1 三角形面积
xy平面内,有三角形123,如下图所示:
图1
借助矢量叉积和点积,这个三角形的面积公式非常简单:

这个面积是有符号的:1、2、3逆时针排列,则面积为正;1、2、3顺时针排列,则面积为负。这是对右手系的总结,如果从背面看这个坐标系就成了左手系。在左手系下,面积的正负情况正好相反。所以,关于面积正负的准确说法应该是:1、2、3的排列顺序与方位角增加的方向一致,则面积为正;1、2、3的排列顺序与方位角增加的方向相反,则面积为负。
最后,上面的公式不够美观,来一个神来之笔:

2 多边形面积
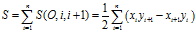
假定某个多边形有n个顶点:1、2、3、……、n。现在任取一点C,它与n个顶点可以构成n个三角形:(C,1,2)、(C,2,3)、(C,3,4)、……、(C,n-1,n)、(C,n,1)。
现在把这些三角形的面积累积起来,就是多边形的面积了,即:

注意上面公式的最后一项为S(C,n,n+1)。顶点n+1超过了n,就转回去取值为1。
现在,把C点取为原点O,就可以得到多边形的面积公式如下:

上式中,
应该取为
。
多边形面积同样有正负,以下图为例。多边形有四个顶点1、2、3、4。23与14有交点P。

图2
面积1、2、P为正,面积3、4、P为负。两块面积相加,多边形的面积就是零了。所以使用
计算多边形面积时,各条边一定不要有交点。
3 递推公式
假定拿着手持GPS一边走一边显示面积,那么
这个公式就有点不太合适了。因为它每次都要计算n个顶点,随着顶点数n的增加其计算效率越来越低。此时,可以考虑使用递推公式。
假定
表示顶点1、2、3、……、n围成的多边形面积,给多边形增加一个顶点n+1后其面积变为
。则有:

可得多边形面积计算的递推公式如下:


上述递推公式要计算3个三角形的面积,为了简化计算,将C点取为1号顶点,则递推公式变为:

因为
均为零,因此上式可简化为

做为递推公式,初始值很重要:

最终的递推公式为:

4 精度评定
拿着手持GPS测量了一圈面积,其测量误差能有多少?1亩地的面积测量误差就达到了1亩,那这个测量就没有什么实际意义了。
微分多边形面积公式
,可以得到

注意上式中的
请取为相邻点
,同样的
也应取为相邻点;。
根据误差传播率,可知:

假定顶点坐标的点位中误差为
,且
,则根据
可知
,代入上式,可得

两边开平方,可得多边形面积的精度

上式中的
只与多边形的图形结构有关,也就是说:面积精度与多边形的图形结构是有关系的。
假定多边形为正方形,且边长为
。则面积精度
,面积相对精度
。可见:测量的范围越大(即
越大)则面积精度越低,但面积的相对精度越高。
假定多边形为正
边形,且外接圆半径为
。则圆心角
,面积精度
,面积相对精度
。可见:测量的范围越大(即
越大)则面积精度越低,但面积的相对精度越高。测量点越密集(即
越大)则面积精度、面积相对精度越高。
结论:
1、面积精度与多边形的图形结构是有关系的;
2、测量的范围越大,面积精度越低,但面积的相对精度越高;
3、测量的顶点越密集,则面积精度和面积相对精度越高。
版权声明:本文内容由互联网用户自发贡献,该文观点仅代表作者本人。本站仅提供信息存储空间服务,不拥有所有权,不承担相关法律责任。如发现本站有涉嫌侵权/违法违规的内容,请联系我们,一经查实,本站将立刻删除。
如需转载请保留出处:https://51itzy.com/kjqy/55015.html