( *(p+j*col+k) ); *(p+i*col+k)= ( *(p+i*col+k)-sum );//求L的k列i行 }//End for-i for(j=k+1;j<row;j++)//求U矩阵的第k行 {//j控制矩阵U列的移动 sum=0; for(i=0;i<k;i++)//i控制U矩阵行的移动 sum+=( *(p+k*col+i) )*( *(p+i*col+j) ); *(p+k*col+j)=( *(p+k*col+j)-sum )/( *(p+k*col+k) ); }//求U的k行j列 }//End for-k for(i=0;i<row;i++) {//通过Ly=b求解结果y sum=0; for(j=0;j<i;j++) sum+=( *(p+i*row+j) )*( *(p+j*col+row) ); *(p+i*col+row)=( (*(p+i*col+row))-sum )/( *(p+i*row+i) ); }//End for-i for(i=row-1;i>=0;i--)//通过Ux=y求解x for(j=row-1;j>i;j--) *(p+i*col+row)-=( *(p+j*col+row) )*( *(p+i*col+j) ); for(i=0;i<row;i++) { for(j=0;j<col;j++) printf("%lf ",*(p+i*col+j)); printf("\n"); } }
乔里斯基分解法
讯享网//乔里斯基分解,分解为两个互为转置矩阵的矩阵 void Cholesky(double *p,int row) { int i,j,k; int col=row+1; double sum; for(k=0;k<row;k++) { for(j=k;j<row;j++)//先求U的行 { sum=0; for(i=0;i<k;i++) sum+=( *(p+k*col+i)*( *(p+i*col+j) ) ); if(j==k)//对角线部分需要开根号 *(p+k*col+j)=sqrt( ( *(p+k*col+j) )-sum ); else *(p+k*col+j)=(( *(p+k*col+j))-sum)/( *(p+k*col+k) ); *(p+j*col+k)=*(p+k*col+j);//L和U互为转置,关于对角线对称 }//End for-j }//End for-k for(i=0;i<row;i++) {//通过Ly=b求解结果y for(j=0;j<i;j++) *(p+i*col+row)-=( *(p+i*col+j) )*( *(p+j*col+row) ); *(p+i*col+row)/=( *(p+i*col+i) ); } for(i=row-1;i>=0;i--) {//通过Ux=y求解结果x for(j=row-1;j>i;j--) *(p+i*col+row)-=( *(p+i*col+j) )*( *(p+j*col+row) ); *(p+i*col+row)/=( *(p+i*col+i) ); } for(i=0;i<row;i++) { for(j=0;j<col;j++) printf("%lf ",*(p+i*col+j)); printf("\n"); } }

版权声明:本文内容由互联网用户自发贡献,该文观点仅代表作者本人。本站仅提供信息存储空间服务,不拥有所有权,不承担相关法律责任。如发现本站有涉嫌侵权/违法违规的内容,请联系我们,一经查实,本站将立刻删除。
如需转载请保留出处:https://51itzy.com/kjqy/60708.html