本篇博客分为实际数据测试部分,以及公式推导部分。
差分龄期(Age of differential)即基站和移动站之间的时间差。在实时定位中,可能由于时间延迟、网络故障等原因未能接收到当前时刻的基站信息,在后处理中,基站数据可能中间有丢失,或者基站数据不能完全覆盖移动站。基站数据和移动站数据有时间差,并不意味不能进行定位。通常接收机的定位信息中都会包含age信息,并且也可以设置接收机的最大age。Age越大,往往意味着定位精度的下降。
RTKLIB实际数据测试
对于RTKLIB的配置,下图中的Max age of Diff(s)即设置基站和移动之间的最大时间差。RTKLIB默认值为30s。

讯享网
我采用了rtklibexplore博主的一组ublox F9P数据,基线小于10km,感兴趣的可以前往下载U-blox F9P kinematic PPP data set 12/24/20。我只使用了前半段静止数据来进行测试,这样比较方便分析当age越大的时候,定位误差的变化。在对数据的处理中,我对基站数据进行了部分裁减,使得移动站数据比基站数据长。在测试中,比较需要注意的配置有:

- 对于Max age of diff,为了看到定位误差随age增加的变化,我将其设置200s
- 将内插基站数据设为OFF(如下图所示),因为设为ON的话,看源码中的inputobs函数可以知道,在前向处理时如果移动站时间大于基站时间,就没法继续运算了
- 只进行前向处理

由于移动站是固定的,所以位置保持不变。用rtkplot对定位结果进行画图,下图中前面一小部分(黄色部分)由于未固定,因此位置变化较大,后面绿色部分均为固定解。21:57开始基站没有数据了,RTKLIB解算中会一直使用最后一个基站数据进行解算。因此21:57为age=1的时间点,即红线所在时间点,可以看到随着age的增加,定位误差开始增加。

为了更清楚得看到定位误差变化,将上图的Y轴放大变成下图。可以看到,相对于21:57时刻的位置,30s后每个方向大概发散了1-2cm,60s后每个方向发散2~3cm。如此看来,RTKLIB将默认值设置为30s还是比较合理的。

再看看定位结果文件中的情况,可以看到随着age(s)的增加,RTKLIB报告的定位std (sdx,sdy,sdz)也在增加。age为30s时,std为2~4cm,比较符合真实定位的不确定度。

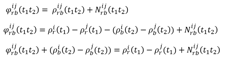
Age存在时的载波相位双差方程
虽然从定位结果上来看,age比较小时,定位误差仍在可接受范围。但是,为什么基站和移动站有时间差,却仍可以定位?我想从公式推导上来进行理解一下。
如果移动站的时间为t1,基站时间为t2,载波相位双差后公式如下,公式左边为双差后的载波相位,右边第一项为双差后的卫地距,第二项后双差后整周模糊度,第三项为双差后电离层误差,第四项为双差后对流层误差,最后一项为卫星钟漂。从公式可知,age越大之后,双差后的电离层、对流层、卫星钟飘误差会越来越大。

为了简化推导,接下来公式中会省略电离层、对流层、卫星钟漂了。将双差卫地距这一项展开,由于t2时刻基站的位置已知,并且可以根据星历算出t2时刻卫星i、j的位置,因此基站的卫地距可以直接算出,将其移到等式左边。

由于移动站的概略位置可以由单点定位得到,假设概略位置为r0,真实位置为r,位置差为[dx, dy, dz]。由概略位置r0算出来的卫地距,和用真实位置r算出来的卫地距,两者之差可以用line-of-sight和位置差[dx, dy, dz]点积得到,如下图所示:

在上述公式中带入由概略位置计算的卫地距,并将其移到公式左边:

公式左边均为量测量或者可以计算的值,公式右边[dx, dy, dz]以及整周模糊度为未知数,因此仍然可以用该公式进行RTK定位。
如果有更加简单的公式推导和理解方法,欢迎留言讨论!
版权声明:本文内容由互联网用户自发贡献,该文观点仅代表作者本人。本站仅提供信息存储空间服务,不拥有所有权,不承担相关法律责任。如发现本站有涉嫌侵权/违法违规的内容,请联系我们,一经查实,本站将立刻删除。
如需转载请保留出处:https://51itzy.com/kjqy/52875.html