点击上方“蓝字”关注好分数网查成绩查分官网
很多同学觉得初中数学很难,每次考试都丢分很多,已经成了“扯后腿”的学科。其实只要掌握九个解题方法,同学们就会发现其实初中数学并不难学。
1、配方法
通过把一个解析式利用恒等变形的方法,把其中的某些项配成一个或几个多项式正整数次幂的和形式解决数学问题的方法,叫配方法。
配方法用的最多的是配成完全平方式,它是数学中一种重要的恒等变形的方法,它的应用十分非常广泛,在因式分解、化简根式、解方程、证明等式和不等式、求函数的极值和解析式等方面都经常用到它。
例:
用配方法将二次函数一般式变为顶点式

2、因式分解法
因式分解,就是把一个多项式化成几个整式乘积的形式,是恒等变形的基础,它作为数学的一个有力工具、一种数学方法在代数、几何、三角等的解题中起着重要的作用。
因式分解的方法有许多,除中学课本上介绍的提取公因式法、公式法、分组分解法、十字相乘法等外,还有如利用拆项添项、求根分解、换元、待定系数等等。
例:
用因式分解法解一元二次方程

3、换元法
换元法是数学中一个非常重要而且应用十分广泛的解题方法。
通常把未知数或变数称为元,所谓换元法,就是在一个比较复杂的数学式子中,用新的变元去代替原式的一个部分或改造原来的式子,使它简化,使问题易于解决。
例:
换元法化简整式
(x+2y)2-(x-2y)2
换元法1
令a= x+2y,b= x-2y
原式=a2-b2
=(a+b)(a-b)
a+b=2x, a-b=4y
∴ 原式=2x•4y
=8xy
换元法2
令a=x, b=2y
原式=(a+b)2-(a-b)2
=(a2+2ab+b2)-(a2-2ab+b2)
=4ab
=8xy
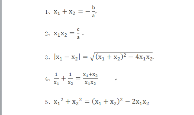
4、判别式法与韦达定理
一元二次方程x2+bx+c=0(a≠0)中,△=b2-4ac,不仅用来判定根的性质,而且作为一种解题方法,在代数式变形,解方程(组),解不等式,研究函数乃至几何、三角运算中都有非常广泛的应用。
韦达定理除了已知一元二次方程的一个根,求另一根;已知两个数的和与积,求这两个数等简单应用外,还可以求根的对称函数,计论二次方程根的符号,解对称方程组,以及解一些有关二次曲线的问题等,都有非常广泛的应用。
例:
判别式:△=b2-4ac
韦达定理

5、待定系数法
在解数学问题时,若先判断所求的结果具有某种确定的形式,其中含有某些待定的系数,而后根据题设条件列出关于待定系数的等式,最后解出这些待定系数的值或找到这些待定系数间的某种关系,从而解答数学问题,这种解题方法称为待定系数法。
它是中学数学中常用的方法之一。
例:
把多项式x2+ax+b分解因式,得(x+1)(x﹣3)则a,b的值分别是( )
A.a=2,b=3
B.a=﹣2,b=﹣3
C.a=﹣2,b=3
D.a=2,b=﹣3
试题分析:
根据多项式乘以多项式的法则可得(x+1)(x﹣3)=x•x﹣x•3+1•x﹣1×3=x2﹣3x+x﹣3=x2﹣2x﹣3,对比系数可以得到a=﹣2,b=﹣3.故答案选B。
6、构造法
在解题时,我们常常会采用这样的方法,通过对条件和结论的分析,构造辅助元素,它可以是一个图形、一个方程(组)、一个等式、一个函数、一个等价命题等,架起一座连接条件和结论的桥梁,从而使问题得以解决,这种解题的数学方法,我们称为构造法。
运用构造法解题,可以使代数、三角、几何等各种数学知识互相渗透,有利于问题的解决。
7、面积法
平面几何中讲的面积公式以及由面积公式推出的与面积计算有关的性质定理,不仅可用于计算面积,而且用它来证明平面几何题有时会收到事半功倍的效果。
运用面积关系来证明或计算平面几何题的方法,称为面积方法,它是几何中的一种常用方法。
用归纳法或分析法证明平面几何题,其困难在添置辅助线。面积法的特点是把已知和未知各量用面积公式联系起来,通过运算达到求证的结果。
所以用面积法来解几何题,几何元素之间关系变成数量之间的关系,只需要计算,有时可以不添置补助线,即使需要添置辅助线,也很容易考虑到。
例:
如图,在△ABC中,AB=AC,D是BC上任意一点,过D分别向AB,AC引垂线,垂足分别为E,F,CG是AB边上的高.问:DE,DF,CG的长之间存在着怎样的等量关系?并加以证明:

