Chapter2 Configuration Space
1.机器人位形configuration:机器人所有位置点的描述

讯享网对于图a,门的位形可以用一个参数角度表示;
对于图b,平面中的一个点的位形可以用2个坐标表示(x,y)表示;
对于图c,桌面上一枚硬币中的头像可以用3个参数表示,硬币上点的位置(x,y),以及硬币的方向。
configutation这里我理解为位姿的另外一种表示形式,即位置和姿态。在三维空间中,机器人位姿传统表示为点坐标(x,y,z)和该点与3个坐标轴的夹角即欧拉角(φa,φb,φc)表示。
4.刚体自由度计算
三维空间中,单个刚体自由度个数为6;平面单个刚体的自由度个数为3。
计算公式:
Dof=所有点的自由度个数-独立约束条件的个数
对于平面中的一块硬币,人面头像正面朝上,如图b所示,AB,BC,AC的距离固定,3个点自由度个数为6,给定点A(xa,ya)(0个约束条件),则B点只能在以A点为中心,AB为半径的圆弧上(B点1个约束条件),确定了点B点的位置,则点C只能在以点A为圆心,AC为半径的圆和以点B为圆心,BC为半径的圆的交点上(C点2个约束条件),因此C有2个可选位置,如果已知硬币的正面,则点C的位置就是唯一的。因此给定A(xa,ya)、B(xb,yb),C点坐标(xc,yc)就是冗余reduntant的。如果给定向量AB与x轴的夹角,则B点坐标(xb,yb)也为冗余的,因此图b位形可用参数(xa,ya,)3个参数表示,自由度为3,即6-0-1-2=3.
对于图c三维空间的刚体,同样3个点A(xa,ya,za)、B(xa,ya,za)、C(xa,ya,za)唯一确定刚体的位形,点总的自由度个数为3*3=9。已知A点坐标(0个约束条件),B点在以A为中心,AB为半径的球面上(1个约束条件),我们可以用2个角度表示点B即经度和维度,因此B的自由度数为:3-1=2;点C到A、B的距离固定(2个约束条件),因此点C在以点A为中心,AC为半径的球面和以B为中心,BC为B半径的球面的两个球面的交点上,C点可以用一个角度表示点C的位置,C点的自由度个数为3-2=1。因此三维空间刚体刚体自由度个数为9-0-1-2=6.

5.机器人关节自由度的计算
关节自由度dof=刚体自由度个数-由关节约束条件的个数
Grübler公式:
对于一个包含N个连杆(包括与地面相连的也视为一个)的机构,关节数量为J,m表示刚体的自由度(平面刚体m=3,空间刚体m=6),关节i的自由度为fi,约束个数为ci,m=fi+ci,则该机构的自由度为:
这个公式只有在每个关节的约束条件相互独立的情况成立,如果不独立,则该公式计算出的自由度少于实际的自由度个数。
Dof=3*(4-1-4)+4=1
Dof=3*(6-1-7)+7=1
对于不满足约束条件不独立的机构,计算出来的自由度个数少于实际个数,如下图所示:
Dof=3*(5-1-6)+6=0,而实际的dof=1,因为该机构可以朝一个方向运动,这是由于3个平行的用2个关节链接的连杆,对机构的运动没有影响,因此计算公式为dof=3(4-1-4)+4=1
6.C-space的表示方法
显示参数:用n个参数表示n维C-space空间,即用最少的参数表示位形空间;例如一个球面,我们可以用经度和维度2个参数表示一个球体空间。
隐式参数:将n维C-space空间看作是嵌入到超过n维欧氏空间中(需要添加约束条件),例如,2维的单位球面可以看成是嵌入在3维欧氏空间的一个球面,该三维表示满足约束条件:
一般都采用隐式法。
7.位形和速度约束
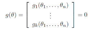
完整约束holonomic constraints:若干独立约束方程,减少C-space的维度,如果机器人的位形有n个变量定义,且受到k(k<=n)个独立的完整约束,则C-space的维度即机器人的自由度为n-k. 可以看出完整约束是对机器人位形的约束。
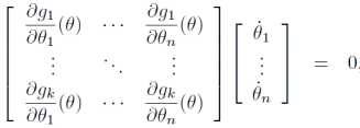
如果机器人在运动,则角度是关于时间t的函数,对上式两边对t求导数:
写成矩阵相乘的方式:

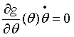
简化写成:
theta点表示角度对时间的变化率即角速度,
令
则:
速度约束,上式称为Pfaffian约束。完整约束也称为可积约束,因为完整约束本质是对速度约束的积分。Pfaffian约束有时并不可积,不可积的Pfaffian约束称为非完整约束。非完整约束减少了可能的速度空间,但并没有减少可能的C-space维度。
完整约束是对位形的约束,非完整约束是对速度的约束。
8.任务空间和工作空间
Task space任务空间:是一个可以自由表示机器人任务的空间。如果机器人的任务是在一个平面上绘制图形,那么任务空间就是一个二维欧氏平面R2,如果机器人的任务是控制一个刚体的位置和姿态,那么任务空间就是一个一个刚体的C-space,也就是一个表示位置和姿态的6维空间。任务空间由任务决定的,与机器人无关。
Workspace工作空间:是机器人末端执行器所能到达的位形空间。工作空间是由机器人的结构决定的,与任务无关。
任务空间和工作空间与机器人的C-space不一样,例如对于空间中同一个点,机器人可能有好几种位形到达此点,该点并不能完全表达机器人的位形。任务空间中某些点机器人可能完全达到不了,但工作空间中的点机器人至少有一种位形可以达到。
两个拥有不同的C-space的机构,可能拥有相同的工作空间,也可拥有不同的工作空间。
例如下图SCARA机器人,机器人末端执行器的位形可以用3个笛卡尔坐标(x,y,z)以及在x-y平面取向夹角Φ表示,则任务空间可以表示维R3×S1,工作空间可以用笛卡尔空间中的点(x,y,z)表示.

版权声明:本文内容由互联网用户自发贡献,该文观点仅代表作者本人。本站仅提供信息存储空间服务,不拥有所有权,不承担相关法律责任。如发现本站有涉嫌侵权/违法违规的内容,请联系我们,一经查实,本站将立刻删除。
如需转载请保留出处:https://51itzy.com/kjqy/51802.html