1. 线性插值
线性插值是数学、计算机图形学等领域广泛使用的一种简单插值方法。
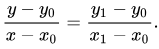
假设我们已知坐标 ((x0, y0) 与 (x1, y1),要得到 [x0, x1] 区间内某一位置 x 在直线上的值。根据图中所示,我们得到
![]()

由于 x 值已知,所以可以从公式得到 y 的值

已知 y 求 x 的过程与以上过程相同,只是 x 与 y 要进行交换。
2. 双线性插值(Bilinear Interpolation)
在数学上,双线性插值是有两个变量的插值函数的线性插值扩展,其核心思想是在两个方向分别进行一次线性插值。

版权声明:本文内容由互联网用户自发贡献,该文观点仅代表作者本人。本站仅提供信息存储空间服务,不拥有所有权,不承担相关法律责任。如发现本站有涉嫌侵权/违法违规的内容,请联系我们,一经查实,本站将立刻删除。
如需转载请保留出处:https://51itzy.com/kjqy/51564.html