DE+DF=CG.
证明:
连接AD,

则S△ABC=S△ABD+S△ACD,即

∵AB=AC,
∴CG=DE+DF
8、几何变换法
在数学问题的研究中,常常运用变换法,把复杂性问题转化为简单性的问题而得到解决。所谓变换是一个集合的任一元素到同一集合的元素的一个一一映射。
中学数学中所涉及的变换主要是初等变换。有一些看来很难甚至于无法下手的习题,可以借助几何变换法,化繁为简,化难为易。
另一方面,也可将变换的观点渗透到中学数学教学中。将图形从相等静止条件下的研究和运动中的研究结合起来,有利于对图形本质的认识。
几何变换包括:
(1)平移;
(2)旋转;
(3)对称。
例:
如图,△ABC中,∠BAC=90°,AB=AC,P、Q是BC上两点,且满足BP2+CQ2=PQ2,则∠PAQ的度数是 °.

证明:
做AD⊥AP,且AD=AP,连接DQ

∵AB⊥AC,AD⊥AP
∴∠BAP=∠CAD
又∵AB=AC
AP=AD
∴△ABP≌△ADC
∴DC=BP
∵∠ABC=∠ACB=45°
∴∠DCQ=90°
∵BP2+CQ2=PQ2
∴PQ=DQ
又∵AQ=AQ,AP=AD
∴△APQ≌△ADQ
∴∠PAQ=45°
9、反证法
反证法是一种间接证法,它是先提出一个与命题的结论相反的假设,然后,从这个假设出发,经过正确的推理,导致矛盾,从而否定相反的假设,达到肯定原命题正确的一种方法。
反证法可以分为归谬反证法(结论的反面只有一种)与穷举反证法(结论的反面不只一种)。
用反证法证明一个命题的步骤,大体上分为:
(1)反设;
(2)归谬;
(3)结论。
反设是反证法的基础,为了正确地作出反设,掌握一些常用的互为否定的表述形式是有必要的,例如:
是/不是;
存在/不存在;
平行于/不平行于;
垂直于/不垂直于;
等于/不等于;
大(小)于/不大(小)于;
都是/不都是;
至少有一个/一个也没有;
至少有n个/至多有(n一1)个;
至多有一个/至少有两个;
唯一/至少有两个。
归谬是反证法的关键,导出矛盾的过程没有固定的模式,但必须从反设出发,否则推导将成为无源之水,无本之木。推理必须严谨。
导出的矛盾有如下几种类型:与已知条件矛盾;与已知的公理、定义、定理、公式矛盾;与反设矛盾;自相矛盾。
例:
用反证法证明命题“在直角三角形中,至少有一个锐角不大于45°”时,应先假设( )
A.有一个锐角小于45° B.每一个锐角都小于45°
C.有一个锐角大于45° D.每一个锐角都大于45°
试题分析:
用反证法证明命题的真假,应先按符合题设的条件,假设题设成立,再判断得出的结论是否成立即可。
解:
用反证法证明命题“在直角三角形中,至少有一个锐角不大于45°”时,应先假设每一个锐角都大于45°。
故选D
▐ 声明:本文综合来源于网络, 如有侵权 ,请联系删除。
好分数网查成绩查分官网
扫码关注我们

版权声明:本文内容由互联网用户自发贡献,该文观点仅代表作者本人。本站仅提供信息存储空间服务,不拥有所有权,不承担相关法律责任。如发现本站有涉嫌侵权/违法违规的内容,请联系我们,一经查实,本站将立刻删除。
如需转载请保留出处:https://51itzy.com/kjqy/59017.html